



NumPy数组也可以用作矩阵,这是数学和计算编程的基础。简单地说, 矩阵 就是一个二维数组。矩阵在许多应用中都是核心,如几何变换和联立方程,而在统计学等其他领域也作为有用的工具出现。与其他数组相比,矩阵本身只有在我们为其赋予矩阵算术运算时才是独特的。矩阵具有元素级的加法和减法运算,就像NumPy数组一样。还有一种称为标量乘法的第三种运算,就是将矩阵的每个元素乘以一个常数,它是一种不同的矩阵乘法概念。我们将在后面看到,矩阵乘法与其他乘法概念有着根本的不同。
矩阵最重要的属性之一是其形状,其定义与NumPy数组完全相同。通常具有 m 行和 n 列的矩阵被描述为 m × n 矩阵。行数与列数相同的矩阵称为方阵,这些矩阵在向量和矩阵理论中起着特殊的作用。
单位矩阵 (大小为 n )是一个 n × n 矩阵,其中( i , i )位置上的元素为1,当 i ≠ j 时,( i , j )位置上的元素为零。下面的数组创建例程可以通过指定 n 的值来生成 n × n 单位矩阵:
顾名思义,单位矩阵是一个特殊的矩阵,具有如下性质:任何矩阵与单位矩阵相乘等于其本身、两个逆矩阵的乘积为单位矩阵等。
与单位矩阵相关的术语和量有很多。我们在这里只介绍两个性质,因为稍后会用到它们。这两个性质分别是矩阵的转置(transpose)和方阵的迹(trace)。其中矩阵转置表示行和列互换;迹是方阵主对角线的元素之和,主对角线由元素 a i,i 构成,即沿矩阵左上角到右下角的对角线上的元素。
NumPy数组可以通过在array对象上调用transpose方法轻松地进行转置。事实上,由于这是一种常见的操作,数组还有一个便捷的属性T,它也返回矩阵的转置。转置将矩阵(数组)的形状顺序颠倒,使得行变为列,列变为行。例如,如果我们有一个3×2矩阵(3行,2列),那么它的转置将是一个2×3矩阵,如下例所示:
注意
transpose函数实际上并不修改底层数组中的数据,而是改变数组的形状和内部标志,该标志表示存储数值的顺序是行连续(C风格)还是列连续(F风格)。这使得操作成本非常低。
与矩阵相关的另一个有用的量是迹。如前面的代码所示,方阵 A 的迹被定义为沿矩阵左上角到右下角主对角线上的元素之和。迹的公式如下所示:
NumPy数组有一个trace方法,可以返回矩阵的迹:
也可以使用np.trace函数获取迹,该函数并不是数组的绑定操作。
矩阵乘法是对两个矩阵执行的运算,它保留了两个矩阵的一些结构和特性。形式上,假设我们有如下 l × m 矩阵 A 和 m × n 矩阵 B 两个矩阵:
矩阵 A 和 B 的矩阵积 C 是一个 l × n 矩阵,其( p , q )项由以下方程给出:
注意,为了定义两个矩阵的乘法,第一个矩阵的列数必须与第二个矩阵的行数相匹配。通常,我们用 AB 表示矩阵 A 和 B 的乘积(如果根据定义它们能够相乘的话)。矩阵乘法是一种特殊的运算,它不像大多数其他算术运算那样满足交换律:即使 AB 和 BA 都可以计算,它们也不一定相等。在实践中,这意味着矩阵乘法的顺序很重要。这源于矩阵代数作为线性映射表示的起源,其中乘法对应于函数的组合。
Python有一个为矩阵乘法保留的运算符@,它是在Python 3.5中新添加的。NumPy数组应用该运算符能够实现矩阵乘法。请注意,@与数组的逐元素乘法运算符*有本质区别:
单位矩阵是矩阵乘法的中性元素。也就是说,如果 A 是任意 k × m 矩阵,而 I 是 m × m 单位矩阵,那么 AI = A ;同样,如果 B 是 m × k 矩阵,那么 IB = B 。使用NumPy数组可以很容易地检验特定示例:
可以看出,输出的结果矩阵等于原始矩阵。如果我们颠倒 A 和 I 的顺序并执行乘法 IA ,结果也是相同的。在1.5.3节中,我们将讨论矩阵的逆:若矩阵 B 与矩阵 A 相乘得到单位矩阵,则称矩阵 B 是 A 的逆矩阵。
方阵的行列式在很多应用中都很重要,因为它与求解矩阵的逆有着紧密的联系。如果矩阵的行数和列数相等,则它是一个方阵。特别地,具有非零行列式的矩阵有一个(唯一的)逆矩阵,这可以转化为某些方程组的唯一解。矩阵的行列式是通过递归定义的。假设我们有一个通用的2×2矩阵,如下所示:
这个通用矩阵 A 的行列式由以下公式定义:
对于一般的 n × n 矩阵,其中 n >2,我们通过递归的形式定义行列式。对于1≤ i , j ≤ n , A 的第 i 个0子矩阵 A i,j 是从矩阵 A 中删除第 i 行和第 j 列后的结果。子矩阵 A i,j 是( n -1)×( n -1)矩阵,因此我们可以计算它的行列式。然后,我们将以下量定义为 A 的行列式:
实际上,上述方程中出现的索引1可以替换为任意1≤ i ≤ n ,结果是相同的。
在NumPy中,用于计算行列式的例程位于名为linalg的独立模块中。该模块包含许多线性代数(涵盖向量和矩阵代数的数学分支)的常用函数。用于计算方阵行列式的具体例程为det:
请注意,在计算行列式时出现了浮点舍入误差。
如果安装了SciPy包,它也提供了一个linalg模块,该模块扩展了NumPy的linalg。SciPy版本的linalg模块不仅包括额外的例程,而且它在编译时始终支持 基础线性代数子程序包 (BLAS)和 线性代数包 (LAPACK),而它们在NumPy版本中则是可选的。因此,如果更注重速度,根据NumPy的编译方式,使用SciPy版本可能更好。
n × n 矩阵 A 的 逆矩阵 是另一个(必然唯一的) n × n 矩阵 B ,使得 AB = BA = I ,其中 I 表示 n × n 单位矩阵,这里的乘法是矩阵乘法。并不是每个方阵都有逆矩阵,那些没有逆矩阵的矩阵有时被称为 奇异矩阵 。事实上,当且仅当一个矩阵的行列式不为0时,该矩阵才是非奇异的(即具有逆矩阵)。当 A 有逆矩阵时,它的逆矩阵通常用 A -1 表示。
用linalg模块中的inv例程可以计算矩阵的逆(如果存在):
将矩阵 A 乘以其逆矩阵(在任一侧)得到的结果是2×2单位矩阵,依据这一事实我们可以验证inv例程给出的矩阵确实是 A 的逆矩阵:
由于计算逆矩阵的方式不同,在这些计算中会出现浮点误差,这些误差已经隐藏在以“Approximately”(约等于)开头的注释后面。
linalg包还包含许多其他方法,如用于计算矩阵各种范数的norm方法。它还包括以各种方式分解矩阵和求解方程组的函数。
除此之外,它还包含用于矩阵运算的指数函数expm、对数函数logm、正弦函数sinm、余弦函数cosm和正切函数tanm。请注意,这些函数与NumPy基本包中的标准exp、log、sin、cos和tan函数不同,后者是按逐元素方式执行相应函数的。相反,矩阵指数函数是使用矩阵的幂级数定义的:
这是对任意 n × n 矩阵 A 定义的,其中 A k 表示 A 的 k 次矩阵幂,即 A 矩阵连乘自己 k 次。请注意,这个“幂级数”总是在适当的意义上收敛。按照惯例,我们取 A 0 = I ,其中 I 是 n × n 单位矩阵。这完全类似于实数或复数的指数函数的常规幂级数定义,但用矩阵和矩阵乘法代替了数字和常规乘法。其他函数以类似的方式定义,但我们将略过这些详细信息。
在1.5.4节中,我们将看到矩阵及其理论在求解方程组领域的应用。
求解线性方程组是数学中研究矩阵的主要动机之一,这类问题在各种应用中频繁出现。我们从如下线性方程组开始:
这里, n 至少为2, a i,j 和 b i 是已知量, x i 是我们希望求解的未知数。
在求解这样的方程组之前,我们需要将问题转化为矩阵方程。这是通过将方程中的系数 a i,j 收集到一个 n × n 矩阵中,并利用矩阵乘法的性质将这个矩阵与方程组关联起来来实现的。因此,我们构造以下矩阵,矩阵元素为方程的系数:
然后,如果我们将 x 定义为包含 x i 值的未知(列)向量,将 b 定义为包含 b i 值的已知(列)向量,那么我们可以将方程组重写为以下单矩阵方程:
我们现在可以使用矩阵技术来求解这个矩阵方程。在这种情况下,我们将列向量视为 n ×1矩阵,因此上述方程中的乘法是矩阵乘法。为了求解该矩阵方程,我们使用linalg模块中的solve例程。为了说明该技术,我们将以求解以下方程组为例:
这个方程组有三个未知量: x 1 、 x 2 和 x 3 。首先,我们创建系数矩阵和向量 b 。由于我们使用NumPy来处理矩阵和向量,我们为矩阵 A 创建一个二维NumPy数组,并为 b 创建一个一维数组:
现在,可以使用linalg.solve例程求出方程组的解:
这确实是方程组的解,可以通过计算A@x并将结果与b数组进行比较来轻松验证。在这个计算中可能存在浮点舍入误差。
solve例程需要两个输入,即系数矩阵 A 和等式右侧的向量 b 。它使用的例程将矩阵 A 分解为更简单的矩阵,从而快速将问题简化为可通过简单替换求解的形式。这种求解矩阵方程的技术非常强大和高效,而且不太容易出现困扰其他方法的浮点舍入误差。例如,如果矩阵的逆是已知的,那么可以通过左乘 A 的逆矩阵来计算方程组的解。然而,这通常不如使用solve例程效果好,因为它可能更慢或者会导致更大的数值误差。
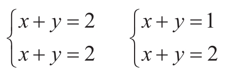
在我们使用的例子中,系数矩阵 A 是方阵。也就是说,方程的数量与未知数的数量相同。在这种情况下,当且仅当矩阵 A 的行列式不为0时,方程组才有唯一解。当 A 的行列式为0时,可能发生两种情况:一是方程组没有解,这时我们说方程组是不相容的;二是方程组可能有无穷多个解。方程组是相容还是不相容通常由向量 b 决定。例如,考虑以下方程组:
左边的方程组是相容的,并且有无穷多个解:例如,取 x =1和 y =1,或者取 x =0和 y =2都是解。右边的方程组是不相容的,没有解。在这两个方程组中,solve例程都会失败,因为系数矩阵是奇异的。
求解方程组时,不一定要求系数矩阵为方阵——例如,如果方程的数量多于未知数的数量(系数矩阵的行数多于列数)。这样的方程组称为“超定方程组”,只要它是相容的,就会有解。如果方程的数量少于未知数的数量,则称该方程组为“欠定方程组”。欠定方程组没有足够的信息来唯一确定所有的未知数,因此如果它是相容的,它通常有无穷多个解。遗憾的是,对于系数矩阵不是方阵的方程组,即使方程组确实有解,solve例程也无法找到解。
在1.5.5节中,我们将讨论特征值和特征向量,与你在前面看到的类似,它们是通过观察一种非常特殊的矩阵方程产生的。
考虑矩阵方程 Ax = λ x ,其中 A 是一个 n × n 方阵, x 是一个向量, λ 是一个系数。若存在 x 是此方程的解,则称 λ 为 A 的特征值,对应的向量 x 称为特征向量。特征值和对应的特征向量对矩阵 A 的信息进行编码,因此在许多涉及矩阵的应用中非常重要。
我们使用以下矩阵演示如何计算特征值和特征向量:
我们首先需要将其定义为NumPy数组:
linalg模块中的eig例程可以用来找到方阵的特征值和特征向量。该函数返回一个二元组(v,B),其中v是包含特征值的一维数组,B是一个二维数组,其列是相应的特征向量:
只有实数元素的矩阵完全可能具有复特征值和特征向量。因此,eig例程的返回类型有时会是复数类型,如complex32或complex64。在某些应用中,复特征值具有特殊含义,而在其他情况下,我们只考虑实特征值。
我们可以使用以下序列从eig例程的输出结果中提取特征值和特征向量:
eig例程返回的特征向量已经被归一化,使得它们的范数(长度)为1。(欧氏范数被定义为数组元素平方和的平方根。)我们可以通过使用linalg模块中的norm例程计算特征向量的范数来验证这一点:
最后,我们可以通过计算A @ x0,并检查它是否在浮点精度范围内等于lamb-da0*x0,来验证这些值确实满足特征值和特征向量的定义:
这里计算得到的范数表示方程 Ax = λ x 的左侧(lhs)和右侧(rhs)之间的距离。由于这个距离非常小(小数点后14位为零),我们可以相当确信它们实际上是相同的。事实上,这种距离不为零可能是由于浮点精度误差引起的。
求特征值和特征向量的理论过程是先通过解以下方程来求特征值 λ :
这里, I 是适当的单位矩阵。左侧确定的方程是关于 λ 的多项式,称为矩阵 A 的特征多项式。然后,可以通过求解以下矩阵方程来求出与特征值 λ i 相对应的特征向量:
在实践中,这个过程效率有些低,还有其他策略可以更高效地通过数值计算求得特征值和特征向量。
我们只能计算方阵的特征值和特征向量,对于不是方阵的矩阵,这个定义没有意义。有一种称为奇异值的概念可以将特征值和特征向量推广到非方阵。为了做到这一点,我们必须做出的权衡是,我们必须计算两个向量 u 和 v 以及奇异值 σ ,然后求解以下方程:
如果 A 是 m × n 矩阵,那么 u 将有 n 个元素, v 将有 m 个元素。有趣的是, u 向量实际上是对称矩阵 A T A 的(正交归一化的)特征向量,其特征值为 σ 2 。根据这些值,我们可以利用之前的定义方程求出 v 向量。这将产生所有有趣的组合,但还有其他的向量 u 和 v ,使得 Au =0和 A T v =0。
奇异值及对应向量的效用来自 奇异值分解 (SVD),它将矩阵 A 写成以下乘积形式:
这里, U 为正交列, V 为正交行, Σ 为对角矩阵,通常的写法是数值沿主对角线递减。我们可以用稍微不同的方式写出这个公式,如下所示:
这就是说,任何矩阵都可以分解成外积的加权和——假设 u 和 v 是 n 行1列的矩阵,然后将 u 与向量 v 的转置进行矩阵乘法。
一旦完成了这种分解,我们就可以寻找特别小的 σ 值,这些值对矩阵贡献很小。如果我们放弃具有小 σ 值的项,那么我们就可以用更简单的表示法来有效地近似原始矩阵。这种技术在 主成分分析 (PCA)中得到了应用——例如,将复杂的高维数据集简化为对数据整体特征贡献最大的几个分量。
在Python中,我们可以使用linalg.svd函数来计算矩阵的SVD。该函数的工作方式与之前描述的eig例程类似,只是它返回的是分解后的三个分量:
该函数返回的数组形状分别为(2, 2)、(2,)和(4, 4)。顾名思义,U矩阵和VT矩阵是分解中出现的矩阵,而s是包含非零奇异值的一维向量。我们可以通过重构 Σ 矩阵并计算三个矩阵的乘积来检查分解是否正确:
请注意,除了矩阵的第一个元素外,矩阵几乎完全被重构了。左上角元素的值非常接近零——在浮点误差范围内可以被视为零。
我们构建矩阵 Σ 的方法相当不方便。SciPy版本的linalg模块包含一个特殊例程linalg.diagsvd,用于从一维奇异值数组重构该矩阵。该函数获取奇异值数组s和原始矩阵的形状,并构建具有适当形状的矩阵 Σ :
