在上一节中,我们重点关注了如何构建随机扰动线性约束(2.2.1)的机会(2.2.3)的保守近似。在式(2.3.1)的特定假设情况下,我们选择了适当的扰动集 Z ,以式(2.2.1)中的RC形式构建了一个近似。我们把这种近似结构推广到比式(2.3.1)关注的范围更为广泛的随机扰动族。具体来说,我们假设影响式(2.2.1)的随机扰动 ζ 具有以下性质。
P.1. ζℓ , ℓ =1,…, L 是独立的随机变量;
P.2.由 ζℓ 组成的分布 P ℓ 为
其中,已知常数
。
性质P.2可以在稍后将要考虑的几个有趣例子中得到验证。现在,我们来推导性质P.1~P.2的一些结果。
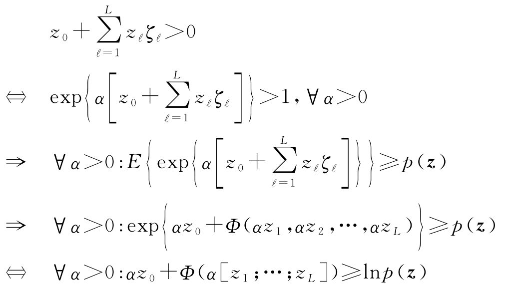
给定P.1~P.2,考虑事件
的概率
p
(
z
)
的边界问题,其中
z
=[
z
0
;
z
1
;…;
z
L
]是一个给定的确定性向量。我们设
进而,通过P.1~P.2,对所有确定性实数 w 1 ,…, w L 有
我们有
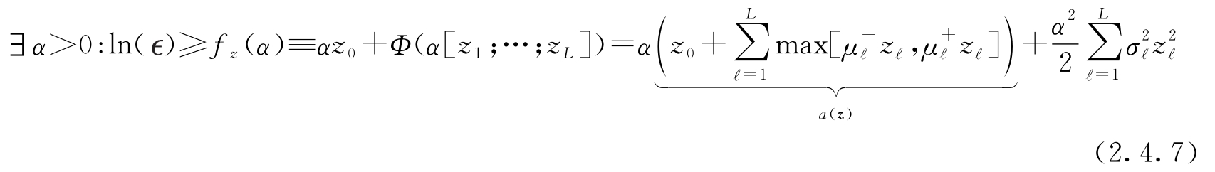
我们已经得到不等式
∀ α >0:ln p ( z ) ≤ αz 0 + Φ ( α [ z 1 ;…; z L ])
如果,对于某个
α
>0,这个不等式的右边小于或等于ln
),则这个不等式表明
p
(
z
)
≤
。我们可以得出以下结论。
(*)无论何时,对于给定的
∈(0,1)和
z
,则存在
α
>0使得
有
换言之,集合
包含在机会约束(2.4.5)的可行集中。
现在,式(2.4.5)的可行集是明确闭合的,由于该可行集包含集合
,所以它也包含集合
我们需要寻找到对集合
更加清楚的描述。首先,我们应该了解当一个给定的点
z
是属于集合
的情况。根据后一个集合的定义,当且仅当
假设
,函数
f
z
(
α
)在[0,∞)上达到它的最小值,并且这个最小值是
f
z
(0)=0(当
a
(
z
)
≥0时)或
(当
a
(
z
)
<0时)。由于ln(
)<0,所以我们得出结论,在
b
(
z
)
>0的情况下,关系式(2.4.7)成立的充要条件是
0,即
当
b
(
z
)
=0时,当且仅当
a
(
z
)
<0时,关系式(2.4.7)成立。总结:当且仅当
z
满足式(2.4.8),且
a
(
z
)
<0时,
。这个集合的闭包
正是式(2.4.8)的解的集合。我们已经证明了以下几点。
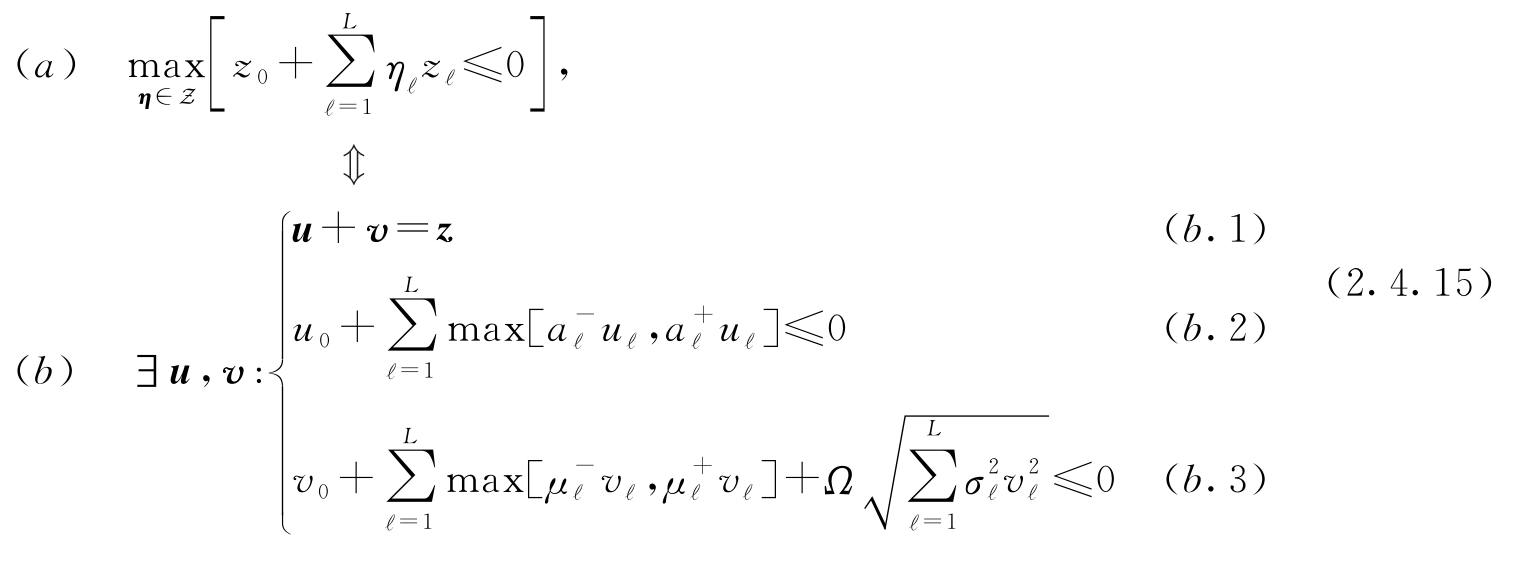
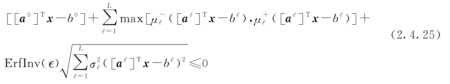
