购买
下载掌阅APP,畅读海量书库
立即打开
畅读海量书库
扫码下载掌阅APP

2.3 标量机会约束的保守易处理近似:基本示例

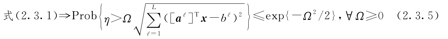
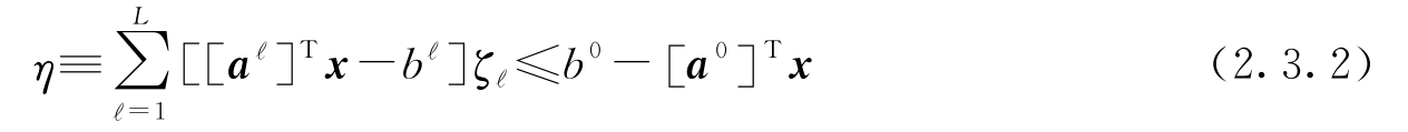
考虑机会约束(2.2.3)的情况,其中,关于随机变量 ζ ,我们知道

是独立的(即 P 是由满足式(2.3.1)的所有分布组成的)。注意,在更为一般的情况下,从给定的以 ζ 期望值为中心的有限区间段上取值的独立随机变量 ζ 可以通过确定性参数 α β 进行“缩放”,即 ,进而简化为式(2.3.1)(参考评注1.2.2)。

注意机会约束(2.2.2)的主要部分可以重写为

在式(2.3.1)的情况下,对于固定值 x ,随机变量 η 的均值为零,标准差为

机会约束要求式(2.3.2)满足概率大于等于1 。工程师将会对这个要求给予回应,认为一个随机变量“从不”会大于它的均值加上3倍标准差,所以 η “从不”大于 。我们不需要像工程师那样明确地说,只需说 η “几乎从不”大于 ,其中, Ω 是数量级为1的“可靠参数”, Ω 越大, η 大于上述值的可能性就越小。因此我们得到了随机扰动约束(2.3.2)的一个参数化“保守”版本:

看上去,似乎通过正确定义 Ω ,该约束中的每个可行解都至少以1 -的概率满足了式(2.3.2)中不等式的要求。事实确实如此,稍后将通过简单的分析表明,我们的“工程论证”是合理的。

具体来说,以下步骤是正确的(证明见评注2.4.10和命题2.4.2)。

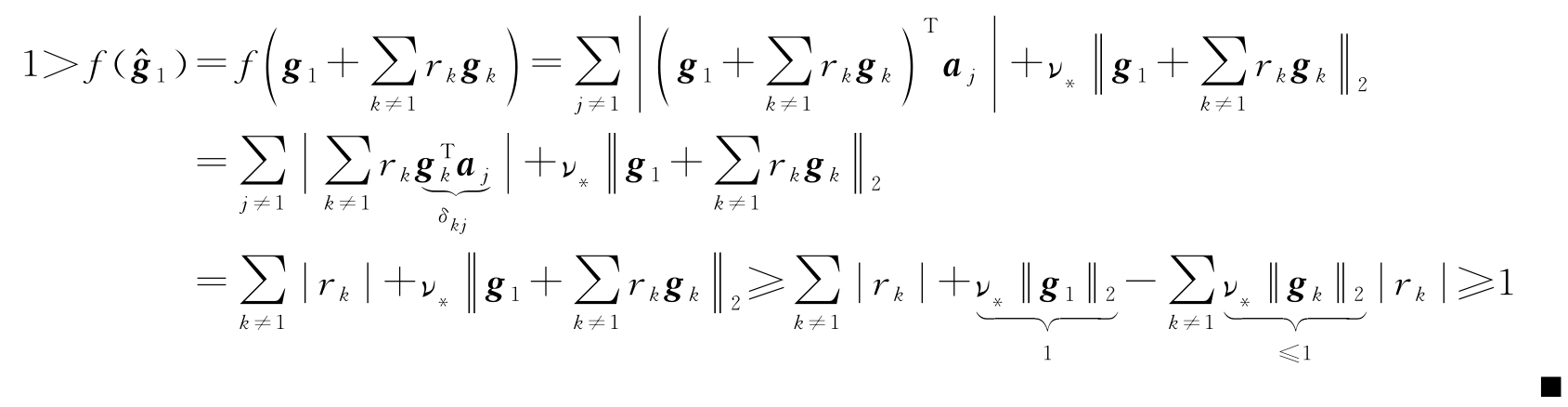
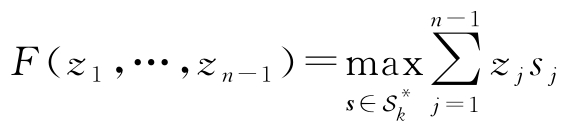
命题2.3.1 z =1,…, L 是确定性系数, ζ =1,…, L 是在[-1,1]上取值的均值为零的独立随机变量。对于所有 Ω ≥0,有

