



(1)波源轴线上声压分布 在不考虑介质衰减的条件下,图1-56所示的液体介质中圆盘源上一点波源 d s 辐射的球面波在波源轴线上 Q 点引起的声压为
式中 P 0 ——波源的起始声压;
d s ——点波源的面积;
λ ——波长;
r ——点波源至 Q 点的距离;
k ——波数, k = ω / c =2π/ λ ;
ω ——圆频率, ω =2π f ;
t ——时间。
图1-56 圆盘波源轴线上声压推导
根据波的叠加原理,作活塞振动的圆盘波源各点波源在轴线上 Q 点引起的声压可以线性叠加,就可以得到波源轴线上的任意一点声压幅值为
式中 R s ——波源半径;
x ——轴线上 Q 点至波源的距离。
上述声压公式比较复杂,使用不便,特作如下简化。
当 x ≥2 R s 时,式(1-58)可简化为
当
时,根据sin
θ
=
θ
(
θ
很小时)上式可简化为
式中
F
s
——波源面积,
。
式(1-60)表明,当 x ≥3 N 时,圆盘波源轴线上的声压与距离成反比,与波源面积成正比。波源轴线上的声压随距离变化的情况如图1-57所示。
图1-57 圆盘波源轴线上声压分布曲线
1)近场区。波源附近由于波的干涉而出现一系列声压极大极小值的区域,称为超声场的近场区,又叫菲涅耳区。近场区声压分布不均,是由于波源各点至轴线上某点的距离不同,存在波程差,互相叠加时存在相位差而互相干涉,使某些地方声压互相加强,另一些地方互相减弱,于是就出现声压极大极小值的点。
波源轴线上最后一个声压极大值至波源的距离称为近场区长度,用 N 表示。
当
时,声压
P
有极大值,化简得极大值
s
所对应的距离为
式中, n =0,1,2,3,…,<( D s -λ )/2 λ 的正整数,共有 n +1个极大值,其中 n =0为最后一个极大值。
因此近场长度为
当
时,声压
P
有极小值,化简得极小值对应的距离为
式中, n =0,1,2,3,…,< D s /2 λ 的正整数,共有 n 个极小值。
由式(1-62)可知,近场区长度与波源面积成正比,与波长成反比。
在近场区检测定量是不利的,处于声压极小值处的较大缺陷回波可能较低,而处于声压极大值处的较小缺陷回波可能较高,这样就容易引起误判,甚至漏检,因此应尽可能避免在近场区检测定量。
2)远场区。波源轴线上至波源的距离 x > N 的区域称为远场区,又叫夫琅和费区。远场区轴线上的声压随距离增加单调减少。当 x >3 N 时,声压与距离成反比,近似球面波的规律, P = P 0 F S / λx 。这是因为距离 x 足够大时,波源各点至轴线上某一点的波程差很小,引起的相位差也很小,这样干涉现象可略去不计。所以远场区轴线上不会出现声压极大极小值。
(2)超声场横截面声压分布 超声场近场区与远场区各横截面上的声压分布是不同的,如图1-58~图1-60所示。
图1-58 圆盘波源( D / λ =16)近场中在 x =0、 N /2、 N 横截面上声压的分布
图1-59 圆盘波源( D / λ =16)近场中在 x = N 、3 N 、6 N 横截面上声压的分布
图1-60 圆盘波源声场声压沿轴线和横截面分布
在 x < N 的近场区内,存在中心轴线上声压为0的截面,如 x =0.5 N 的截面,中心声压为0,偏离中心声压较高。在 x ≥ N 的远场区内,轴线上的声压最高,偏离中心声压逐渐降低,且同一横截面上声压的分布是完全对称的。实际检测中,测定探头波束轴线的偏离和横波斜探头的 K 值时,规定要在2 N 以外进行就是这个原因。