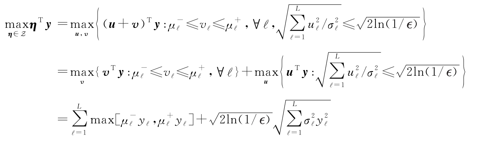
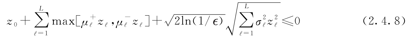
命题2.4.1 在假设P.1~P.2的条件下,关系式(2.4.8)是式(2.4.5)成立的一个充分条件。换句话说,变量 z 的显式凸约束(2.4.8)是机会约束(2.4.5)的保守近似。
作为直接推论,我们得到以下有用的陈述。
命题2.4.2 令 ζ ℓ , ℓ =1,…, L 是满足P.2分布的独立随机变量。然后,对于每个确定性向量[ z 1 ;…; z L ]和常数 Ω ≥0,有
证明 设
我们保证式(2.4.8)是有效的;根据命题2.4.1,有
考虑到 z 0 的初始值,该式即为式(2.4.9)。
现在让我们做以下观察。
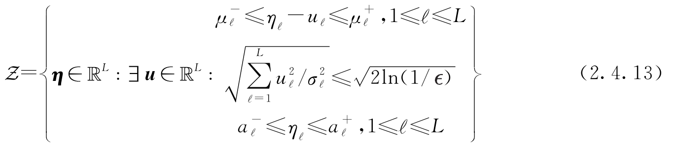
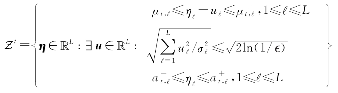
(**)考虑由以下锥二次表示式给出的扰动集 Z :
其中,根据定义, a 2 /0 2 为0或+∞取决于 a =0或 a ≠0。那么对于每个向量 y ∈ℝ L 有
事实上,我们有
,来源于
我们可以将我们的发现总结如下。
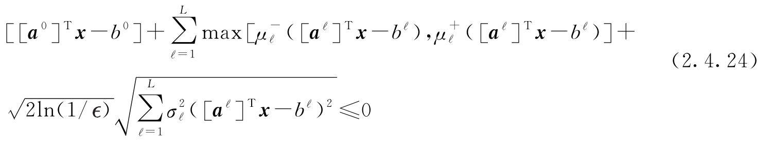
定理2.4.3 令影响式(2.2.1)的随机扰动服从P.1~P.2,并考虑对应于扰动集(2.4.10)的(2.2.1)RC。这个RC可以用显式凸不等式等价表示为
对于机会约束(2.2.3),该不等式的每个可行解都是可行的。
证明 根据定义,当且仅当
或者
时, x 对所讨论的RC是可行的。
根据(**),后一个不等式就是式(2.4.11),并且根据命题2.4.1,对于这个不等式的每一个解,我们都有
其中,随机向量 ζ 服从P.1~P.2。
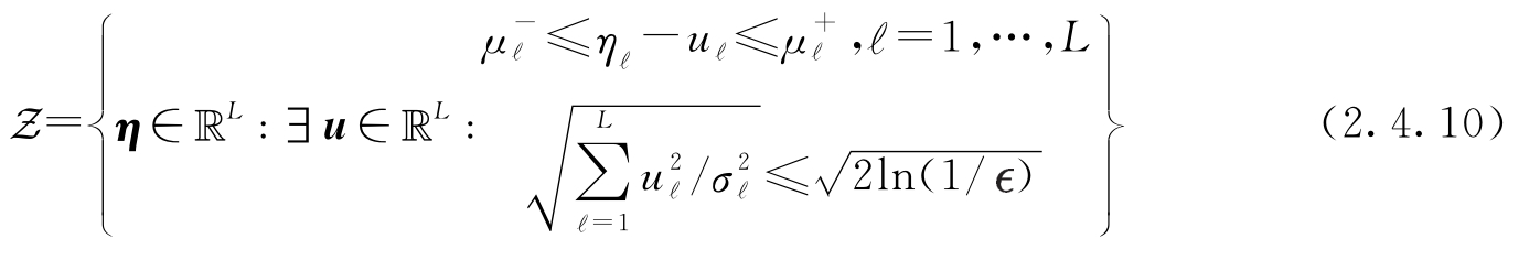
除假设P.1~P.2之外,我们假设 ζ ℓ 具有有界范围:
其中,
是确定性的。在这种情况下,定理2.4.3允许进行以下改进(参见命题2.3.3)。
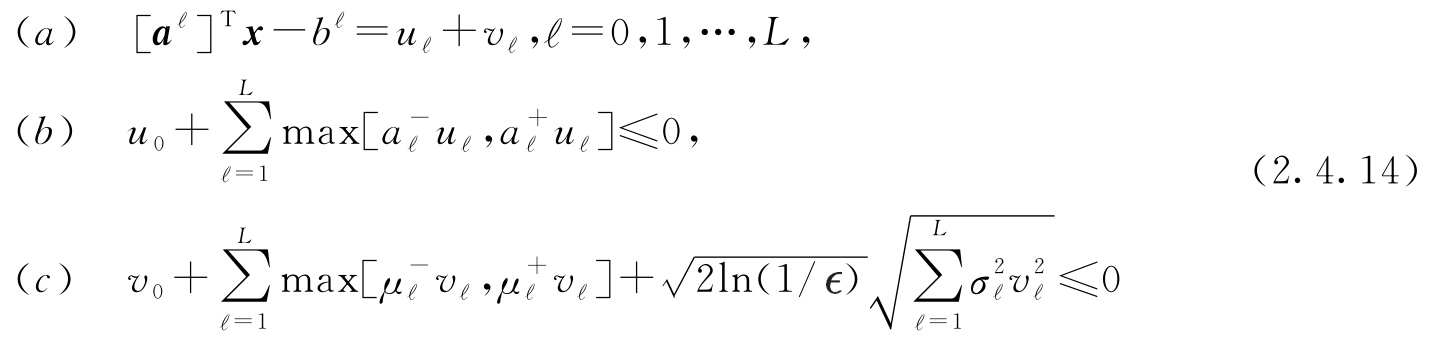
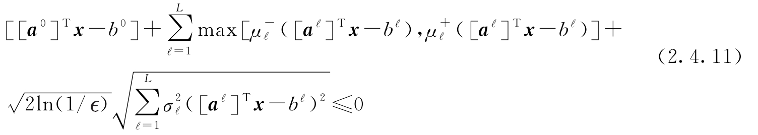
定理2.4.4
假设影响式(2.2.1)的随机扰动服从P.1~P.2和式(2.4.12),且对于所有的
ℓ
,有
,并考虑对应于以下扰动集的(2.2.1)的RC(参考式(2.4.10)):
