购买
下载掌阅APP,畅读海量书库
立即打开
畅读海量书库
扫码下载掌阅APP

3.3 实例:天线阵列的综合问题

为了说明全局鲁棒对等的概念,我们考虑一个与天线阵列综合问题有关的实例。

3.3.1 建立模型

天线阵列 。发射天线最基本的元件是发射波长为 λ 和频率为 ω 的球形单色电磁波的各向同性谐波振荡器。当它们被调用时,振荡器产生一个电磁场,其在点 P 处的电分量为

其中,权重 z 是一个复数,它负责如何调用振荡器, t 是时间, d P 和振荡器放置点之间的距离, 是一个虚数单位。由放置在 P 点的 n 个相干(即具有相同频率)各向同性振荡器阵列所产生的电磁场的电分量 P 1 ,…, P n

其中, z k ∈C是第 k 个振荡器的权重。当 P 距原点的距离 r 较大时:

忽略 r -2 的项, E 的表达式就变成

其中, ϕ k e 为方向 e (从原点出发到 P k )和 e k (从原点出发到 P 之间的角度。一个单位三维方向 e 的复值函数 D e 称为天线阵列图。结果表明,图中的平方模 与天线发出的电磁能量的方向密度成正比。 [1]

在一个典型的天线设计问题中,给定了各向同性单色振荡器的数目和位置,并用复杂的权重 z k 来分配它们,从而得到的图(或其模)尽可能接近所希望的“目标”。在简单的情况下,这样的问题可以用线性优化程序来建模。

例3.3.1 考虑一个沿轴放置的 n 个元素组成的等距振子单元网格 P k = k i ,其中, i 表示 x 轴的基向量。这种天线的图只取决于三维方向 e x 轴方向 i 之间的夹角 ϕ ,0≤ ϕ ≤π ,且给定

(从这里开始,我们将 D e 写成 D ϕ )。现在考虑设计问题,给定一个“感兴趣的角度” Δ ∈(0,π),应该选择权重 z k 以便从天线发射的大部分能量沿着锥 K Δ 发送,锥由所有0≤ ϕ Δ 的三维方向组成(即沿着普通的三维锥, x 轴的非负射线受到中心射线和“角宽”2 Δ 的作用)。有很多方法可以为我们的设计规范建模;我们选择如下简单的方法。首先注意,当所有权重乘以一个普通的非零复数时,我们不改变能量的方向分布;因此,我们通过要求 D (0)的实部大于或等于1对权值进行归一化,这样不会有损失。我们现在可以由以下量量化旁瓣角( K Δ 的补集)发送的能量:

(旁瓣电平),并将我们的问题作为半无限优化问题

这个天线设计模型(简化了的)有一个重要的优点:虽然它是半无限问题,但也是一个凸问题。我们可以通过将区间[ Δ ,π]替换为该区间的精细有限网格 Φ 来消除半无限,从而得到凸规划

这不是一个精确的LO规划,因为所讨论的绝对值是复数的模(即二维向量的欧几里得范数)。为了克服这个困难,让我们用“多面体范数”来近似一个复数 z 的模 ,具体来说,所用范数为

几何上,我们用外切 L 边完美多边形逼近单位二维圆盘。我们显然有

例如, p 12 (| z |)近似于 z 的相对精度为3.5%,已经足够准确了。用 p 12 (·)代替|·|,我们得到如下LO规划:

天线设计问题 :给定振荡器个数 n ,波长 λ ,在区间[ Δ ,π]上感兴趣的角度 Δ 和一个有限的网格 Φ ,解决如下LO规划

不确定性的来源 。在天线设计问题中,至少有两个数据不确定性来源要考虑。

i)定位误差。 制造天线时,振荡器不能沿理想的等距网格放置。此外,由于温度、风等影响因素的变化导致天线变形,它们的位置随时间变化而变化。为了简化问题,假设定位误差只影响从原点到振荡器的距离,而不影响从原点到振荡器的方向,因此后者属于 x 轴。我们可以用集合 来模拟定位扰动,其中, δd k 是第 k 个振荡器到原点的实际距离 d k 与该距离的标准值 的偏差,并且我们假设定位扰动穿过盒

ii)驱动误差。 实际上,权重 z k 是某些物理设备的特定参数,因此它们在计算时不能被精确地估计。可以将这些不可避免的驱动误差建模为乘性扰动 ,其中, ξk ∈C;我们把 作为驱动误差的水平。