(3)波束指向性和半扩散角 至波源充分远处任意一点的声压如图1-61所示。点波源 d s 在至波源距离充分远处任意一点 M ( r , θ )处引起的声压为
图1-61 远场中任意一点声压推导
整个圆盘波源在点 M ( r , θ )处引起的总声压幅值为
式中 r ——点 M ( r , θ )至波源中心的距离;
θ——r 与波源轴线的夹角;
J 1 ——第一阶贝塞尔函数。
波源前充分远处任意一点的声压 P ( r , θ )与波源轴线上同距离处声压 P ( r ,0)之比。称为指向性系数,用 D c 表示。
令 y = kR s sin θ ,则
由图1-62可知:
1) D c = P ( r , θ )/ P ( r ,0)≤l。这说明超声场中至波源充分远处同一横截面上各点的声压是不同的,以轴线上的声压为最高。实际检测中,只有当波束轴线垂直于缺陷时,缺陷回波最高就是这个原因。
图1-62 圆盘波源波束指向性
2)当 y = kR s sin θ =3.83,7.02,10.17,……时, D c = P ( r , θ )/ P ( r ,0)=0,即 P ( r , θ )=0。这说明圆盘波源辐射的纵波声场中存在一些声压为零的圆锥面。由 y = kR S sin θ =3.83得
式中 θ 0 ——圆盘波源辐射的纵波声场的第一零值发散角,又称半扩散角。
此外对应于 y =7.02,10.17,…的发散角称为第二、三、…零值发散角。
3)当 y >3.83,即 θ > θ 0 时,| D c |<0.15。这说明半扩散角 θ 0 以外的声场声压很低,超声波的能量主要集中在半扩散角 θ 0 以内。因此可以认为半扩散角限制了波束的范围。2 θ 0 以内的波束称为主波束,只有当缺陷位于主波束范围时,才容易被发现。以确定的扩散角向固定的方向辐射超声波的特性称为波束指向性。
由于超声波主波束以外的能量很低和介质对超声波的衰减作用,使第一零值发射角以外的波束只能在波源附近传播,因此在波源附近形成一些副瓣。
由
θ
0
=70
λ
/
D
s
,可知,增加探头直径
D
s
,提高检测频率
f
,半扩散角
θ
0
将减小,即可以改善波束指向性,使超声波的能量更集中,有利于提高检测灵敏度。但由
可知,增大
D
s
和
f
,近场区长度
N
增加,对检测不利。因此在实际检测中要综合考虑
D
s
和
f
对
θ
0
及
N
的影响,合理选择
D
s
和
f
,一般是在保证检测灵敏度的前提下尽可能减少近场区长度。
(4)波束未扩散区与扩散区 超声波波源辐射的超声波是以特定的角度向外扩散出去的,但并不是从波源开始扩散的,而是在波源附近存在一个未扩散区 b ,其理想化的形状如图1-63所示。
图1-63 圆盘理想化声场中的波束未扩散区和扩散区
由
得
在波束未扩散区 b 内,波束不扩散,不存在扩散衰减,各截面平均声压基本相同,因此薄板试块前几次底波相差无几。到波源的距离 x > b 的区域称为扩散区,扩散区内波束因扩散而衰减。
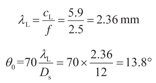
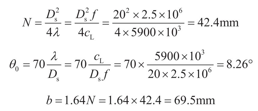
下面举例说明近场区长度 N 、半扩散角 θ 0 、未扩散区长度 b 的计算。
例题
若用 f =2.5MHz, D s =20mm的探头探测波速 c L =5900m/s的钢工件,那么 N 、 θ 0 和 b 分别为
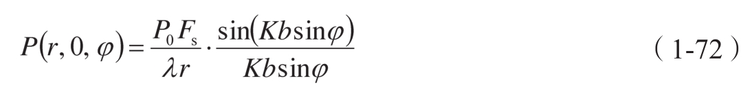