其中,根据定义, a 2 /0 2 为0或+∞取决于 a =0或 a ≠0。这个RC可以用凸不等式组等价表示为
其中, x , u ,v为变量。此外,任何 x 都可以扩展为后一个组的可行解 ( x , u ,v),对于机会约束(2.2.2)而言都是可行的。
证明1
0
让我们来证明一下当
时,每个向量
z
=[
z
0
;
z
1
;…;
z
L
]可等价为
可以立即看出,这种等价方式的有效性在系数“位移”
情况下保持不变,因此,我们可以假设,不失一般性地,有
我们首先证明式(2.4.15.
b
)可以表明式(2.4.15.
a
);令
u
,v满足关系式(2.4.15.
b
),并令
η
∈
Z
。然后,对于每一个
ℓ
,有
,它与式(2.4.15.
b
.2)结合在一起可以表明
除此之外,由于
Z
的定义条件中的限制,我们有
η
=
η
0
+
η
1
并且
Ω
2
。因此,
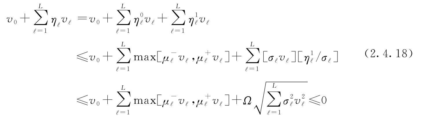
其中结论不等式由式(2.4.15. b .3)给出。结合式(2.4.17),式(2.4.18)和式(2.4.15. b .1),我们得到式(2.4.15. a )。
接下来我们证明式(2.4.15. a )可以表明式(2.4.15. b )。令
使得
P
,
Q
是凸紧集且
Z
=
P
∩
Q
;除此之外,我们显然有
,1≤
ℓ
≤
L
}。首先,假设,对于所有
ℓ
,有
,因此int
P
∩int
Q
≠∅。在这种情况下,根据众所周知的凸分析结果,向量
z
=[
z
0
;…;
z
L
]满足关系式
当且仅当存在一种分解方式 z = u +v且
第一个不等式清楚地表明 u 满足式(2.4.15. b .2),而第二个不等式通过(**),表明v满足式(2.4.15. b .3)。因此, z 满足式(2.4.15. b ),如证明要求所述。
我们证明了若
z
满足式(2.4.15.
a
)并且所有不等式
严格成立,则
z
满足式(2.4.15.
b
);为了完成式(2.4.15)的证明,我们所需要做的就是证明在某些情况下,不等式
是等式时,后一个结论仍然有效。为此,假设
z
满足式(2.4.15.
a
),令
t
为一个正整数,令
,并且对
进行与之同理的假设。令
根据 z 满足式(2.4.15. a )的事实,通过标准的紧性参数,可以得出如下结论:
令
,1≤
ℓ
≤
L
,有
根据(2.4.15.
a
)⇒(2.4.15.
b
)的证明过程,当用
代替
,用
z
t
代替
z
时,从不等式(2.4.15.