(回想一下,SciPy软件包是以别名sp导入的。)现在,让我们改变一下方向,看看如何更有效地描述大多数元素都为零的矩阵,这就是所谓的稀疏矩阵。
前面所讨论的线性方程组,在整个数学领域,特别是在数学计算中是非常常见的。在许多应用中,系数矩阵可能会非常庞大,具有成千上万的行和列,并且很可能来自其他来源而不是简单地手动输入。在许多情况下,这也可能是一个稀疏矩阵,其中大多数元素为0。
如果一个矩阵有大量元素为零,则这个矩阵称为 稀疏矩阵 。矩阵有多少个元素为零才能称为稀疏矩阵,这并没有确切的定义。稀疏矩阵可以通过更高效的表示方式来存储,例如,只存储非零元素的索引( i , j )和相应的值 a i,j 。对于稀疏矩阵,有一整套专门的算法集合,可以在矩阵足够稀疏的情况下显著提高性能。
稀疏矩阵出现在许多应用中,并且通常遵循某种模式。特别是,求解 偏微分方程 (PDE)的几种技术都涉及求解稀疏矩阵方程(参见第3章),与网络相关的矩阵通常也是稀疏的。在sparse.csgraph模块中包含了与网络(图)相关的稀疏矩阵的附加例程。我们将在第5章中进一步讨论这些内容。
sparse模块包含几个不同的类,表示存储稀疏矩阵的不同方法。存储稀疏矩阵最基本的方法是存储三个数组,其中两个数组包含表示非零元素索引的整数,第三个数组包含相应的元素数据,这是coo_matrix类的格式。此外,还有 压缩稀疏列 格式(CSC,使用csc_matrix实现)和 压缩稀疏行 格式(CSR,使用csr_matrix实现),分别提供高效的列切片或行切片。在sparse模块中还有三个额外的稀疏矩阵类,包括dia_matrix类,它可以高效地存储非零元素沿对角线带出现的矩阵。
SciPy的sparse模块包含用于创建和处理稀疏矩阵的例程。我们使用以下导入语句从SciPy导入sparse模块:
稀疏矩阵可以由满矩阵(稠密矩阵)或其他类型的数据结构创建。这是使用特定格式(你希望使用这样的格式存储稀疏矩阵)的构造函数来完成的。
例如,我们可以使用以下命令将稠密矩阵存储为CSR格式:
如果手动生成稀疏矩阵,则该矩阵可能遵循某种模式,例如以下三对角矩阵:
这里,非零元素出现在对角线上以及对角线的两侧,并且每行的非零元素遵循相同的模式。要创建这样的矩阵,我们可以使用sparse中的一个数组创建例程,例如diags,这是一个创建具有对角线模式的矩阵的便捷例程:
这将创建一个如前所述的矩阵 T ,并将其存储为CSR格式的稀疏矩阵。第一个参数指定应出现在输出矩阵中的值,第二个参数是放置数值时相对于对角线的位置。因此,元组中的索引0表示对角线元素,-1表示在行中的对角线左侧,+1表示在行中的对角线右侧。shape关键字参数给出了所生成矩阵的维度,format指定了矩阵的存储格式。如果没有使用可选参数来设置格式,则将使用合理的默认值。可以使用toarray方法将数组T扩展为满矩阵(稠密矩阵):
当矩阵很小时(如这里所示),稀疏矩阵求解函数与常规的求解函数之间的性能几乎没有差异。
一旦将矩阵以稀疏格式存储,我们就可以使用linalg中的子模块sparse求解例程。例如,我们可以使用此模块中的spsolve例程来求解矩阵方程。如果矩阵不是以稀疏格式提供的,spsolve例程会将矩阵转换为CSR或CSC格式,这可能会增加计算时间:
sparse.linalg模块还包含许多可以在NumPy(或SciPy)的linalg模块中找到的函数,这些函数接受稀疏矩阵而不是完整的NumPy数组,例如eig和inv。
至此,我们对Python及其生态系统中可用的基本数学工具的介绍就结束了。让我们总结一下我们所学到的内容。