购买
下载掌阅APP,畅读海量书库
立即打开
畅读海量书库
扫码下载掌阅APP

2.什么是极限

即使没有牢牢把握极限的含义,也是有可能理解微积分的,尽管这很困难。作为微分学基本概念的导数就是一个极限,作为积分学基本概念的积分也是一个极限。

为了解释极限的含义,我们在本章中只关注离散变量函数的极限,因为极限从离散的角度更容易理解。当阅读这本书后面的内容时,你会学到如何将极限概念应用于连续变量函数。这些函数被如此命名是因为它们的变量具有连续变化的实数值。离散变量函数中的变量则是从一个值跳到另一个值。还有复变量函数,其变量的取值是复数——基于-1的纯虚平方根的数。汤普森的这本书不讨论复变量函数。

数列是一组按一定顺序排列的数。这些数不必互不相同,也不必是整数。下面考虑数列1,2,3,4,…,这个数列里只有正整数。它是一个无穷数列,因为它可以一直继续下去。如果它停止了,那么它就是一个有限数列。

如果将一个数列的各相邻项用加号连接起来,那么我们就得到了一个级数。若此数列是有限的,则该级数(和式)就给出了一个有限的和;若此数列是无限的,则相加到指定项就会得到一个“部分和”。如果一个无穷级数的部分和随着项数的增加越来越接近一个数 k ,那么 k 就称为该级数的部分和的极限,或者称为该无穷级数的极限。此时,我们称该级数“收敛”到 k 。如果一个级数不收敛,那么我们就说这个级数是“发散的”。

一个无穷级数的极限有时称为它“趋于无穷时的和”,但这当然不是在项数有限的情况下通常算术意义上的和。你无法通过相加获得一个无穷级数的“和”,因为要相加的项数是无限的。当我们谈到一个无穷级数的“和”时,这只是在用一种简捷的方法来命名其极限。

无穷级数可以通过以下三种不同的方式收敛到其极限。

(1)部分和越来越接近极限而没有实际达到极限,但它们绝不会超过极限。

(2)部分和达到极限。

(3)部分和在收敛之前超过了极限。

让我们举几个例子来看看第一种和第三种方式。

公元前5世纪,古希腊哲学家爱利亚的芝诺 提出了几个著名的悖论,旨在表明运动中存在着某种极其神秘的东西。其中一个悖论是想象有一位跑者从点 A 跑到点 B 。他先跑完全程的一半,然后跑完剩余距离的一半,再跑完剩余距离的一半,以此类推。他每次跑的距离越来越短,跑过的总距离构成了一个减半级数 。随着他与点 A 之间的距离所构成的级数收敛到1,他与点 B 之间的距离则趋于其极限零。当然,这位跑者可以用一个沿着从点 A 到点 B 做直线运动的点来模拟。这位跑者会到达目的地 B 吗?

这取决于具体情况。

假设这位跑者在跑完这个级数中的每一项对应的距离之后都会停下来休息一秒。这种情况可以用一枚棋子(代表一个点)来模拟:设想将它从桌子的一边推到相对的一边。你先将棋子推到一半距离处,然后停顿一秒,再将它推到剩余距离的一半处,再停顿一秒。如果这个过程继续下去,这枚棋子(这个点)将越来越接近极限位置,但永远不会到达极限位置。

有一个基于此的老笑话。一位数学教授让一名男生待在一个空房间的一边,让一名漂亮的女生待在对面的墙边。男生得到命令后,向女生走了一半的距离,等了一秒,然后又走了剩余距离的一半,以此类推。他每次在把剩下的距离减半之前总会停顿一秒。女生说:“哈哈,你永远也到不了我这里!”男生回答道:“没错,但我可以足够接近你。”

现在假设在每一次推动棋子后不再等待一秒,而是以稳定的速度移动这枚棋子。再假设这个恒定速度能使这枚棋子在一秒内走全程的一半,在半秒内走完此时剩余距离的一半,以此类推,在这个过程中没有任何停顿。这样,一个离散的过程就转变成了一个连续的过程。两秒后,棋子就到达了桌子的另一边。如果芝诺所说的跑者以某一速度前进,那么他就会在一段有限的时间后到达目的地。以这种方式建模所构成的减半级数恰好收敛于这一极限。