b
)中获得的由变量
u
,
v
约束的组
S
t
允许
u
t
,
v
t
作为可行解。从式(2.4.16)可以得出,如果
u
,
v
是
S
t
的解,且
u
',
v
'满足
,
u
'+
v
'=
u
+
v
的形式,以及
,1≤
ℓ
≤
L
与
u
,
v
对应的项的符号相同且数值较小,那么
u
',
v
'也是
S
t
的解。由此可知,上述
u
t
,v
t
可以选择一致有界。
事实上,如果对于某一
ℓ
≥1,我们有
,那么,用
和
代替
u
t
,
v
t
中的第
ℓ
个坐标,并保持
u
t
,v
t
其余的项不变,我们可以得到一个
u
,
v
中的第
ℓ
个坐标以
大小为界的
S
t
的新的可行解。类似
的修正是可能被采用的;应用这些修正,对于任一
ℓ
≥1,我们可以确保
不超过
。当然,在这种归一化的情况下,
S
t
的解不需要具有太大数值的项
。
对于
u
t
,
v
t
一致有界,传递到一个子序列的情况,我们可以假设随着
t
→∞,有
u
t
→
u
,
v
t
→
v
;因为随着
t
→∞,
z
t
=
u
t
+
v
t
→
z
,由于
d
t
→0,
t
→∞,所以“扰动”数据
收敛于“真实”数据
,
u
,
v
的事实证明了
z
满足式(2.4.15.
b
)。
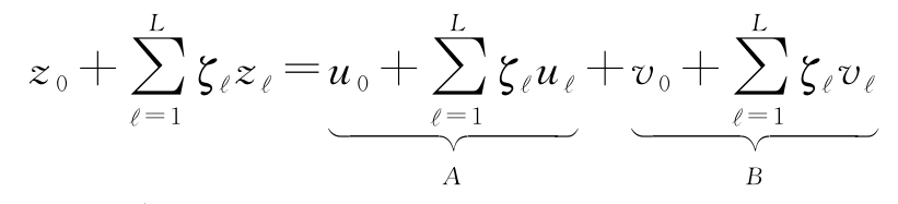
2 0 由式(2.4.15)可知,式(2.4.14)中的约束组等价于表示 x 对于不确定不等式(2.2.1)是鲁棒可行的,扰动集为(2.4.13)。我们需要证明的是,当 x 可以扩展为式(2.4.14)的可行解 ( x , u , v ) 时, x 对于机会约束(2.2.2)是可行的。设 z ℓ =[ a ℓ ] T x -b ℓ , ℓ =0,1,…, L ,并调用式(2.4.14. a ),我们可以得到
由于
ζ
从盒
,1≤
ℓ
≤
L
}中取值的概率为1,根据式(2.4.14.
b
),我们一定有
A
≤0。将命题2.4.1应用于
v
,作为
z
,并调用式(2.4.14.
c
)。我们得出结论Prob{
B
>0}≤
。因此,Prob{
A
+
B
>0}的值,即
x
违反机会约束(2.2.2)的概率,是小于或等于
的。
为了使定理2.4.3、2.4.4中提出的结构有用,我们应该理解如何将扰动向量
ζ
中
ζ
ℓ
分布的部分先验知识“转换”为P.2中的参数
,
σ
ℓ
的具体值。我们将举出几个具有启发性的实例来说明这种“转换”方法(其中大多数源自文献[83])。
2.4.2.1 关于归一化的说明
为了避免公式出现混乱,我们对 ζ ℓ 的分量进行适当的归一化。我们感兴趣的是一个随机扰动不等式
根据满足P.1~P.2的随机量 ζ =[ ζ 1 ;…; ζ L ],以及命题2.4.1给出的特定界限,这个不等式将被违反。现在假设我们对每个分量 ζ ℓ 进行确定性仿射变换,设
其中, β ℓ >0, α ℓ 是确定性的。通过这种替换,式(2.4.19)中的左边部分变为
当然,还有
现在,如果
ζ
满足P.1~P.2中的某些参数
,那么
满足相同的假设,且参数
由下式给定
由此可见,命题2.4.1、2.4.2和定理2.4.3、2.4.4遵循了替换(2.4.20):当我们使用这种机制时,关于概率(2.4.22)的结论是,使用^量得出的结论与我们在使用原始量时相同。例如,原始量中的关键条件(2.4.8)与^的量完全相同。因为对应于式(2.4.21)和式(2.4.23),我们有
底线是:当原始随机变量从
ζ
ℓ
按比例缩放至
时,我们没有任何损失。下面,我们主要研究变量
ζ
ℓ
在给定的有限范围[
a
ℓ
,
b
ℓ
],
a
ℓ
<
b
ℓ
内的变化情况。当
变量的变化范围在[-1,1]上时,对
ζ
ℓ
进行缩放是很方便的。我们总是假设这个缩放是提前进行过的,所以变量
ζ
ℓ
本身的取值范围即限定在[-1,1]上。
2.4.2.2 高斯扰动
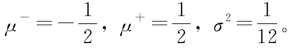
