购买
下载掌阅APP,畅读海量书库
立即打开
畅读海量书库
扫码下载掌阅APP

2.5 练习

练习2.1 证明例2.4.12中的想法。

练习2.2 考虑简单机会约束的LO问题:

其中, ζ 1 ,…, ζ n 是均匀分布在[-1,1]上的独立随机变量。

(i)找到该问题的一种解决办法,并求出当 n =16256, =0.05,0.0005,0.000005时,该问题的真正最优解 t tru

提示 x 1 =…= x n =1表示确定性约束。我们需要的是用一种有效的方法来计算均匀分布在[-1,1]上的 n 个非独立随机变量之和 ξ n 的概率分布Prob{ ξ n t }。 ξ n 的分布密度明显在[ -n n ]上,并且在每一个分段区间[ -n +2 i -n +2 i +2],0≤ i n 上是一个 n -1次多项式。这些多项式的系数可以通过 n 次简单的递归运算得到。

(ii)对于和(i)中相同的( n )对,计算问题的可处理近似的最优解如下:

(a) t Nrm ——在式(2.5.1)中,用“标准近似”(这是一个高斯随机变量,具有与 ξ n [ x ]相同的均值和标准差)代替“真”随机变量 ξ n [ x ]时得到的问题的最优解;

(b) t Bll ——由命题2.3.1给定的式(2.5.1)的保守易处理近似最优解;

(c) t BllBx ——由命题2.3.3给定的式(2.5.1)的保守易处理近似最优解;

(d) t Bdg ——由命题2.3.4给定的式(2.5.1)的保守易处理近似最优解;

(e) t E.2.4.11 ——由例2.4.11提出的式(2.5.1)的保守易处理近似最优解,其中,设

(f) t E.2.4.12 ——由例2.4.12提出的式(2.5.1)的保守易处理近似最优解,其中,设

(g) t E.2.4.13 ——由例2.4.13提出的式(2.5.1)的保守易处理近似最优解,其中,设

(h) t Unim ——由例2.4.7提出的式(2.5.1)的保守易处理近似最优解。

将这些结果相互比较,并与(i)中的结果比较。

练习2.3 考虑独立随机变量 ζ 1 ,…, ζ n 以0.5的概率取值±1时的机会约束LO问题(2.5.1)。

(i)找到该问题的一种解决方法,并求出当 n =16256, =0.05,0.0005,0.000005时,该问题的真正最优解 t tru

(ii)对于和(i)中相同的( n )对,计算问题的可处理近似的最优解如下:

(a) t Nrm ——在式(2.5.1)中,用“标准近似”(这是一个高斯随机变量,具有与 ξ n 相同的均值和标准差)代替“真”随机变量 ξ n 时得到的问题的最优解;

(b) t Bll ——由命题2.3.1给定的式(2.5.1)的保守易处理近似最优解;

(c) t BllBx ——由命题2.3.3给定的式(2.5.1)的保守易处理近似最优解;

(d) t Bdg ——由命题2.3.4给定的式(2.5.1)的保守易处理近似最优解;

(e) t E.2.4.11 ——由例2.4.11提出的式(2.5.1)的保守易处理近似最优解,其中,设 μ ± =0, ν =1;

(f) t E.2.4.12 ——由例2.4.12提出的式(2.5.1)的保守易处理近似最优解,其中,设 ν =1。

将这些结果相互比较,并与(i)中的结果比较。

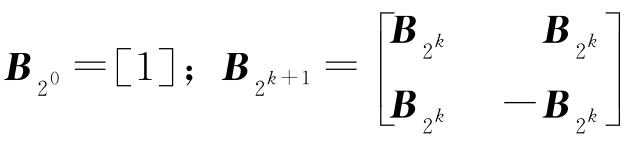
练习2.4 A)验证当 n =2 k 是2的整数次幂时,构建一个所有项均为±1的 n × n 矩阵 B n ,其中,第一列的所有项均等于1,且行相互正交。

提示 :使用递归

B)设 n =2 k 为如下所示的随机向量。我们从(A)中固定一个向量 B n 。为了得到 ζ 的一个实现,我们生成随机变量 η N (0,1),并在矩阵 η B n 中随机选取(根据{1,…, n }上的均匀分布)一列,所得到的向量即为我们生成的

B.1)证明 ζ j 的边际分布和 的协方差矩阵与随机向量 )的完全相同。由此可见,最原始的检验分布也无法区分 的差别。

B.2)考虑在 <1/(2 n )条件下的问题(2.5.1),并计算出当(a) ζ ,(b) ζ 情况下的最优解。比较 n =10, =0.01; n =100, =0.001; n =1000, =0.0001条件下的结果。 MZ+Tb/hGOX6701VPYEkkcOCIBpdswIB2dBjYtvyDozzSxSrnYSXsW5PeUiD4/2cq

点击中间区域
呼出菜单
上一章
目录
下一章
×