作为一个直接的结论,我们得到

进而,我们可以得到如下结果。

推论2.3.2 在式(2.3.1)的情况下,锥二次约束(2.3.3)是机会约束

可计算的易处理保守近似。

特别地,当 时,约束(2.3.3)是机会约束(2.2.2)的一个易处理保守近似。

现在让我们进行以下重要观察:

鉴于例1.3.3可知,不等式(2.3.3)只不过是不确定线性不等式(2.2.1)和式(1.3.5)的RC,其中式(1.3.5)中的扰动集 Z 为球

这一观察值得深入讨论。

A .就其本身而言,假设 ζ 在[-1,1]上变化(这是式(2.3.1)中假设的一部分内容),作为式(1.3.5)中的扰动集 Z ,建议考虑盒

Box 1 ={ ζ :-1≤ ζℓ ≤1, =1,…, L }

对于这个扰动集 Z ,其不确定线性不等式(2.2.1)和式(1.3.5)的相关RC为

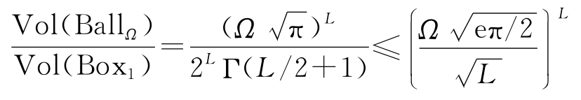
(见例1.3.2。)在式(2.3.1)的情况下,“盒RC”保证了“对扰动具有100%的免疫”,这意味着盒RC的每个可行解对于问题中概率为1的随机扰动不等式是可行的。对于和不确定性(2.3.1)相同的随机模型,“球RC”即锥约束(2.3.3)所能保证的“免疫能力”较弱,可以保证“(1-exp{ 2 /2})·100%免疫”。注意,请使用适当的 Ω ,“不可靠”exp{ 2 /2}值可忽略不计:当 Ω =5.26时,该值小于10 -6 ;当 Ω =7.44时,该值小于10 -12 。在实际应用中,大小为10 -12 的概率和零概率的情况是相同的,所以我们有充分的理由认为,当 Ω =7.44时,球RC与盒RC一样“实际可靠” 。鉴于两个RC模型的“免疫能力”基本相同,那么比较潜在的扰动集Box 1 和Ball Ω 的大小便非常有意义。这个比较为我们带来了惊喜:当扰动集的维数 L 并非很小时,具有“一级的” Ω 的球Ball Ω ,即 Ω =7.44,就直径、体积等所有自然尺寸测量而言,比单位盒Box 1 小得多。例如,

●Ball Ω 和Box 1 的欧氏直径分别为2 Ω ;当 Ω =7.44时,从 L =56开始,第二个模型的直径比第一个模型的直径大,并且随着 L 的增大,第二个模型的直径与第一个模型的直径的比率逐渐增大至∞;