例2.4.5
假设
ζ
1
,…,
ζ
L
是已知部分期望
μ
ℓ
和方差
信息的独立高斯随机变量;具体来说,我们所知道的是
,且
和
σ
ℓ
,1≤
ℓ
≤
L
是已知的。对于
μ
∈[
μ
-
,
μ
+
]且
ζ
~
N
(
μ
,
σ
2
),我们有
我们发现
ζ
满足P.1~P.2的参数为
,
σ
ℓ
,
ℓ
=1,…,
L
。由定理2.4.3给出的式(2.2.3)的保守易处理近似为
当
,
σ
ℓ
=1,
ℓ
=1,…,
L
时,该式即为式(2.2.1)在
时的球RC(2.2.3)。
请注意,在所讨论的简单情况下,模糊的机会约束(2.2.3)不需要近似值:当
1/2时,它完全等价于凸约束
其中,ErfInv是逆误差函数(2.3.22)。当我们假设
ζ
是高斯分布时,情况也是如此,我们所知道的关于
ζ
的期望
μ
和协方差矩阵
Σ
的所有信息是
。请注意,式(2.4.25)的结构与式(2.4.24)完全相同,唯一的区别在
因子上。在式(2.4.24)中,该因子是
,而在式(2.4.25)中,该因子是
。但是,这个区别并没有那么大,从下面的比较中可以看出来:
2.4.2.3 有界扰动
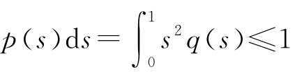
例2.4.6 假设我们所知道的概率分布 P 的支持范围是[-1,1]。那么
因此, P 满足P.2且 μ - =-1, μ + =1, σ =0。
特别地,如果我们知道影响式(2.2.1)的随机扰动
ζ
是在[-1,1]中独立变化的
ζℓ
,即,对于所有的
ℓ
,有
,
σ
ℓ
=0,那么RC(2.4.11)变为
这只不过是盒RC(2.3.15),它提供了对不确定性100%的免疫。注意,由于有了先验信息, ζ 可以是来自单位盒的任意确定性扰动,因此在这种情况下,这个RC是我们能够构建的最佳RC。
2.4.2.4 有界单峰扰动
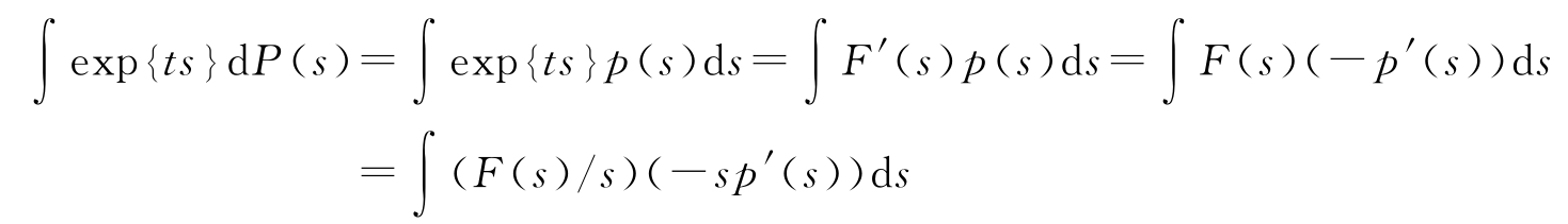
例2.4.7 假设我们所知道的概率分布 P 的支持范围是[-1,1],并且是关于0的单峰分布,也就是说,具有关于0的单峰分布密度 p ( s )(即,当 s <0时为非递减,当 s >0时为非递增)。在这种情况下,假设 t ≥0,我们有
可以明显看出后一个 p (·)的泛函数,仅限于关于0的单峰分布密度,当 p ( s )在[-1,0]上取零时获得它的最大值,并且在[0,1]上 p ( s )≡1。因此
事实上,假设
P
拥有仅存在于[-1,1]上,且当
s
<0时不减,
s
>0时不增的平滑密度
p
(
s
),并且设
。我们有
其中,
。由于
p
是上述提到的关于0的单峰分布,并且仅存在于[-1,1]上,函数
q
(
s
)=
-sp′
(
s
)是非负的,并且也仅存在于[-1,1]上;除此之外,
,即,
q
(·)表示分布在[-1,1]上的概率分布密度。此外,函数
F
(
s
)/
s
在
s
定义域上显然是非递减的(回顾一下
t
≥0的情况)。因此
正如式(2.4.26)中所要求的。
我们已经证明了,当
P
的分布密度是仅存在于[-1,1]上,平滑的关于0的单峰分布密度函数时,式(2.4.26)是成立的。现在,对于每一个连续函数
ϕ
(·),每一个分布在[-1,1]上的关于0的单峰分布概率密度函数
p
(
s
)都可以近似为一个仅存在于[-1,1]上的平滑的单峰序列,这里的意义体现为
。指定
ϕ
(
s
)=exp{
ts
},并注意到,正如我们已经看到的,
,我们总结出式(2.4.26)对于每一个仅存在于[-1,1]上的关于0的单峰分布
P
都是有效的。
根据对称性,我们从式(2.4.26)中得到
由此可得
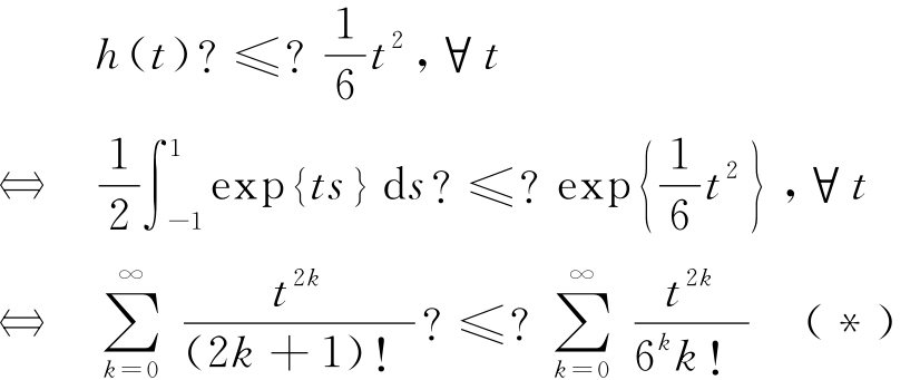
现在,直接计算表明,
h
(0)=0,
并且
。对于所有
t
≥0的情况,有一个很自然的猜测是
这个猜测的确是正确的:
其中,将exp{
ts
