购买
下载掌阅APP,畅读海量书库
立即打开
畅读海量书库
扫码下载掌阅APP

3.4 练习

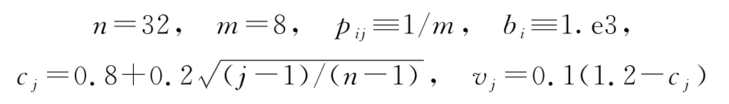
练习3.1 考虑以下情况。工厂消耗来自 n 个不同供应商的 n 种原材料,并将其分解成 m 个纯组元。原料 j 中的每单位组元 i 含量 p ij ≥0,每月所需组元 i 量为给定量 b i ≥0。你需要对每个供应商每月的原材料 x j 数量做一个长期的安排,这些数量应该满足线性约束组

Px b P =[ p ij ]

当前产品 j 的单价为 c j ;然而,这个价格可以随时间变化,从以往经验中,你知道价格的波动性 v j ≥0。在给定成本对未来可能价格波动敏感性的上界 α 的情况下,如何选择 x j 以使当前价格下的总供应成本最小化?

请在以下数据上测试你的模型:

并构建“当前价格下的供应成本与敏感度”的权衡曲线。 MZ+Tb/hGOX6701VPYEkkcOCIBpdswIB2dBjYtvyDozzSxSrnYSXsW5PeUiD4/2cq

点击中间区域
呼出菜单
上一章
目录
下一章
×