●球和盒的体积比为

其中,Γ是EulerGamma函数。当 Ω =7.44时,该比率从 L =237开始小于1,并在 L →∞时,以超指数速率变为0。

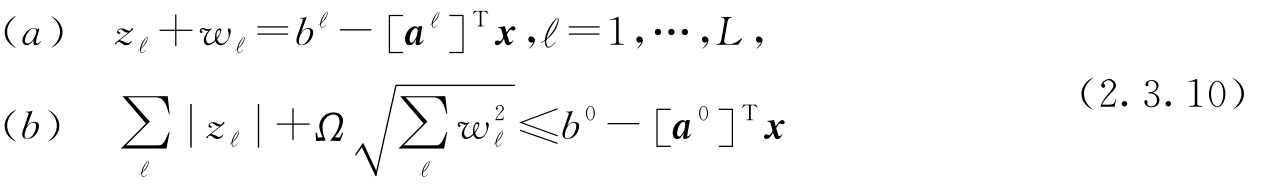
B .作为一个与A中所述内容相反的论点,我们可以认为当 L 很小时,不确定性集Ball 7.44 基本大于不确定性集Box 1 。当然,这里有一个有趣的对球RC的“修正”,它使这个反论点无效。考虑到当扰动集 Z 是单位盒与以原点为中心、半径为 Ω 的球的交点:

命题2.3.3 不确定线性约束(2.2.1)与不确定性集(2.3.9)的RC等价于锥二次约束模型

在式(2.3.1)的情况下,这个模型中每一个可行解的 x 分量至少以1-exp{ 2 /2}的概率满足随机扰动不等式(2.2.1)。

证明 式(2.2.1)的RC可表示为式(2.3.10)且扰动集为(2.3.9)的这一事实很容易由例1.3.7给出,其中, σ ≡1。现在让我们证明如果式(2.3.1)发生,且 x z w 是式(2.3.10)的可行解,那么 x 是至少以1-exp{ 2 /2}的概率满足式(2.2.1)的可行解。事实上,当 时,我们有

因此,对于每一个与式(2.3.1)匹配的分布 P ,我们有

其中,最后一个不等式是由命题2.3.1得到的。

注意,扰动集(2.3.9)从不比扰动集Box 1 大,正如A中所述,对于每一个固定的 Ω ,当扰动向量 ζ 的维数 L 较大时,它比后一个集合小得多。然而,命题2.3.3认为,当扰动向量是随机的且服从扰动集(2.3.1), Ω =7.44时,与小扰动集(2.3.9)相关的RC的“免疫能力”基本上与100%可靠的盒RC的相同。当我们考虑式(2.2.1)接下来的特殊情况时,这一现象变得更加引人注目: ζ 是独立的,且其中每一个值以1/2的概率取值±1。在这种情况下,当 L Ω 2 时,扰动集(2.3.9)甚至不包含随机扰动向量的单个实现。因此,RC(2.3.10)的“免疫能力”不能用基本扰动集包含“几乎所有”随机扰动向量的实现来解释。

C .我们的考虑证明了使用“奇怪”扰动集(如椭球和椭球与超平行体的交点)的合理性:虽然似乎很难想象出从这些扰动集产生扰动的自然扰动机制,但我们的分析表明,在“免疫”时,这些扰动集确实会自然出现针对式(2.3.1)中所述的随机扰动的解。例1.3.8中考虑的“预算”扰动集也是如此。

命题2.3.4 考虑不确定线性约束(2.2.1)在预算不确定情况下的RC:

根据例1.3.8,这时RC模型可以由变量 x z w 上的约束组

表示。在式(2.3.1)的情况下,该组的每个可行解的 x 分量至少以 的概率满足随机扰动不等式(2.2.1)。

因此,目前的解中 起的作用与 Ω 在命题2.3.3的解中起到的作用是相同的。

证明 x z w 对式(2.3.12)是可行的,我们有

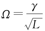
其中,最后一个≤是通过柯西不等式得到的。因此, 。由于 x z w 满足式(2.3.12),我们有 ,该式与式(2.3.12)相结合,表明 x z w 满足式(2.3.10)且 。现在我们可以应用命题2.3.3得出结论,在式(2.3.1)的情况下, x 能够以大于等于 的概率满足式(2.2.1)。