}和
展开成泰勒级数得到结论式。可以看出,式(*)右边的级数在项上优于左边的级数,因此最后一个“?≤?”的确是“≤”。
我们得出结论,
P
满足P.2且
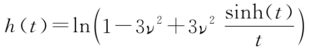
2.4.2.5 有界对称单峰扰动
例2.4.8 假设我们所知道的概率分布 P 的支持范围为[-1,1],且是关于0的单峰分布和关于0的对称分布。在这种情况下,我们有
这里很容易看出,当
,
-1≤
s
≤1时,后一个泛函数在[-1,1]上的单峰对称概率密度值达到最大,因此
事实上,正如式(2.4.26)中的证明,当
p
(
s
)为光滑均匀密度,仅存在于
s
<1上且在
s
>0上为非增函数时,就足以证明式(2.4.27)成立。设
且
q
(
s
)=-2
sp′
(
s
),正如式(2.4.26)的证明内容,我们有
,函数
F
(
s
)/
s
是非减函数,并且
q
(
s
)是[0,1]上的概率密度函数,此时
。
直接计算表明,函数
h
(
t
)=ln
f
(
t
)满足
h
(0)=0,
,一个很自然的猜测是
对于所有 t ,下式也成立:
由例2.4.7中相同的参数可知,式(*)确实成立。我们得出结论,
P
满足P.2且
μ
-
=
μ
+
=0,
。
2.4.2.6 范围和期望信息
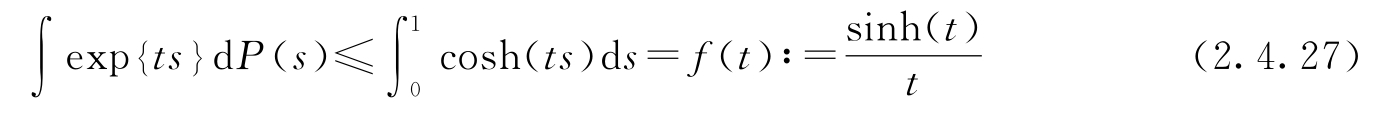
例2.4.9 假设我们所知道的概率分布 P 的支持范围为[-1,1],并且相关随机变量的期望属于给定的区间[ μ - , μ + ]中;当然,我们可以假设-1≤ μ - ≤ μ + ≤1。令 μ 是 P 的均值。给定 t ,考虑以下函数
ϕ ( s )=exp{ ts }-sinh( t ) s ,-1≤ s ≤1
这个函数在[-1,1]上是凸的,因此在这段区间的端点处达到最大值。由于 ϕ (1)= ϕ (-1)=cosh( t ),我们有
因此,
注意,在这种情况下——当 P 是一个两点分布,分配(1+ μ )/ 2给点 s =1,分配(1 -μ )/ 2给点 s =-1时,边界(2.4.28)是最好的;事实上,这种分布的支持范围在[-1,1]上且数学期望为 μ 。
设 h μ ( t )=ln f μ ( t ),我们有
以及对所有
t
,均有
。我们得出这样的结论
(!)当
μ
-
≤
μ
≤
μ
+
时,我们有
。
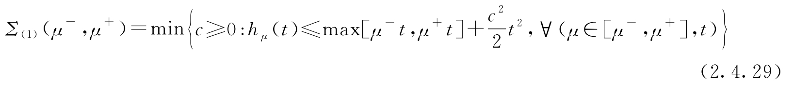
现在我们设
图2-2a中绘制了 Σ (1)( μ - , μ + ),-1≤ μ - ≤ μ + ≤1的图像。通过(!), Σ (1)( μ - , μ + )有了较好的定义且小于或等于1,回顾式(2.4.28),
因此, P 满足P.2且参数 μ ± , σ = Σ (1)( μ - , μ + )≤1。
评注2.4.10
我们已经证明了命题2.3.1。事实上,在这个命题的前提下,例2.4.9(此处设
μ
±
=0)表明随机变量
ζ
ℓ
满足P.1~P.2且参数
,
σ
ℓ
=1,
ℓ
=1,…,
L
,这使得命题2.3.1成为命题2.4.2的一个特例。
例2.4.9是非常有意义的,我们可以继续从这个例子中概述的方向出发,利用越来越详细的 ζ ℓ 分布信息。
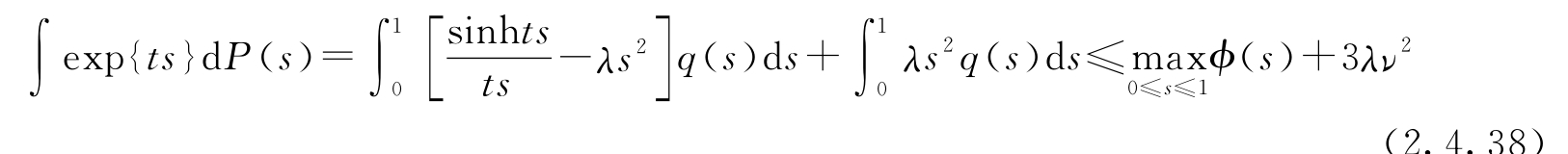
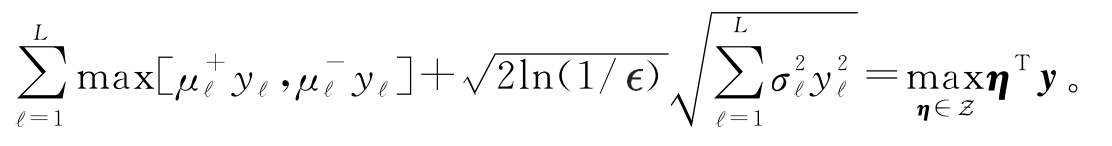
在进一步讨论这种类型的实例之前,让我们先理清例2.4.9中所使用的主要推理因素,即我们建立关键不等式(2.4.28)的方式。类似的推理可以用于下面所有实例中。这个问题的本质是:给定轴上的函数 w t ( s )(在例2.4.9中是exp{ ts })和“矩型”信息