如图1-64所示,矩形波源作活塞振动时,在液体介质中辐射的纵波声场同样存在近场区和未扩散角。近场区内声压分布复杂,理论计算困难。远场区声源轴线上任意一点 Q 处的声压用液体介质中的声场理论可以导出,其计算公式为
式中 F s ——矩形波源面积, F s =4 ab 。
图1-64 矩形波源声场的坐标系数
当 θ = φ =0°时,由式(1-70)得远场轴线上某点的声压为
当 θ =0°时,则式(1-70)得 YOZ 平面内远场某点的声压为
这时在 YOZ 平面内的指向性系数 D r 为
由式(1-73)得 D r -y 的关系曲线如图1-65所示。由图1-65可知,当 y = kb sin φ =π时, D r =0。这时对应的 YOZ 平面内半扩散角 θ 0 为
图1-65 矩形波源 D r -y 关系曲线
同理可导出 XOZ 平面内的半扩散角 θ 0 为
由以上论述可知,矩形波源辐射的纵波声场与圆盘源不同,矩形波源有两个不同的半扩散角,其声场为矩形,如图1-66所示。
图1-66 矩形波源声场
矩形波源的近场区长度为
公式
只适用均匀介质。实际检测中,有时近场区分布在两种不同的介质中,如图1-67所示的水浸检测,超声波是先进入水,然后再进入钢中。当水层厚度较小时,近场区就会分布在水、钢两种介质中,设水层厚度为
L
,则钢中剩余近场区长度
N
为
式中 N 2 ——介质Ⅱ钢中近场长度;
c 1 ——介质Ⅰ水中波速;
c 2 ——介质Ⅱ钢中波速;
λ 2 ——介质Ⅱ钢中波长。
图1-67 近场区在两种介质中的分布
例题
用2.5MHz、 ϕ 14mm纵波直探头水浸检测钢板,已知水层厚度为20mm,钢中 c 2 =5900mm/s,水中 c 1 =1480m/s。求钢中近场区长度 N 。
解: 钢中纵波波长为
钢中近场区长度为
以上讨论的是液体介质,波源作活塞振动,辐射连续波等理想条件下的声场,简称理想声场。实际检测往往是固体介质,波源非均匀激发,辐射脉冲波声场,简称实际声场。它与理想声场是不完全相同的,如图1-68所示。
由图1-68可知,实际声场与理想声场在远场区轴线上声压分布基本一致。这是因为,当至波源的距离足够远时,波源各点至轴线上某点的波程差明显减少,从而使波的干涉大大减弱,甚至不产生干涉。
图1-68 实际声场与理想声场声压比较
但在近场区内,实际声场与理想声场存在明显区别。理想声场轴线上声压存在一系列极大极小值,且极大值为2 P 0 ,极小值为零。实际声场轴线上声压虽然也存在极大极小值,但波动幅度小,极大值远小于2 P 0 ,极小值也远大于零,同时极值点的数量明显减少。这可以从以下几方面来分析其原因。
1)近场区出现声压极值点是由于波的干涉造成的。理想声场是连续波,波源各点辐射的声波在声场中某点产生完全干涉。实际声场是脉冲波,脉冲波持续时间很短,波源各点辐射的声波在声场中某点产生不完全干涉或不产生干涉,从而使实际声场近场区轴线上声压变化幅度小于理想声场,极值点减少。
2)根据傅里叶级数,脉冲波可以视为常数项和无限个 n 倍基频的正弦波、余弦波之和,设脉冲波函数为 f ( t ),则
式中 t ——时间;
n ——正整数,l,2,3……;
ω ——圆频率, ω =2π f =2π/ T ;
a 0 、 a n 、 b n ——由 f ( t )决定的常数。
由于脉冲波是由许多不同频率的正弦波、余弦波所组成,又每种频率的波决定一个声场,因此总声场就是各不同声场的叠加。
由
可知,波源轴线上的声压极值点位置随波长
λ
而变化。不同
f
的声场极值点不同,它们互相叠加后总声压就趋于均匀,使近场区声压分布不均的情况得到改善。