评注2.3.5 命题2.3.4的证明表明,“预算”RC(2.3.11)比球RC(2.3.3)更为保守(即与更大的扰动集相关),前提是,根据 ,预算RC中的不确定性预算 γ 与球RC中的可靠性参数 Ω 相关。问题是:我们为什么要对预算RC感兴趣?命题2.3.4中所表达的关于该RC模型唯一的“好消息”,对于不太保守的球RC来说成立吗?答案是,预算RC可以用线性约束组表示,也就是说,它与潜在的不确定约束(2.2.1)的例子具有相同的“复杂水平”。因此,当对不确定LO问题中的每一个不确定约束使用预算不确定性模型时,该问题的RC本身就是LO问题,因此可以由已经完善的商业LO求解器进行处理。与此相反,球RC(2.3.3)导致了一个锥二次问题,这对计算的要求更高(尽管该问题可以被高效处理)。

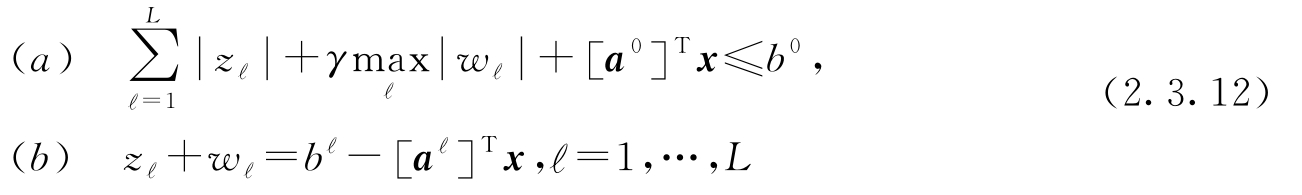
2.3.1 实例:单期投资组合选择问题

例2.3.6 让我们将概述的方法应用于下列单期投资组合选择问题上。

现在一共有200份资产。第200份资产(银行存款)的年回报率为 r 200 =1.05,变动可能性为零。其余资产的年回报率 r =1,…,199是从期望值为 μ 的区间段[ μ μ + σ ]中取值的独立随机变量;其中,

我们的目标是在资产之间分配1美元,以最大化所产生投资组合的风险值,所要求的风险水平是

我们希望解决不确定LO问题

其中, y 是投资于第 份资产的资金。不确定数据是年回报率 r =1,…,199,它们的自然参数是

r = μℓ + σ ζℓ

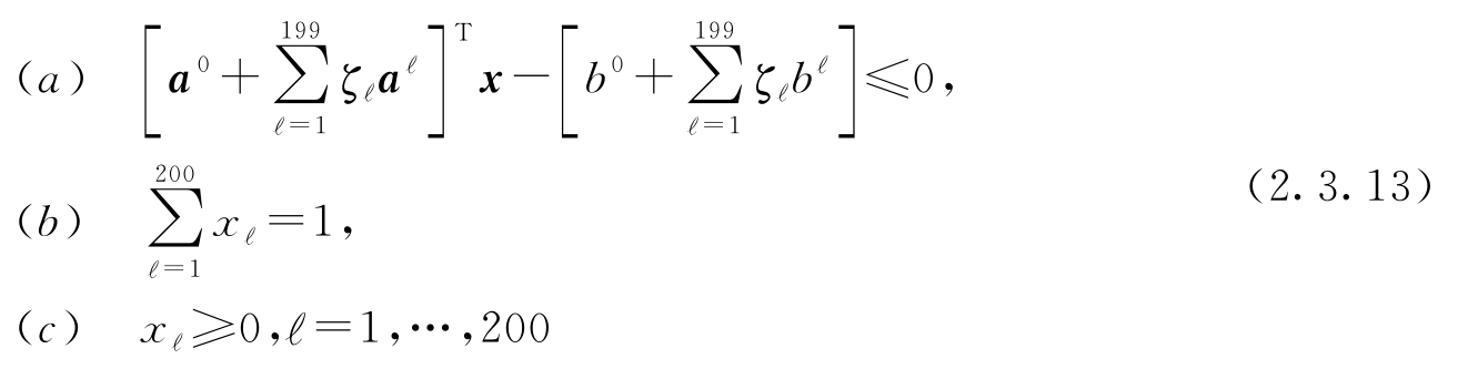
其中, ζ =1,…,199是在[-1,1]上变化的均值为零的独立随机扰动。设 x =[ y -t ]∈ℝ 201 ,问题变成了最小化 x 201 ,受以下约束

