购买
下载掌阅APP,畅读海量书库
立即打开
畅读海量书库
扫码下载掌阅APP

3.什么是导数

在第3章中,汤普森非常清楚地说明了什么是导数,以及如何计算导数。不过,在我看来,对导数做一些简要的评论会有一定的帮助,这可能会使第3章更容易理解。

让我们从芝诺的跑者开始。假设他在一条100米长的路上以10米/秒的速度奔跑。这里的自变量是时间,用笛卡儿坐标系的 x 轴表示;因变量是跑者和起点之间的距离,用 y 轴表示。因为这个函数是线性的,所以跑者的运动图像是一条向上倾斜的直线,从坐标系的原点一直延伸到对应于 x 轴上的10秒和 y 轴上的100米的点(见图Ⅷ)。如果我们所说的距离是指跑者和终点之间的距离,那么图Ⅷ中的直线就会向另一个方向倾斜(见图Ⅸ)。

图Ⅷ 跑者的运动图像,其中 x 轴表示时间, y 轴表示跑者和起点之间的距离

图Ⅸ 跑者的运动图像,其中 x 轴表示时间, y 轴表示跑者和终点之间的距离

任意给定一个时间点,让我们看看这位跑者此时的速度。因为我们处理的是一个简单的线性函数,所以我们不需要微积分就能知道他每一瞬间都在以10米/秒的速度前进。这个函数的方程为 y =10 x 。注意,这条直线的斜率为10,这是用任一点到起点的距离(以米为单位)除以跑者到达这一点所用的时间(以秒为单位)来度量的。在每一瞬间,跑者经过的米数都是所用秒数的10倍。在整个跑步过程中,他的瞬时速度显然是10米/秒。

考虑 x 轴上的一个任意点,然后在坐标系中将其竖直向上移动到以米为单位的对应位置,你会发现移动的距离总是所用的时间的10倍(只考虑数值,略去单位)。当阅读这本书时,你会学到函数的导数只不过是另一个函数,它描述的是因变量相对于自变量变化的变化率。在这种情况下,跑者的速度始终保持不变,因此 y =10 x 的导数就是10。它告诉你两件事:(1)在任何时刻,跑者的速度都是10米/秒;(2)这个函数图像上的任何一点的斜率都是10。这两点可以推广到变量 y 相对于变量 x 以恒定速率变化的所有线性函数。如果一个函数是 y = ax ,那么它的导数就是常数 a

正如我说过的,你不需要微积分就能知道这一切,但是对于线性函数,通过计算导数也能得到正确的结果。知道这一点也是很好的。

导数的一个更简单的例子是完全静止的跑者。这个例子太显而易见了,我们不需要任何思考,更不用说使用微积分了。假设跑者跑了10米以后就停了下来,那么此后的情形对应的函数就是 y =10。该函数的图像是一条水平直线,如图Ⅹ所示。这条直线的斜率为零,这就相当于说跑者停下来的那个点和起点之间的距离相对于时间的变化率为零。这个函数的导数为零。即使在这种极端情况下,微积分仍然适用也是令人欣慰的。一般而言,任何常数函数的导数都是零。

图Ⅹ 一个在距起点10米处静止不动的跑者的运动图像

当函数是非线性的时候,微积分就不再那么不值得一提了。考虑 y = x 2 这个简单的非线性函数,汤普森用它来开始他关于导数的那一章。对这个函数的最简单的几何解释是它表示一个正方形的面积。现在让我们看看它是如何应用于正方形的增大的。

想象有一头怪物生活在平面国 [4] ,那是一个二维平面。它出生时是一个边长为1、面积也为1的正方形,然后以稳定的速率增大。我们希望知道,在任何时刻,正方形的面积相对于边长增大的速率是多少。

这头怪物的面积当然就是其边长的平方,因此我们必须考虑的函数是 y = x 2 ,其中 y 是面积, x 是边长。(它的图像就是前面图Ⅰ中的那条抛物线的一半。)正如你将从汤普森所写的内容中学到的,这个函数的导数是2 x 。这告诉我们什么?这告诉我们,在任一给定时刻,这头怪物的面积增大的速率都等于其边长增大的速率的2 x 倍。

假设这头怪物的边长以每秒3个单位的速率增大。它的边长从1个单位开始增大,到10秒末,它的边长会达到31个单位。此时, x 的值为31。上面的导数表明,这头怪物的面积相对于边长以2 x 的速率增大,而当其边长为31个单位时,其面积相对于边长的增量为62个平方单位/单位。当正方形的边长达到100个单位时,其面积相对于边长的增量为200个平方单位/单位。

这些数表示正方形的面积相对于边长的增大率。对于正方形的面积相对于 时间 的增大率,我们还必须将这些数乘以3。因此,当正方形的边长为31个单位时(10秒后),它的面积会以每秒186个平方单位的速率增大,即3 × 2 × 31=186;当正方形的边长为100个单位时,其面积增大的速率为每秒600个平方单位,即3 × 2 × 100=600。

假设这头怪物是一个棱长为 x 的立方体,而 x 以每秒2个单位的稳定速率增大。立方体的体积 y 等于 x 3 。函数 y = x 3 的导数是3 x 2 。这告诉你,立方体体积(以立方单位为单位)增大的速率是其边长增大的速率的3 x 2 倍。因此,当立方体的棱长 x 为10个单位时,其体积相对于棱长的增量为300个立方单位/单位,即3 × 10 2 =300。它的体积增大的速率是每秒600个立方单位,即2 × 3 × 10 2 =600。

尽管汤普森避免将导数定义为比值的极限,但情况显然就是这样。举例来说,这个不断增大的正方形的边长以每秒1个单位的速率增大时,我们可以将它的面积在2秒及以后的一系列时刻的增大情况制成表格(见表Ⅱ)。

表Ⅱ 正方形的边长和面积的变化情况

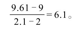
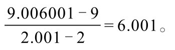
从2秒到2.1秒的平均增大速率为

从2秒到2.01秒的平均增大速率为

从2秒到2.001秒的平均增大速率为

这些平均值显然在逼近极限6。因此,面积相对于时间的导数就是一个无限的比率数列的极限,该数列收敛于6。简单地说,导数是函数的因变量相对于自变量的增大速率的增大速率。从几何角度来看,它确定了一条函数曲线上任何指定点的切线的精确斜率。导数的代数定义与几何定义之间的等价性是微积分最美妙的方面之一。

我希望这些预备知识能帮助你为学习后面的内容做好准备。


[1] 关于无穷机器,请参阅我的《轮子、生命和其他趣味数学》( Wheels,Life,and Other Mathematical Amuse‐ments, 1983年)第4章“א和超任务”(Alephs and Supertasks),以及那一章引用的参考文献。——M.G.

[2] 级数 是一个等比级数,其首项 ,公比 ,因此部分和 。——译者

[3] 假如讨论的数是 k =0. ababab …,那么100 k = ab + k ,于是有(100-1) k = ab ,即 。同理,可讨论其他情况。——译者

[4] 这一典故出自埃德温·A.阿博特的《平面国:一部多维的罗曼史(双语版)》( Flatland : A Romance of Many Dimensions ),该书首次出版于1884年,已成为科幻小说的经典之作。此书有多个中译本,近期的双语版由高等教育出版社于2022年出版,涂泓译,冯承天译校。——译者 HccRXcM9KGI5GpTbCbouhWjZxe8ojcyHwgRNrDkgbY2ufdOR7T6/ggcL7HO+sKgX

点击中间区域
呼出菜单
上一章
目录
下一章
×