显然,这两种不确定性来源都可以被认为是不确定性数据的来源。实际上,式(3.3.3)中的所有约束都是如下这种形式的

其中, p q 是确定的。扰动 的结果与没有定位扰动和驱动误差的结果是完全相同的,但是系数 ζ k = ζk d k )会受到扰动

3.3.2 标准解:梦想和现实

在考虑如何使解免受数据不确定性的影响之前,有必要先思考一下我们是否需要考虑这种不确定性。毕竟,定位扰动和驱动误差都是相当小的(比如说,大约是相应标准值的1%)。此外,这个问题很明显是属于软约束范畴的——无论数据的扰动如何,标准解仍然具有物理意义(可以这么说,设计的天线不会爆炸)。唯一可能发生的糟糕事情是旁瓣电平的实际值将比标准值更差。如果这一水平的恶化与数据扰动是“相同量级”的(例如,在振荡器的位置和权重中1%的扰动导致旁瓣电平增加3%~5%),我们仍然可以满足于标准解的方案。不幸的是,情况并非如此——在天线设计问题中,即使很小(0.01%)的数据扰动也会导致设计标准的巨大(数百个百分比)变化。情况是否真的如此,取决于标准数据。下面是一个非常糟糕的参数示例:

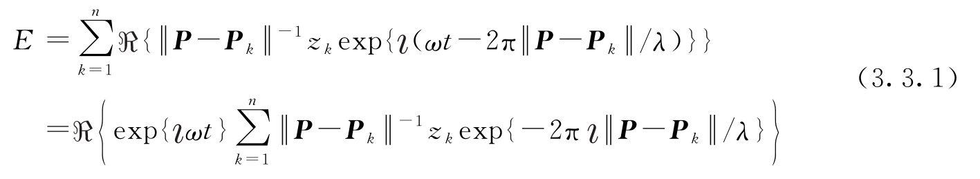
在这种参数条件下,连续振荡器之间的距离等于波长的1/8,而感兴趣的空间角度——我们想要发送尽可能多能量的空间角度——由与轴向 i 的角度距离最多为30°的方向组成。注意,这些方向 [2] 集合的相对球面度量是1-cos(π/6)/2≈0.067。当用标准数据和等距90点网格 Φ 在[0,π]上求解式(3.3.3)时,我们最终得到一个如图3-1所示的漂亮的标准解。对于这个解,并且没有数据扰动,旁瓣电平低至0.0025,能量集中(沿着所需角度的总传输能量的比例)高达99.99%。不幸的是,这些美好的结果只是一个梦想——用非常小的( =0.0001)随机扰动的定位,或随机驱动误差水平为 ρ =0.0001,我们的设计完全是一场灾难。例如,我们可以看一下,在振荡器和权重的随机扰动位置下,由标准设计产生的旁瓣电平和能量集中情况。首先需要注意的是,在数据的随机扰动下,天线图变得随机,因此不一定满足归一化要求R{ D (0)}≥1。为了解释这一现象,我们缩放样本图,使 D (0)等于1,并观察得到的图的旁瓣电平和能量集中。表3-1中的数据表明当 ρ =0.0001时,标准设计的旁瓣电平平均从其标准值0.0025跳到2.08,而能量集中从其标准值99.99%下降到仅8%——能量好像几乎均匀地向各个方向发送!另外,在我们面前的标准设计是多么的糟糕——不切实际的低!——数据的不确定性可以由图3-1所示的样本图反映出来,特别是由同一图中的“能量密度”图反映出来。

图3-1 提供了标准的、RC和GRC的天线设计方案。第一行:极坐标中| D ϕ )|的样本图;这些图被归一化为 D (0)=1。第二行:100个模拟能量密度束

表3-1 各种设计的性能数据

注:Opt分别是标准问题和其RC/GRC中的最优值, α 是所得解关于驱动误差的全局灵敏度 。“旁瓣电平”和“能量集中”列中用下划线标出来的数据是100个随机实现的定位误差或驱动误差的平均值,括号中的数值是相关的标准差。

对于一个给定的图,它的能量密度定义如下。我们计算空间角度 K s i 最多形成角 s 的所有方向传输的能量,并将该能量视为 K s 数的球面测度的函数,从而得到了[0,4π]上的函数。能量密度 p s )不过是所得结果函数的导数。

图3-1中第二行图的结构如下:我们生成100个数据扰动的样本,其大小在图中显示,并在单个图上绘制100个由此产生的能量密度。图3-1中的密度图显示,在平均(超过0.01%的数据扰动)下,能量密度几乎是对称的,这意味着在数据扰动下,标准设计不区分感兴趣的方向和相反方向。底线是,即使存在的数据不确定性很小,标准设计也会变得毫无意义。

3.3.3 对不确定性的免疫能力

策略 。为了说明目的,我们准备以不同的方式对待这两种不确定性来源。具体来说,将定位误差对数据系数的扰动视为不确定性影响的正常范围,而驱动误差带来的影响将通过相应的全局灵敏度来控制。