其中,

这个问题中唯一的不确定约束是不等式(2.3.13. a )。我们考虑了3个扰动集以及与式(2.3.13)相关的鲁棒对等。

(i)盒RC忽略了影响不确定不等式的扰动集的随机性信息,仅仅利用了扰动集在[-1,1]上变化的信息。式(2.3.13. a )的基本扰动集 Z

(ii)由命题2.3.3给出的球-盒RC,其保守参数为

该式确保鲁棒最优解至少以1- =0.995的概率满足受不确定性影响的约束。式(2.3.13. a )的基本扰动集 Z

(iii)由命题2.3.4给定的预算RC,其中,不确定性预算

其所能保证的概率结果与球-盒RC相同。式(2.3.13. a )的基本扰动集 Z

盒RC 。不确定不等式的相关RC由式(2.3.8)给出;经过直接计算,由式(2.3.13)得到的RC模型就变成了LO问题

正如预期的那样,这只是我们不确定问题的实例,对应于不确定年回报率最坏的可能值 r = μℓ-σ =1,…,199。由于这些值小于保证的资金回报率,鲁棒最优解规定将我们的初始资金存放在银行,保证年回报率为1.05,即保证5%的收益。

球-盒RC 。不确定不等式的相关RC由命题2.3.3给出。由式(2.3.13)得到的RC是如下锥二次问题

鲁棒最优解的值为1.1200,意味着在风险值低至 =0.5%时,可以获得12.0%的收益。资金之间的资产分配如图2-1所示。

图2-1 展示了例2.3.6单期投资组合选择问题的鲁棒最优解。沿着 x 轴:坐标1,2,…,200表示资产。a:预期的回报率,b:回报率值域的上下端点,c:球-盒RC模型的投资资金,%,d:预算RC模型的投资资金,%

预算RC 。不确定不等式的相关RC由命题2.3.4给出。由式(2.3.13)得到的RC是如下LO问题

鲁棒最优解的值为1.1014,意味着在风险值低至 =0.5%时,可以获得10.1%的收益。资金之间的资产分配如图2.1所示。

讨论 。首先,我们看到随机性信息是多么有用——在风险低至0.5%的情况下,球-盒RC(12%)和预算RC(10%)产生的投资组合收益的风险值是盒RC(5%)所保证收益的两倍。还请注意,球-盒RC和预算RC都建议采用“积极的”投资决策,而盒RC建议将初始资金保留在银行中。另外,预算RC比球-盒RC更加保守。最后,我们应该记住,球-盒RC和预算RC提供的投资组合设计相关的实际风险(即,实际年总回报低于相应鲁棒最优解计算得到的回报的概率)大部分为0.5%,且可能低于该值;实际上,问题中这两种RC都利用了机会约束