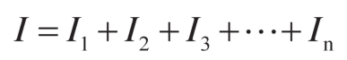
脉冲波声场某点的声压可用下述方法求得。设声场中某处的总声强为 I ,则
即
所以超声场中该处的总声压 P 为
式中 I n ——频率为 f n 的谐波引起的声强;
P n ——频率为 f n 的谐波引起的声压。
3)实际声场的波源是非均匀激发,波源中心振幅大,边缘振幅小。由于波源边缘引起的波程差较大,对干涉影响也较大。因此这种非均匀激发的实际波源产生的干涉要小于均匀激发的理想波源。当波源的激发强度按高斯曲线变化时,近场区轴线上的声压将不会出现极大极小值,这就是高斯探头的优越性。
4)理想声场是针对液体介质而言的,而实际检测对象往往是固体介质。在液体介质中,液体内某点的压强在各个方向上的大小是相同的。波源各点在液体中某点引起的声压可视为同方向而进行线性叠加。在固体介质中,波源某点在固体中某点引起的声压方向在二者连线上。对于波源轴线上的点,由于对称性,使垂直于轴线方向的声压分量互相抵消,使轴线方向的声压分量互相叠加。显然这种叠加干涉要小于液体介质中的叠加干涉,这也是实际声场近场区轴线上声压分布较均匀的一个原因。
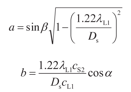
目前常用的横波探头,是使纵波倾斜入射到界面上,通过波形转换来实现横波检测的。当 α L = α I ~ α Ⅱ 时,纵波全反射,第二介质中只有折射横波。
横波探头辐射的声场由第一介质中的纵波声场与第二介质中的横波声场两部分组成,两部分声场是折断的,如图1-69所示,为了便于理解计算,特将第一介质中的纵波波源转换为轴线与第二介质中横波波束轴线重合的假想横波波源,这时整个声场可视为由假想横波波源辐射出来的连续的横波声场。
当实际波源为圆形时,其假想横波波源为椭圆形,椭圆的长轴等于实际波源的直径
D
s
,短轴
为
式中 β ——横波折射角;
α ——纵波入射角。
图1-69 横波声场
(1)波束轴线上的声压 横波声场一样由于波的干涉存在近场区和远场区。当 x ≥3 N 时,横波声场波束轴线上的声压为
式中 K ——系数;
F s ——波源的面积;
λ S2 ——第二介质中横波波长;
x ——轴线上某点至假想波源的距离。
由以上公式可知,横波声场中,当 x ≥3 N 时,波束轴线上的声压与波源面积成正比,与至假想波源的距离成反比,类似纵波声场。
(2)近场区长度 横波声场近场区长度为
式中 N ——近场区长度,由假想波源 O ′算起。
由以上公式可知,横波声场的近场区长度和纵波声场一样,与波长成反比,与波源面积成正比。在横波声场中,第二介质中的近场区长度 N ′为
式中 F s ——波源面积;
λ S2 ——介质Ⅱ中横波波长;
L 1 ——入射点至波源的距离;
L 2 ——入射点至假想波源的距离。
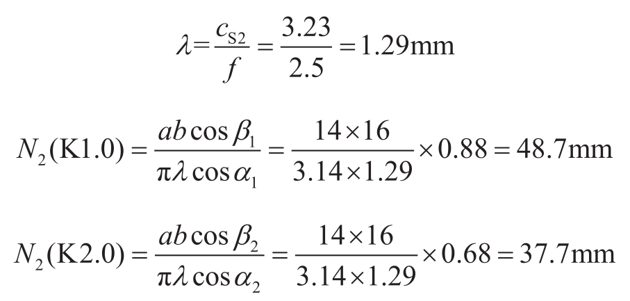
我国横波探头常采用 K 值( K =tg β s )来表示横波折射角的大小,常用 K 值为1.0、1.5、2.0和2.5等。为了便于计算近场区长度,特将 K 与cos β /cos α 、tg α /tg β 的关系列于表1-5。
表1-5 cos β /cos α 、tg α /tg β 与 K 值的关系(有机玻璃、钢)
例题1
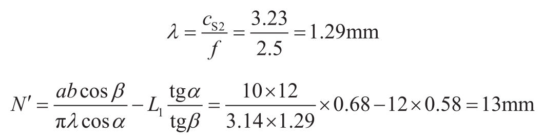
试计算2.5MHz、14mm×16mm方晶片K1.0和K2.0横波探头的近场区长度 N ,(钢中 c S2 =3230m/s)。
解:
由上计算表明,横波探头晶片尺寸一定, K 值增大,近场区长度将减小。
例题2
试计算2.5MHz、10mm×12mm方晶片K2.0横波探头,有机玻璃中入射点至晶片的距离为12mm,求此探头在钢中的近场区长度 N ′,(钢中 c S2 =3230m/s)。
解:
(3)半扩散角 从假想横波声源辐射的横波声束同纵波声场一样,具有良好的指向性.可以在被检材料中定向辐射,只是声束的对称性与纵波声场有所不同,如图1-70所示。
在声束轴线与界面法线所决定的入射平面内,声束不再对称于声束轴线,而是声束上半扩散角 θ 上 大于声束下半扩散角 θ 下 。
图1-70 横波声场半扩散角
计算通过声束轴线与入射平面垂直的平面内,声束对称于轴线,这时半扩散角 θ 0 可按下式计算。
对于圆片形声源,则
对于矩形正方形声源,则
下面举例说明横波和纵波声场半扩散角的比较。
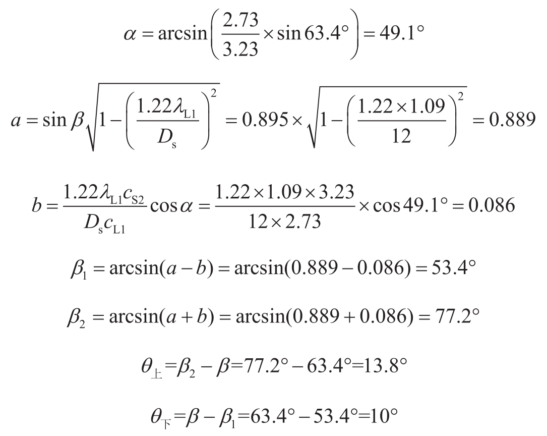
例题1
用2.5MHz、 ϕ 12mmK2横波斜探头检测钢制工件,已知探头中有机玻璃 c L1 =2730m/s,钢中横波声速 c S2 =3230m/s,求钢中横波声场的半扩散角。
解: ①有机玻璃中纵波波长为
②钢中横波波长为
③过轴线与入射平面垂直的平面内,则
④入射平面内半扩散角 θ 上 、 θ 下 ,则
由 K =tg β =2得
β =63.4°
由
得
计算结果如图1-71所示。
图1-71 2.5MHz ϕ 12mm K2斜探头半扩散角
例题2
用2.5MHz、 ϕ 12mm纵波直探头检测钢工件,钢中 c L =5900m/s,求其半扩散角。
解:
由上述两个例子可以看出,在其他条件相同时,横波声束的指向性比纵波好,横波能量更集中一些,因为横波波长比纵波短。
常规的纵波声场或横波声场,声束是以一定的角度向外扩散出去的,能量不集中,缺陷定量精度差,对粗晶材料检测困难大。20世纪60年代发展起来的聚焦声源发射的声场具有声束细,能量集中,分辨力和灵敏度高等优点。用聚焦探头测定大型缺陷的面积或指示长度比常规探头精确。用聚焦探头探测粗晶材料也有了较大的进展。
聚焦探头分为液浸聚焦和接触聚焦两大类,其中液浸聚焦技术发展得比较完善,接触聚焦目前还在探讨与发展之中。采用聚焦理论研制的接触聚焦直、斜探头用于实际检测,近几年收到了较为满意的效果。
液浸聚焦如图1-72所示,它是利用平面波入射到 c 1 > c 2 的凸透镜(从入射方向看)上其折射波聚焦的原理制成的。当声透镜为球面镜时,获得点聚焦;当声透镜为柱面镜时,获得线聚焦。
图1-72 液浸聚焦
接触聚焦如图1-73所示,它与液浸聚焦不同的是在声透镜前面加了一个透声楔块,并且要求声透镜中的声速 c 1 大于透声楔块中的声速 c 2 , c 1 > c 2 。由图可知,它是利用平面波入射到 c 1 > c 2 的凸透镜上其折射波聚焦,该聚焦折射波再入射到 c 2 < c 3 的平界面上其折射波在工件内进一步聚焦。
图1-73 接触聚焦
下面以水浸聚焦为例,来说明聚焦声场的情况。
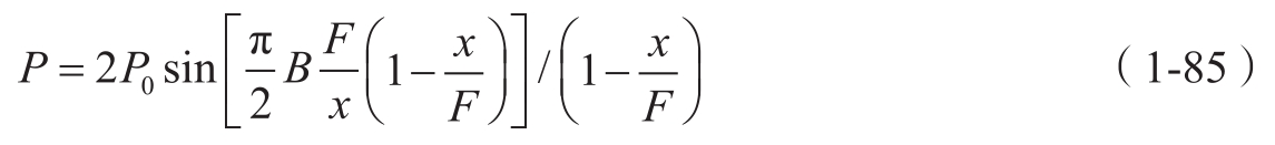
(1)聚焦声束轴线上的声压分布 设聚焦声源半径为 R ,在声程 x > R ,焦距 F > R 的条件下,聚焦声束轴线上的声压近似表达式为
式中 P 0 ——波源起始声压;
F ——焦距, F = c 1 r /( c 1 -c 2 ),其中 r 为声透镜曲率半径, c 1 为声透镜中声速, c 2 为水中声速;
x ——至波源的距离;
