购买
下载掌阅APP,畅读海量书库
立即打开
畅读海量书库
扫码下载掌阅APP

3.2 GRC的计算易处理性

在一般的鲁棒对等情况下,一个不确定LO问题的全局RC的计算易处理性问题,可简化为单个不确定线性约束(3.1.1)的GRC(3.1.4)的类似问题。后一个问题在很大程度上可以通过下列观察来解决:

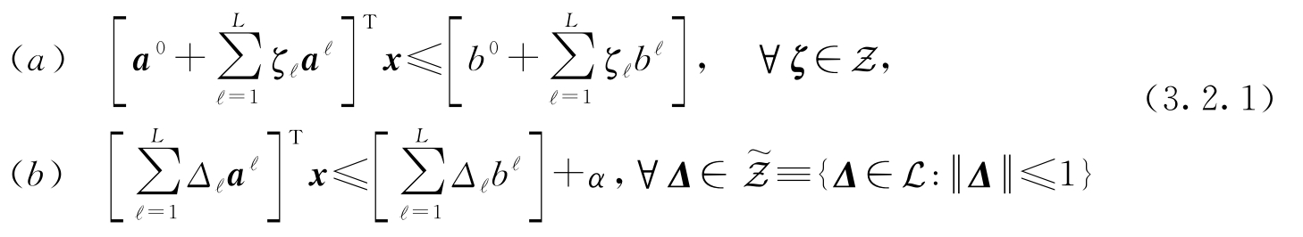
命题3.2.1 当且仅当 x 满足以下半无限约束对时:

向量 x 满足半无限约束(3.1.4)。

评注3.2.2 命题3.2.1表明,一个不确定线性不等式的GRC等价于一般RC中出现的一类半无限线性不等式。因此,我们可以调用1.3节的表示结果来说明在扰动结构的适当假设下,GRC(3.1.4)可以用“简短的”显式凸约束组来表示。

命题3.2.1的证明 。令 x 满足式(3.1.4)。对 ζ Z ,由于dist ζ Z|L )=0,则 x 满足式(3.2.1. a )。为了证明 x 也满足式(3.2.1. b ),令 Δ L 。通过式(3.1.4),由于 L 是一个锥,因此对所有 t >0,我们有 且dist ζ t ;将式(3.1.4)应用到 ζ = ζ t ,因此,我们得到

在这个不等式的两边除以 t ,然后通过求极限 t →∞,我们可以看到式(3.2.1. b )中的不等式在我们的 Δ 中是有效的。由于 是任意的,所以 x 满足式(3.2.1. b ),如证明要求所述。

还需要证明若 x 满足式(3.2.1),则 x 满足式(3.1.4)。事实上,令 x 满足式(3.2.1)。给定 ζ Z + L 且考虑到 Z L 是封闭的,我们可以找到 Δ L 使 以及

e L 代替 Δ = t e ,我们有

由于 ζ Z + L 是任意的,所以 x 满足式(3.1.4)。

例3.2.3 考虑以下3种扰动结构

(a) Z 是一个盒

(b) Z 是一个椭球

(c) Z 是一个盒和椭球的交集: L =ℝ L

在这些情况下(3.1.1)的GRC等价于如下有限的显式凸不等式组:

情况(a):

这里的( a )表示约束(3.2.1. a )(参考例1.3.2),( b )表示约束(3.2.1. b )(为什么呢?)

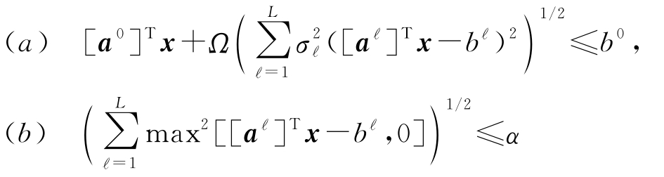
情况(b):

这里的( a )表示约束(3.2.1. a )(参考例1.3.3),( b )表示约束(3.2.1. b )。

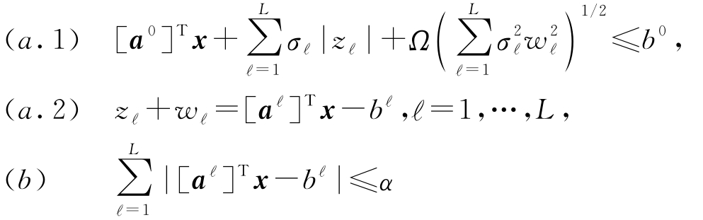
情况(c):

这里的( a .1~ a .2)表示约束(3.2.1. a )(参考例1.3.7),( b )表示约束(3.2.1. b )。 MZ+Tb/hGOX6701VPYEkkcOCIBpdswIB2dBjYtvyDozzSxSrnYSXsW5PeUiD4/2cq

点击中间区域
呼出菜单
上一章
目录
下一章
×