指定扰动结构 。为了实现我们的策略,考虑一个来自式(3.3.3)的约束(3.3.4)。系数 ζ k 的实际值为

其中, 以及 ϕ ∈[0,π]是固定的, δd k 是定位误差, ξ k 是驱动误差。我们希望确保

其中, p q 是给定的实数, α ≥0是给定的关于驱动误差的全局灵敏度。这和确保

是相同的。

考虑到 ,后一种关系清楚地表明

这和对变量 z k τ 的要求

是相同的。

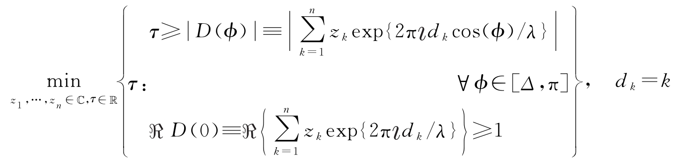
注意式(3.3.7. a )表示

其中, Γ k 是单位圆C=ℝ 2 上的弧 的凸包。这个凸包 Γ k 是一个锥二次可表示集,使式(3.3.7. a )等价于一个显式的锥二次不等式有限组(定理1.3.4)。我们倾向于简化GRC结构,将 Γ k 替换成三角形 Δ k (其外接弧为 γ k )(见图3-2)。在稍微增加保守性的同时,这种近似允许将式(3.3.7. a )重写为显式凸约束

图3-2 “圆帽” Γ k (ABC)和三角形 Δ k (ABD)的图

其中, v k 1 v k 2 v k 3 是三角形 Δ k 的顶点。用这种方法,式(3.3.4)的GRC由以下凸约束对给出

这就是式(3.3.4)对应于扰动结构的GRC,其中 Z = Δ 1 ×…× Δ n L =C n =ℝ 2 n

式(3.3.3)的GRC是通过将式(3.3.3)中的每一个约束替换为相应的约束(3.3.8. a )得到的,约束(3.3.8. a )实际上给出了一个对设计变量的线性约束组,当谈到驱动误差时,通过添加约束(3.3.7. b )来“负责”全局灵敏度(该约束对来自不同约束(3.3.3)的所有对式(3.3.8)都是通用的)。式(3.3.3)得到的GRC具有一个线性目标,一组线性约束和一个单个锥二次约束(3.3.7. b )。 [3]

鲁棒设计 。为了说明目的,我们建立了两个鲁棒设计:第一个(称为“RC设计”)是在不考虑驱动误差的情况下免疫1%的定位误差(相当于GRC中 =0.01, α =∞);结果设计对驱动误差的实际全局灵敏度为 α =9.404。第二个(GRC)设计是在保留 =0.01,并将全局灵敏度 α 设为3时获得的。所有三种设计(标准、RC和GRC)的性能见表3-1,并在图3-1中进行了说明。我们可以看到,客观来说,针对0.01量级定位误差的设计进行“免疫”的代价是相当昂贵的:RC旁瓣电平为0.106,而标准旁瓣电平为0.0025,在标准数据下评估的RC设计的能量集中为84%,比标准设计的99.99%低16%。然而,好消息是,虽然标准设计的良好性能纯粹是想象的问题——它完全被低至0.01%的定位/驱动误差破坏,RC设计的性能完全免受 =0.01的定位误差的影响,对驱动误差的灵敏度比标准设计的性能低得多(相应的全局灵敏度分别为9.4和3.0e6)。然而,RC设计的性能对驱动误差仍然过于敏感:当这些误差的水平 ρ 从0增长到0.03时,旁瓣电平平均值从0.11上升到0.28,能量集中从0.84下降到0.46。GRC设计就是为了缓和这种现象;这里我们要求对驱动误差的灵敏度最多为3(而RC设计产生的灵敏度为9.4)。因此,我们再次失去了最佳性:对于GRC设计,在没有数据扰动的情况下,旁瓣电平为0.15,能量集中为70%(相比之下,RC设计的旁瓣电平和能量集中分别为0.11和84%)。作为一种补偿,GRC设计与RC设计相比,很好地免疫了驱动误差:当这些误差水平为3%时(即 ρ =0.03),GRC设计的性能基本上与根本没有驱动误差(即 ρ =0)时相同。


[1] 对于接收天线,其图(在数学上,完全类似于发射天线图)的平方模| D e | 2 与天线对沿某一方向 e 入射的频率为 ω 的平面波的灵敏度成正比。

[2] 回想一下,当方向是单位三维向量时,即单位球面上的点在ℝ 3 中的情况。根据定义,方向集合 A (即,单位球面的子集)的相对球面度量是集合的面积除以整个单位球的面积4π。

[3] 通过 p 12 z k ),我们可以进一步近似式(3.3.7. b )中的| z k |,从而得到等价于LO规划的GRC模型。 MZ+Tb/hGOX6701VPYEkkcOCIBpdswIB2dBjYtvyDozzSxSrnYSXsW5PeUiD4/2cq

点击中间区域
呼出菜单
上一章
目录
下一章
×