的保守近似。

发现实际风险有多小是件很有趣的事。当然,答案取决于不确定回报率的实际概率分布(回想一下,在我们的模型中,我们只假设了已知这些分布的部分信息,特别是这些分布的支持和期望信息)。假设“现实中”的 ζ =1,…,199,仅取极值±1,概率各为1/2,并利用1000000个实例作为样本进行蒙特卡罗模拟,我们发现,按系数为10来计算时,“球-盒”的投资组合的实际风险小于要求的0.5%的风险值,“预算”模型的投资组合,按系数为50来计算时,其实际风险也小于要求的0.5%的风险值。根据这一观察结果,我们似乎可以通过“调整”参数来降低模型的保守性,也就是说,用更大的值替换RC中所要求的风险值,并且希望由此产生的实际风险(可以通过模拟来估计)仍然低于所要求的水平。通过这种调整,将式(2.3.16)中的可靠性参数 Ω =3.255降低至 Ω =2.589,最后得到鲁棒最优解的值为1.1470(即,得到了14.7%的收益,而不是最初的12.0%),同时保证经验风险(根据500000个以上的实际样本进行估计)仍然低至0.47%。同样,将式(2.3.17)中的不确定性预算 γ =45.921降低至 γ =30.349(即,将收益由10.12%增加至13.95%),同时经验风险降低至0.42%。

2.3.2 实例:蜂窝通信

例2.3.7 考虑以下问题。

信号恢复 。给定信号 s S ={ s ∈ℝ n s i =±1, i =1,…, n }的间接观测值

A 是一个给定的 m × n 矩阵, ξ N (0 I m )是观测噪声, ρ ≥0是一个确定性的噪声水平),求信号的一个估计值

如下要求应当被满足:

这里的 <<1是给定的容差,且sign[ v ]以坐标态的方式作用:sign[[ v 1 ;…; v n ]]=[sign( v 1 );…;sign( v n )]。

根据式(2.3.18),被观测信号 s S 可以被当作一个有意义的蜂窝通信模型(在一定程度上有所简化)。还请注意一下,式(2.3.19)形式的信号估计是具有一定实用性的——虽然从对噪声的敏感性角度来看,这不是最好的估计方法,但由于其计算简单,这一方法在实际中经常被使用。最后,让我们解释一下式(2.3.19)背后的原理。假设 s 是随机高斯信号(与 ξ 无关),且均值为零,从均方误差的角度出发,最佳信号恢复方法实际上是线性的: = Gu G 是定义的适当矩阵(也叫作维纳滤波器)。工程师经常把简单问题的最优解作为更复杂问题的“实际解”,维纳滤波器也不例外。根据式(2.3.18)得到的线性估计量 Gu 通常应用于不是零均值高斯信号 s 的情况中。现在,当我们提前知道 s 是一个±1向量时,我们尝试用如下方法来改进线性估计量 Gu :假设 Gu s 之间的距离并非太远(即, Gu s 之间典型欧几里得距离小于1),则向量sign[ Gu ]“等典型地”将是精确的 s 。综上所述,让我们把信号恢复问题作为一个数学难题来对待。我们的第一个观察是直接的:

式(2.3.20)的一个充要条件是

其中, G 的第 i 行,ErfInv是由以下关系式定义的逆误差函数:

事实上,假设 G 满足式(2.3.20)。那么对于所有 i n ,我们有

仅当 g i 0 时,后者是成立的(否则该式左边的概率为1),且等价于

由于 ,该式又等价于

我们可以看到式(2.3.21)在其中体现出来了。反之亦然,如果产生了后一种关系式,那么,将上述推理颠倒过来,我们就会看到

由于 ξ 是对称分布的,所以后一个关系式等价于式(2.3.20)。观察到当 ρ >0时,式(2.3.21)清楚地表明 GA ii >0。将 G 中的行乘以适当的正值常数,我们可以将 G 归一化,对所有的 i ,有 GA ii =1成立,而且这种归一化显然不会影响式(2.3.21)的有效性。由此可知,我们所关心的问题等价于如下优化问题

注意,虽然这个问题不是完全凸的,但其在计算上是易处理的:对于每一个正的 ρ ,右边的约束模型是 G 中有效可计算的凸约束模型,我们可以有效地检查它是否可行。如果它对一个给定的 ρ 是可行的,那么它对所有更小的 ρ 也是可行的,所以对于这个组可行的最大 ρ 值(这正是我们想要找到的 ρ )可以很容易地通过二分法求得其高精度的近似值。我们将要证明实际上不需要使用二分法——我们的问题有一个封闭形式的解。具体来说,以下方法是正确的。