芝诺所说的跑者引出了各种有趣的悖论,它们涉及所谓的“无限机器”。一个简单的例子是:一盏灯在一分钟后关闭,然后在半分钟后打开,在四分之一分钟后又关闭,以此类推,打开和关闭的时间构成一个无穷级数。这个时间级数收敛于两分钟。两分钟后,这盏灯是开着的还是关着的?这当然是一个思想实验,不能真的用一盏灯来操作,但可以用抽象的方式来回答吗?不行,因为在这个由打开和关闭的时间构成的无穷级数 [1] 中,不存在最后一次运算。这就好像在问π的最后一位数是奇数还是偶数。

要想“看到” 的极限是1,有一种简单的方法是像汤普森在第17章的图46中所做的那样,沿着一条数轴标出这些分数对应的长度。图Ⅵ中的这个被剖分的单位正方形展示了一种类似的“看了就明白”的证明,我们由此可以看出该级数收敛到1。这个级数的部分和由离散变量函数 生成 [2] ,其中 n 取整数1,2,3,4,5,…。

图Ⅵ 的一种二维的“看了就明白”的证明

我们现在看一个在最终收敛之前超过了其极限的无穷级数。将刚才那个减半数列中每间隔一项的加号改为减号,就给出了这样的一个例子: 。这个“交错级数”(alternating series)的部分和交错地大于和小于 这一极限,它们与 之差可以任意小,但每一个结束于正项的部分和都大于该极限。

当一个无穷级数逼近而永远不会达到其极限时,部分和与极限之差越来越接近零。事实上,它们如此接近,以至于你可以假设它们的差就是零。因此,正如汤普森喜欢说的那样,它们的差可以被“扔掉”。在早期的微积分书籍中,无限接近零的那些项就称为“无穷小”。这些数生活在无限接近零而不知何故又不是零的梦幻之地,它们显然有些令人毛骨悚然。例如,在那个减半级数中,那些接近零的分数永远不会变成无穷小,因为它们始终是1的一个有限部分。无穷小是1的一个无穷小部分。它比你能说出的任何有限分数都要小,但永远不会为零。它是合法的数学实体吗?应该将它从数学中驱逐出去吗?

最直率地反对无穷小的是18世纪的英国哲学家乔治·伯克利主教。他在1734年出版了一本名为《致异教徒数学家或分析家》( The Analyst,or a Dis‐course Addressed to an Infidel Mathematician )的书,在其中抨击了无穷小。那位异教徒数学家就是天文学家埃德蒙·哈雷,哈雷彗星就是以他的姓氏命名的,他还说服牛顿出版了著名的《自然哲学的数学原理》( The Principia:Mathematical Principles of Natural Philosophy )。

以下是伯克利主教对无穷小的一些抱怨。(“流数”是牛顿用来表示导数的一个术语。)

这些流数是什么?是倏逝增量的速度。这些同样的倏逝增量又是什么?它们既不是有限的量,也不是无穷小的量,但也不是无。我们能不能将它们称为已逝的量的鬼魂呢?