B ——参数, B = R 2 / λF = N / F , R 为波源半径。
在焦点处, x = F ,上式可简化为
由式(1-86)可知,焦点处的声压随 B 值增加而升高。当 B =10时, P =31.4 P 0 ,可见焦点处的声压之高。
由式(1-85)可得图1-74所示的聚焦声束轴线上焦点附近的声压变化情况。不难看出,焦距 F 越小, B 值就越大,聚焦效果就越好。当焦距 F 大于或等于近场区长度 N 时, B = N / F ≤1,这时几乎没有聚焦作用。因此焦距应选在近场区长度以内,否则就失去了聚焦的意义。
图1-74 聚焦声束轴线上的声压分布
(2)焦柱的几何尺寸 以上讨论的聚焦声场是从几何声学理论出发在理想条件下得到的,聚焦声束最后会聚于一点(或线),实际上这种情况是不存在的,因为几何声学忽略了声波的波动性,在焦点附近声波存在干涉。此外声透镜存在一定的球差,并非完全会聚于一点。因此聚焦声束的焦点是一个聚焦区,该聚焦区呈柱形,其焦柱直径与长度可用以下近似公式表示。
式中 d ——焦柱直径,以焦点处最大声压降低6dB来测定;
L ——焦柱长度,以焦点处最大声压降低6dB来测定;
λ ——波长;
F ——焦距;
R ——波源半径。
由以上公式可知,焦柱直径 d 及长度 L 与波长 λ 、焦距 F 、波源半径 R 有关。当 R 一定时, d 、 L 随 λ 、 F 增加而增大。二者的比值 L / d 为一常数,即为焦距与波源半径之比的二倍。
(3)聚焦探头的应用 聚焦探头具有声束细、灵敏度高等优点,在铸钢件及奥氏体钢检测、缺陷面积或指示长度的测定和裂纹高度的测定等方面得到较好的应用。
铸钢件及奥氏体钢晶粒粗大、衰减严重,常规探头检测散射显著,容易产生草状回波,信噪比低,缺陷判别困难大。采用聚焦探头检测,由于声束细,产生散射的概率小,因此信噪比高,灵敏度高,有利于缺陷的检出。
随着断裂力学的发展,对缺陷定量的要求日益提高,然而常规探头测定的缺陷面积或指示长度往往与缺陷实际尺寸相差较大。试验证明,使用聚焦探头利用多重分贝法(如:6dB、12dB等)来测定缺陷面积或指示长度要比常规探头精确得多,这是因为聚焦探头声束收敛。
裂纹是最危险的缺陷,测定裂纹高度已引起检测界的高度重视。人们曾设想采用各种方法来测定裂纹的高度,但测试精度较低。近年来,采用聚焦探头利用端点峰值回波法来测定裂纹的高度,获得较好的效果,精度明显提高。
聚焦探头也有不足,最大缺点是声束细,每次扫查范围小,探测效率低。另外,探头的通用性差,每只探头仅适用于探测某一深度范围内的缺陷。
应用聚焦探头测定缺陷尺寸的方法已在实际生产中得到应用。例如,法国已利用水浸聚焦检测装置检测核反应堆压力壳,美国也已制成汽轮机转子内孔聚焦检测装置。我国也开始利用聚焦探头对电站锅炉、压力容器管道焊缝和某些铸钢件进行检测,收到一定的成效。
前面讨论的是超声波发射声场中的声压分布情况,实际检测中常用反射法。反射法是根据缺陷反射回波声压的高低来评价缺陷的大小。然而工件中的缺陷形状性质各不相同,目前的检测技术还难以确定缺陷的真实大小和形状。回波声压相同的缺陷的实际大小可能相差很大,为此特引用当量法。当量法是指在同样的探测条件下,当自然缺陷回波与某人工规则反射体回波等高时,则该人工规则反射体的尺寸就是此自然缺陷的当量尺寸。自然缺陷的实际尺寸往往大于当量尺寸。
超声波检测中常用的规则反射体有平底孔、长横孔、短横孔、球孔、大平底面和圆柱曲底面等,下面分别讨论以上各种规则反射体的回波声压。