命题2.3.8 当且仅当矩阵 A 的秩等于 n (信号 s 的维数), ρ >0时,问题(2.3.23)有一个可行解,在这种情况下式(2.3.23)的最优解如下:

G A 的伪逆矩阵,也就是说, n × m 矩阵转置的行属于 A 的像空间,且 GA = I (这些条件唯一定义 G 矩阵);

证明 首先,通过观察,我们发现,如果Rank A n ,则问题(2.3.23)没有 ρ >0条件下的可行解。事实上,假设Rank A n 并且( ρ >0, G 是这个问题的一种可行解,那么矩阵 GA 的像 L ⊂ℝ n 是ℝ n 的一个固有线性子空间,因此它不与2 n 个象限ℝ κ ={ s κ i s i ≥0,1≤ i n }, κ i =±1中至少一个象限存在内部相交情况。事实上,存在一个与 L 正交的非零向量 e ;当 e i ≠0时,设 κ i =sign( e i ),当 e i =0时, κ i =1,我们确保对所有的 f ∈intℝ κ ,有 e T f >0,使得 L 不能与intℝ κ 相交。因此,存在 κ S 时, L 不与intℝ κ 相交的情况,这意味着,至少有一个 i 满足 κ-GAκ i ≥1。另外, G ρ )是式(2.3.23)的可行解,意味着 ;这些关系清楚地表明了我们想要的矛盾

现在假设Rank A = n ,因此存在 A 的伪逆矩阵,记为 G 。设 ρ * =(ErfInv( )· ,我们可以得到式(2.3.23)的一个可行解( ρ * G )。让我们来证明这个解是最优的。为此,假设式(2.3.23)存在一个可行解 ,让我们将这个假设引入到一个矛盾中。令 a i i =1,…, n A 的列, G 的行。由于 G A = I ,因此

的行。我们可以观察到,不失一般性地假设 属于 A 的像空间。事实上,可以通过在 A 像空间上的正交投影来替换 中的(转置的)行。我们不改变 而且不增加 中行的欧几里得范数并因此保留了 对式(2.3.23)的可行性。进一步,由 可得 ,因此对所有的 i ,有 。现在到了最后一步:对每一个 i ,我们都有 ,对于部分 i 而言,不等关系为等式关系;不失一般性地,我们假设

现在,令

f g 1 )=1。我们认为 。事实上,设 ν = ρ ErfInv( ),有

该严格不等式由 ν ν * 得到,且该结论不等式从 出发,对式(2.3.23)是可行的。现在,向量 属于 A 的像空间,而且该像空间是由向量 g 1 ,…, g n 张成的。实际上,根据伪逆矩阵的定义,向量 g i 属于这个空间;根据 G As = 0 而不是 G As = s 0 ,若它们线性张成的空间小于 A 的像空间,则存在向量 As s 0 ,正交于 g 1 ,…, g n 。由此可见,对于部分 r k ,有

由于 ,我们有 r 1 =0,也就是说, 。我们现在得到了想要的矛盾

命题2.3.8给我们带来了好消息和坏消息。好消息是,解决这个问题的方法简单而自然;坏消息是,当 A 是病态时,该命题所建议的最优方案得到的最优恢复结果仍然较差,因为“直接恢复” 将会增大噪声。在表2-1中,我们给出了目前对两个随机生成的32×32的矩阵 A 的数值结果:首先,从 N (0,1)分布中进行条目抽样,然后,我们用相同的方式生成矩阵,但是需要将该矩阵的某一列乘以一个较小的数使得该矩阵处于病态。这个实验表明了我们的近似值有多精确:对于第一个矩阵, ρ =0.0122(这保证了精确恢复的概率至少达到0.999),100000份实验样本中有3份恢复错误,这意味着在这种噪声水平条件下,真正的错误概率几乎不低于10 -5 ;同时,在噪声水平为0.75 ρ (10 -3 )的条件下,错误概率被证明是小于10 -6 的。