…………

除了上述流数外,还有其他流数,这些流数的流数称为二阶流数。而这些二阶流数的流数则称为三阶流数,以此类推,接下去还有四阶流数、五阶流数、六阶流数等,直至无穷。正如我们的感官对于那些极其微小的物体的感知十分吃力和困惑,要依靠源自感知的想象力去构建关于时间的极小量或其中产生的最小增量的清晰想法也让人感到十分吃力和困惑。更困难的是要理解瞬间,或那些处于刚开始存在的状态的流动量的增量:在它们最初起源或开始存在之后,成为有限的极小量之前。而要想象从这种新生的不完美实体中分离出来的速度,似乎就愈加困难了。但速度的速度,二阶速度、三阶速度、四阶速度和五阶速度等,如果我说得没错的话,这些都超过了所有人的理解能力。大脑越去分析和追求这些难以捉摸的想法,就越会感到迷茫和困惑。这些事物起初转瞬即逝、细微异常,很快就消失在视线之外。无疑,在任何意义上,二阶流数或三阶流数看起来都是晦涩难懂的谜。一个刚出现的速度的刚出现的速度,一个刚开始存在的增长的刚开始存在的增长,是一个没有大小的东西。不管从什么角度看,如果我没说错的话,人们会发现对它是不可能有清晰概念的。不管是不是这样,我恳求每一位有思想的读者来尝试一下。如果二阶流数是不可想象的,那么我们该怎么看待三阶流数、四阶流数、五阶流数等呢?没有尽头。

依我看来,能够理解二阶流数或三阶流数、二阶差或三阶差的人,在理解或对付神学中的论题时是不会有任何困难或异议的。

瑞士数学家约翰·伯努利 在发展微积分方面做出了开创性的工作,他清晰地表达了无穷小的悖论。他说,它们是如此微小,以至于“如果一个量增加(或减少)了一个无穷小,那么这个量没有增大(或减小)”。

在两个世纪的时间里,大多数数学家同意伯克利主教的观点,拒绝使用“无穷小”这个术语。你不会在《轻轻松松学会微积分》这本书中找到它。伯特兰·罗素 在1903年出版的《数学原理》( Principles of Mathematics )一书的第39章和第40章中对无穷小进行了有力的抨击。他称它“在数学上是无用的”“不必要的、错误的和自相矛盾的”。迟至1941年,著名数学家理查德·库朗写道:“这些无穷小的量现在被明确地、不光彩地抛弃了。”和罗素等人一样,他认为微积分应该用极限的概念来取代无穷小。

威廉·詹姆斯 的朋友、美国伟大的数学家和哲学家查尔斯·皮尔斯 对此表示强烈反对。当时,他几乎是唯一支持莱布尼茨的人。莱布尼茨认为无穷小和虚数一样真实合理。以下是皮尔斯的一些典型评论。我在皮尔斯撰写的《论文集》( Collected Papers )和《数学新元素》( New Elements of Mathematics )的各卷本的索引中查找“无穷小”时,发现了这些评论。

无穷小可能存在,并且对哲学非常重要,正如我所相信的那样。

无穷小的原理要比极限的原理简单得多。

慷慨地承认虚数,同时又将无穷小视为不能想象而加以抵制……这是自洽的吗?

从严格意义和字面意义上讲,无穷小是完全可以理解的,这与大量现代微积分教科书中的说法相反。

关于这样的一些量的想法并没有任何矛盾之处……作为一名数学家,我更喜欢无穷小的方法,而不是极限的方法,因为前者理解起来要容易得多,而且更少受到各种陷阱的滋扰。

如果皮尔斯生前能看到耶鲁大学的亚伯拉罕·鲁宾逊 的研究,他一定会感到很高兴。1960年,令世界各地的数学家感到惊讶的是,鲁宾逊找到了一种方法,将莱布尼茨的无穷小作为合法的、精确定义的数学实体重新引入!他在微积分中使用无穷小的这种方法称为“非标准分析”。(“分析”是一个应用于微积分和所有要用到微积分的高等数学的术语。)对于许多微积分问题,非标准分析给出了比标准分析更简单的解答,它无疑更接近一种解释无穷收敛级数的直观方法。鲁宾逊的成就很难在这里详细介绍,但你能在马丁·戴维斯和鲁本·赫什的《非标准分析》(Nonstandard Analysis)中找到很好的介绍。此文发表在1972年6月的《科学美国人》( Scientific American )上。

数学家和科幻作家鲁迪·鲁克在其著作《无穷与心灵》( Infinity and the Mind ,1982年)中极力捍卫无穷小:

普通人对于无穷是如此恐惧,以至于直到今天,全世界教授微积分的人都是将其作为对极限过程的研究,而不是在其真正含义——无穷小分析上进行研究。

作为一个成年后大部分时间以教授微积分课程为生的人,我可以告诉你,试图向一届又一届不理解复杂而又烦琐的极限理论的新生解释这些理论,这是多么令人感到厌倦……

但更为光明的未来还是有希望的。鲁宾逊对超实数的研究将无穷小建立在一个逻辑上无懈可击的基础之上,而基于无穷小的微积分教科书也在各地出现了。

哪一种方式更可取?是去谈论那些无穷小的量,这些量如此之小,以至于如汤普森所说,你可以“把它们扔掉”,还是去谈论那些接近某个极限的值?关于无穷小与极限这种语言之间的争论毫无意义,因为它们只是同一事物的两种说法。这就像是将三角形称为有三条边的多边形,还是称为有三个角的多边形。微分或积分的计算是完全一样的,这与你喜欢如何去描述你在做的事情无关。现在,由于有了非标准分析,无穷小又变得体面了,你只要愿意就可以毫不犹豫地使用这个术语。

你可能会认为,如果一个无穷级数的项变得越来越小,那么这个级数必定是收敛的。但是,事实绝非如此。最著名的例子是 。这个级数称为“调和级数”,它在物理学和数学中都有着无数的应用。尽管其中的分数变得越来越小,逐渐收敛到零,但它的部分和在无限增大,没有极限!这个级数的部分和的增长速度慢得令人恼火:在100项之后,它的部分和仅比5略大一点;要到10 45 项之后,它的部分和才能达到100!

如果我们在这个调和级数中去掉所有分母为偶数的项,它会收敛吗?令人惊讶的是,它也不收敛,尽管它的增长速度更慢。如果我们从这个级数中去掉分母中一次或多次包含某一特定数字的所有项,那么这个级数就会收敛了。对于每个被去掉的数字,表Ⅰ给出了该级数精确到小数点后两位的极限。

表Ⅰ 去掉有关项后调和级数的极限

无穷级数的极限可以用无限小数来表示。例如,0.333333…是级数 的极限。顺便说一下,有一种简单得不可思议的方法可以确定任何循环小数的整分数极限。这里的诀窍是:循环节(重复数字段)由几位数字构成,就将循环节除以几个9 [3] 。因此,0.3333…就简化成 。如果循环小数是0.123123123…,那么它的极限就是 ,这个分数可化简为

无理数,比如无理根以及像π和e这样的超越数 ,是许多无穷级数的极限。例如,π是像 这样高度有规律的级数的极限,数字e (你会在本书的第14章中遇到它)是 的极限。

虽然阿基米德并不知道微积分,但他计算圆周率的方法是将正多边形的周长随着其边数增加的极限作为圆的周长,这就已经蕴含了积分的思想。我们可以用无穷小的语言来这样表述:一个圆可以被视为一个具有无穷多条边的正多边形,其周长由无穷多条线段组成,每条线段的长度都是无穷小。

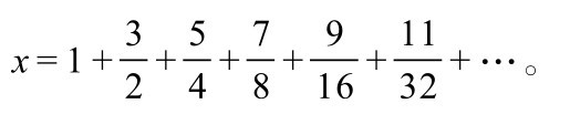
人们已经发现了许多技巧来判定一个无穷级数是收敛的还是发散的,还发现了一些在收敛时求出极限的方法,有时这些方法用起来并不容易。如果一个等比级数(每相邻两项之比不变)中的各项在减小,那么我们就很容易求出其极限。以下是求减半级数 的极限的方法。设 x 等于整个级数,即 。在该等式的两边都乘以2,有

约化各项,可得

注意,1之后的这个级数与我们取为 x 的原始减半级数相同。这样,我们就能用 x 来替换该级数,从而将上式写成2 x =1+ x 。重新整理各项,有2 x - x =1,由此得到该级数的极限 x 的值为1。