其中,概率分布 P 的范围是给定轴上的 Δ 区域(在例2.4.9中, J = ={1}, J ≤ =∅, μ 1 = μ , g 1 ( s )≡ s ,且 Δ =[-1,1]),我们希望从∫ w t ( s )d P ( s )的值以上限定边界。我们使用的是一种拉格朗日松弛方法:我们观察发现 P 的分布信息表明,当 λ j , j ∈ J = ∪ J ≤ 时, λ j ≥0对所有的 j ∈ J ≤ 均成立,我们有
其中,结论不等式由以下事实给出: P 是一个支持范围为 Δ 的概率分布,与我们的先验矩信息一致。
在接下来的例子中,当证明类似于式(2.4.28)的不等式时,我们选择了恰当 λ j (在式(2.4.28)的情况下, λ 1 =sinh( t ))的概述边界方案。事实上,使用的 λ 是由 λ 内所得的界的极小化给出的,但我们不妨直接证明这个事实;我们只是证明所得的界是不可改进的,因为它在某些分布 P 上是相等的,与我们的先验信息一致。
2.4.3.1 范围、均值和方差信息
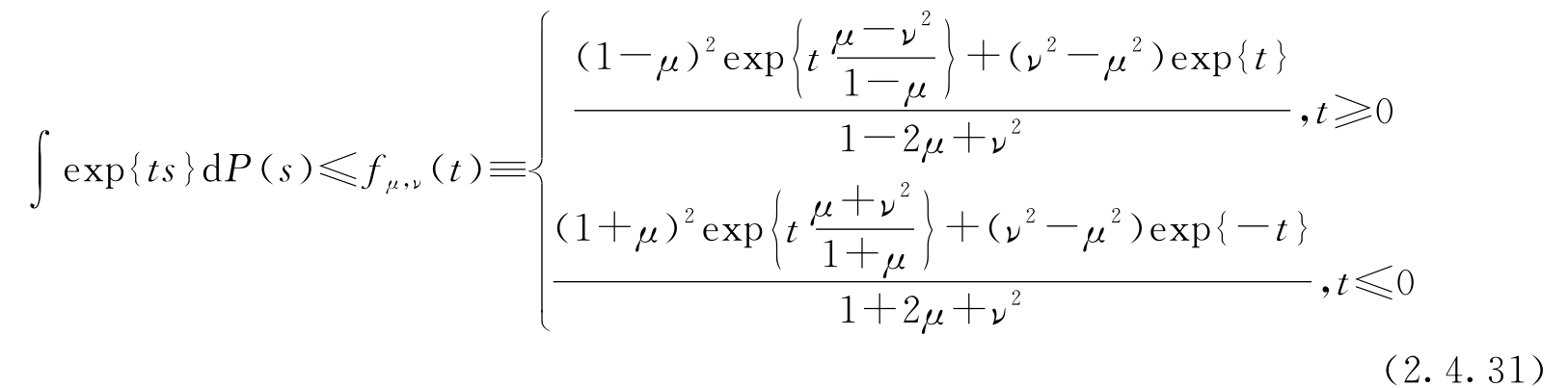
例2.4.11 假设我们所知道的概率分布 P 的支持范围是[-1,1]且Mean[ P ]∈[ μ - , μ + ],Var[ P ]≤ ν 2 ,其中 ν 和 μ ± 都是已知的。不失一般性地,我们可以关注 μ ± ≤ ν ≤1。
(i)在 μ =Mean[ P ]条件下,有
而边界(2.4.31)在以下情况下是最可能的:当
t
>0时,它是两点分布,分别将(1
-μ
)2
/(1-2
μ
+
ν
2
)和(
ν
2
-μ
2
)/(1-2
μ
+
ν
2
)分配给点
和1。这种
分布和我们的先验信息:
是一致的。当
t
<0时,当
P
是
关于0的“反射”
时,达到边界(2.4.31)。
(ii)对所有
t
,函数
h
μ
,
ν
(
t
)=ln
f
μ
,
ν
(
t
)满足
。因此,函数
有了较好的定义并且小于或等于1,而且 P 满足P.2且具有参数 μ ± , σ = Σ (2)( μ - , μ + , ν )。
注意,函数 Σ (1) ( μ - , μ + )即为函数 Σ (2) ( μ - , μ + ,1)。图2-2b绘制了 Σ (2) ( μ -, μ + , ν )的图像。
事实上,通过连续性,在
μ
<|
ν
|≤1的情况下证明式(2.4.31)成立就足以证明(i)成立了;根据对称性,我们可以假设
t
>0。设
,由于|
μ
|<
ν
<1,因此,
。考虑函数
ϕ ( s )=exp{ ts } -λ 1 s-λ 2 s 2
其中, λ 1 和 λ 2 的值通过以下方式选择
即,
对 λ 2 ≥0的结构进行观察。对于-1≤ s ≤1,我们认为 ϕ ( s )≤ ϕ (1),因此
(比较式(2.4.30)),将
,
λ
1
和
λ
2
的值代入,得到的边界为(2.4.31)。
我们仍然需要证明在[-1,1]上
ϕ
(
s
)≤
ϕ
(1)。我们很快发现
。因此,当
s
从
增加到1,函数
ϕ
(
s
)首先会减小,且初始值为
;接下来会发生什么,我们并不清楚,但当
s
的值达到1时,
ϕ
恢复到它的初始值
。由此得出,
ϕ
′(
s
)在开区间
中为零。进一步,假设
,函数
ϕ
′
(
s
)在
上至少有2个不同的零解;除此之外,由
可以得到
ϕ
′
(
s
)至少有3个不同的零解。但是
ϕ
′(
s
)是
s
的凸函数;有至少3个不同的零解,显然,在非平凡线段上,它并非一直为零。因此,当
时,
。为了证明当
时,同样的不等式成立,观察到随着
s
从
减小至-1,
ϕ
(
s
)先减小(由于
。接下来会发生什么,我们并不知道,但根据刚才所说的,可以得出结论:如果在
上的某个范围内,
ϕ
(
s
)>
,那么,
ϕ
′
(
s
)在
上有一个零解;当零解在
上(根据结构)或者在
上的某一处(我们已经看到了这一种情况),这至少给出了
ϕ
′的3个不同的零解,根据我们刚才的解释,这是不可能发生的情况。因此,如上文所述,在整段区间[-1,1]上,
ϕ
(s)≤
。
请注意,为了验证(ii),正如我们已经看到的,
f
μ
,
ν
(