表2-1 信号恢复问题中两个实例的噪声临界水平值

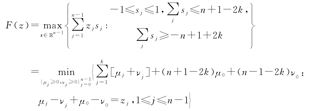
我们能“打败”由 A 的伪逆矩阵给出的直接恢复吗?答案是肯定的,只要我们稍微限制一下实验信号集合 S 即可。例如,假设我们的信号 s 是坐标为±1的向量,并且在 s 的项中,至少有 k 个1和 k 个-1;这里 k n /2是一个给定的整数。令 S k 是所有这种类型信号的集合(在这种表示法中, S 0 表示 S )。对式(2.3.23)的推导过程可以由 S k 替换 S ,得到问题的等价重新表述是

k =0的情况唯一的区别是在计算方面

k =0时,该计算值为 。现在,这个计算值的形式为

其中, 是ℝ n -1 中的坐标为±1且至少有 k -1个坐标为-1以及至少有 k 个坐标为1的所有向量的集合。事实上,我们有

为了计算 F ,请注意 是多面体

极值点的集合。

因此,

其中,结论等式由线性规划对偶定理给出。由此可知式(2.3.24)等价于显式计算易处理的优化问题

对于这个问题,封闭解似乎是不可能实现的;然而,在命题2.3.8之前提出的基于二分法的方法可以有效地解决这个问题。该问题的最优解得到的恢复结果是否“优于”基于 A 伪逆矩阵的直接恢复结果,取决于 A 的“几何结构”。实验表明,对于随机生成的矩阵 A ,这两个解的效果基本相同。同时,对于特殊的矩阵 A ,基于式(2.3.25)的最优解的恢复方法大大优于“直接”恢复方法。例如,考虑这种情况: A 靠近超平面 上的正交投影 P ,具体来说,

其中, 1 是全1向量。该矩阵与 P 的靠近程度由 γ 控制——这个参数越接近于0,则 A 越接近于 P 。在表2-2中,我们给出了当 n =32, k =1, A = A γ γ =0.005和 γ =0.001时的实验数值结果。

表2-2 A 在超平面 k =1上近距离投影的实验

我们可以看出,为了确保恢复的可靠性达到0.9999,基于 G = A -1 的方法所要求的噪声水平本质上比基于式(2.3.25)的最优解所要求的噪声水平更小。例如,在 γ =0.001,噪声水平在0.0135的条件下,基于 G 的方法在10000个实例样本上估计,恢复的错误率高达0.68(即使噪声水平降低1/2,恢复的错误率也仍然达到了0.42)。与此相反,在噪声水平为0.0135的条件下,基于式(2.3.25)的方法被证明可以实现可靠性达到0.9999的恢复。注意,这种明显的性能优势是通过禁止2 32 =4294967296个坐标为±1的信号而得到的,即所有坐标为1的信号和所有坐标为-1的信号。

需要补充的是,“缺陷”观测式(2.3.18)(例如,Rank A n )的信号 s S 0 高度可靠恢复的问题本身并不一定是病态的。例如,考虑 m =Rank A = n -1这种情况。然后通过以下序列变换方法获得 s 的观测值:(a)投影到超平面上 A 零空间的正交补),(b)对投影应用可逆线性变换,(c)对结果添加噪声。从观测结果中恢复 s S 0 的可能性取决于(a)中的投影限定在单位立方体的顶点集上时是否为一对一的映射。无论这种情况是否为真实的(当 A 处于“一般位置”时确实如此),只要没有噪声,我们就可以从观测中准确地恢复信号,因此,只要噪声水平足够低,我们就可以以任意高的可靠性恢复信号。什么是不可能的呢?——将噪声水平独立开来!——对式(2.3.19)形式的信号做到无差错恢复。 MZ+Tb/hGOX6701VPYEkkcOCIBpdswIB2dBjYtvyDozzSxSrnYSXsW5PeUiD4/2cq

点击中间区域
呼出菜单
上一章
目录
下一章
×