利用同样的技巧可以求出 的极限。这种方法适用于各项递减的任何等比级数。

在有关极限的文献中,关于弹跳球的题目很常见。这些题目假设一个理想的弹跳球从距离地面一定高度处掉落到坚硬的地板上。每次反弹后,它都会上升到前一次下落高度的一个恒定比例处。下面是一个典型的例子。

弹跳球从4英尺高处掉落,每次反弹后都会达到前一次下落高度的 处。当然,在实际情况下,橡胶球只能反弹有限次,但这个理想化的弹跳球能反弹无限多次。弹跳球反弹的高度逐渐逼近极限零,但由于每次反弹所用的时间也逼近极限零,因此这个弹跳球(就像芝诺所说的跑者一样)最终会到达极限位置。经过无限多次反弹之后,它会在一段有限的时间后停下来。在这个弹跳球停止反弹前,它所经过的距离一共是多少?

我们可以再次利用刚才用于计算减半级数极限的那种技巧,暂时只考虑弹跳球最初下落4英尺以后第一次反弹的情况:弹跳球会上升3英尺,然后下落3英尺,这样它经过的距离总共为6英尺。此后每次反弹(上升加下落)的距离都是前一次反弹距离的 。设 x 为弹跳球第一次下落4英尺以后经过的总距离,我们写出等式:

约化这些分数,可得

由于每一项都是其后一项的 ,我们在上式两边同时乘以 ,得到

注意,在8之后,这个级数与 x 是相同的,因此我们可以用 x 来替换它,则有

=8+ x

4 x =24+3 x

x =24(英尺)。

这是弹跳球在最初下落4英尺以后多次反弹经过的距离,因此这个弹跳球经过的总距离为24+4=28(英尺)。

美国伟大的益智题设计大师萨姆·劳埃德在他的《世界经典智力游戏》( Cyclopedia of Puzzles 中以及他的英国同行亨利·欧内斯特·杜德尼在《益智题与奇趣题》( Puzzles and Curious Problems )第223题中各自给出了下面这道关于球反弹的题目。一个球从比萨斜塔的179英尺高处下落(见图Ⅶ),每次反弹的高度是上一次下落高度的 。这个球经过无限次反弹,在最终停止之前会经过多长距离?

图Ⅶ 弹跳球益智题

我们可以利用前面用过的那种技巧来解答此题,但因为每次反弹的高度都是上一次下落高度的 ,所以我们可以采用一种更快捷的方法找到答案。

在最初下落179英尺之后,第一次反弹的高度是17.9英尺。随后各次反弹的高度分别为1.79英尺,0.179英尺,0.0179英尺,以此类推。将这些数相加,得到总和为19.8888…英尺。我们现在将这个距离加倍,就得到各次反弹后上升和下落的距离之和为39.7777…英尺。最后,我们加上最初下落的179英尺,就得到这个球经过的总距离为218.7777…英尺,或者说是 英尺。

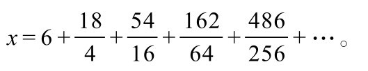
对于不按等比级数方式递减的收敛级数,常常可以利用另外一些巧妙的方法来求其极限。下面有一个有趣的例子:

注意,此级数中各分数的分子构成了一个奇数数列,而分母则构成了一个加倍数列。这里用一种简单的方法来求出它的极限。

首先将每一项都除以2,则有

用原级数减去这个级数,可得

注意,在括号内的1之后,接下去的级数就是我们的老朋友减半级数了,我们知道它收敛于1。用上式中右边的第一个1加上括号里的运算结果2,得到3。由于3是 x 的一半, x 就必定是6,即原级数的极限为6。

汤普森没有花费太多时间讨论级数及其极限。我在这里讨论这些出于两个原因:其一,这是我们适应极限概念的最佳方式;其二,当前的微积分教科书通常都有一些章节论述无穷级数及其在微积分的许多方面的应用。 AibMo75UvY4E/SM3E7ev6UUWSnM24lqBGhTfl1zAC4XgyHqDLMy9Q2mqnUIJy75i

点击中间区域
呼出菜单
上一章
目录
下一章
×