t
)是分布在[-1,1]上的所有概率分布
P
的∫exp{
ts
}d
P
(
s
)的最大值,使得Mean[
P
]=
μ
,Var[
P
]≤
ν
2
;但后一个最大值在
ν
中显然是不减的。至于
f
μ
,1
(
t
),当然,这只是例2.4.9中的函数
f
μ
(
t
);正如我们在这个例子中所看到的,
,所以同一个上界对
h
μ
,
ν
(
t
)有效。
2.4.3.2 范围、对称性和方差
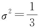
例2.4.12 假设我们所知道的概率分布 P 的支持范围是[-1,1]并且是关于0的对称分布,且Var[ P ]≤ ν 2 ,0≤ ν ≤1, ν 已知。我们有以下结论。
在这种情况下,即:当 P 为三点分布时,将 ν 2 /2赋给点±1,将1 -ν 2 赋给点0的情况下,这个边界是最佳的可能情况。
(ii)函数 h ( t )=ln f ( t )是凸函数,并且也是偶函数和二阶可微的,其二阶导数在整个实轴上以1为边界,且 h (0)=0, h′ (0)=0。因此,函数
在0≤ ν ≤1上有较好的定义,同时, P 满足P.2且 μ ± =0, σ = Σ (3)( ν )。
图2-2c中绘制了 Σ (3) (·)的图像。我们将要求的证明留作练习2.1。
2.4.3.3 范围、对称性、单峰性和方差
例2.4.13 假设我们所知道的概率分布 P 的支持范围是[-1,1],并且是关于0的对称分布和单峰分布,另外,Var[ P ]≤ ν 2 ≤1/3( ν 的上界是自然的——可以看出这是由 P 的其他假设所隐含的)。我们有以下结论。
并且在这种情况下,这个边界是最佳的可能情况。(要知道边界为什么不能被改进,可以看一下当[-1,1]上
P
的密度等于3
ν
2
/2时发生了什么,除了原点的小邻域
,其中密度等于
。)
(ii)函数
是均匀平滑的,同时其二阶导数在整个实轴上有界且为1,因此函数
有较好的定义,且小于或等于1。因此, P 满足P.2且参数 μ ± =0, σ = Σ (4)( ν )。
要证明(i),只需验证当 P 的密度 p ( s )是平滑、均匀、关于0的单峰分布且仅存在于[-1,1]上的式(2.4.35)即可(参考式(2.4.26)的证明)。除此之外,根据连续性,我们可以假设 t ≠0。我们有
现在,令 λ 为如下函数
满足 ϕ (0)= ϕ (1)时的值,即
设
且
q
(
s
)=-2
sp′
(
s
),以及例2.4.8,我们观察到,当0≤
s
≤1时,
q
(
s
)是一个概率密度,且
除此之外,我们有
通过观察,由于
q
是[0,1]上的概率密度函数,后一个链式中的等式表明
·
,这就证明了Var[
P
]的上界1/3,并且因此得到边界
ν
2
≤1/3。
我们现在可以按以下步骤进行:正如我们所见到的,
来源于
(这里考虑
λ
>0)。我们现在认为
,其与式(2.4.38)结合表明
从 λ 的表达式来看,后一个边界正好是式(2.4.35)。
我们认为当0≤ s ≤1时, ϕ ( s )≤ ϕ (0)= ϕ (1)=1的说法仍然需要被证明。我们可以看到
由此可知,当
s
从0增加到1时,函数
ϕ
(
s
)从
ϕ
(0)=1首先开始减小。接下来会发生的情况,除了当
s
达到1时,
ϕ
(
s
)恢复其初始值
ϕ
(1)=
ϕ
(0)=1之外,其他的我们并不能确切地知道。结果表明,如果
,那么
ϕ
′(
s
)在(0,1)上至少有2个不同的零解,当
ϕ
′(0)=0时,
ϕ
′至少有3个不同的零解。但是
ϕ
′(
s
)是一个凸函数,为了使它具有3个不同的零解,它必须在一个非平凡的区间上为零,但实际情况显然不是这样。
表2-3和图2-2给出了我们所考虑的实例的总结。
表2-3 例2.4.6~例2.4.9和例2.4.11~例2.4.13的总结。在实轴上的
P
概率分布表中,我们用
和
表示分布的均值和方差
图2-2 Σ ( κ ) , κ =1,2,3,4的图