如图1-75所示,在 x ≥3 N 的圆盘波源轴线上存在一平底孔(圆片形)缺陷,设波束轴线垂直于平底孔,超声波在平底孔上全反射,平底孔直径较小,表面各点声压近似相等。根据惠更斯原理可以把平底孔当作一个新的圆盘源,其起始声压就是入射波在平底孔处的声压,探头接收到的平底孔回波声压 P f 为
式中 P 0 ——探头波源的起始声压;
F
s
——探头波源的面积,
;
F
f
——平底孔缺陷的面积,
;
λ ——波长;
x ——平底孔至波源的距离。
图1-75 平底孔回波声压
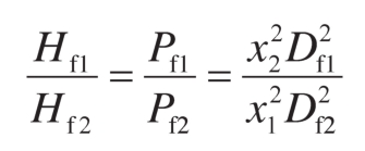
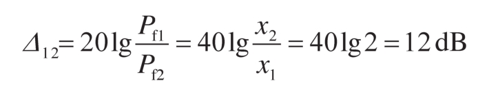
由式(1-90)可知,当探测条件( F s , λ )一定时,平底孔缺陷的回波声压或波高与平底孔面积成正比,与距离平方成反比。任意两个距离直径不同的平底孔回波声压之比为
二者回波分贝差为
(1)当 D f1 = D f2 , x 2 =2 x 1 时
这说明平底孔直径一定,距离增加一倍,其回波下降12dB。
(2)当 x 1 = x 2 , D f1 =2 D f2 时
这说明平底孔距离一定,直径增加一倍,其回波升高12dB。
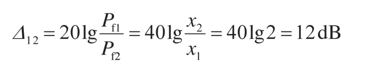
如图1-76所示,当 x ≥3 N ,超声波垂直入射,全反射,长横孔直径较小,长度大于波束截面尺寸时,超声波在长横孔表面的反射就类似于球面波在柱面镜上的反射。以 a = x , f = D f /4, P 1 / a = P 0 F s / λx 代入(1-54)式,取“+”,并考虑到 D f ≪ x ,从而得到长横孔回声压 P f 为
式中 D f ——长横孔的直径。
图1-76 长横孔回波声压
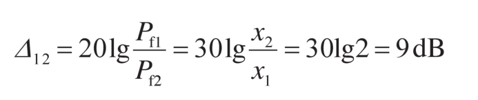
由上式可知,探测条件( F s 、 λ )一定时,长横孔回波声压与长横孔的直径平方根成正比,与距离的二分之三次方成反比。任意两个距离、直径不同的长横孔回波分贝差为
(1)当 D f1 = D f2 , x 2 =2 x 1 时
这说明长横孔直径一定,距离增加一倍,其回波下降9dB。
(2)当 x 1 = x 2 , D f1 =2 D f2 时
这说明长横孔距离一定,直径增加一倍,其回波上升3dB。
短横孔是长度明显小于波束截面尺寸的横孔,设短横孔直径为 D f ,长度为 l f 。当 x ≥3 N 时,超声波在短横孔上的反射回波声压为
由上式可知,当探测条件( F s 、 λ )一定时,短横孔回波声压与短横孔的长度成正比,与直径的平方根成正比,与距离的平方成反比。任意两个距离、长度和直径不同短横孔的回波分贝差为
(1)当 D f1 = D f2 , l f1 = l f2 , x 2 =2 x 1 时
这说明短横孔直径和长度一定,距离增加一倍,其回波下降12dB,与平底孔变化规律相同。
(2)当 D f1 = D f2 , x 2 = x 1 , l f1 =2 l f2 时
这说明短横孔直径和距离一定,长度增加一倍,其回波上升6dB。
(3)当 x 2 = x 1 , l f1 = l f2 , D f1 =2 D f2 时
这说明短横孔长度和距离一定,直径增加一倍,其回波升高3dB。
如图1-77所示,设球孔直径为 D f ,超声波垂直入射,全反射, D f 足够小。当 x ≥3 N 时,超声波在球孔上的反射就类似于球面波在球面镜上的反射,以 a = x , f = D f /4, P 1 / a = P 0 F s / λx 代入式(1-53),取“+”,并考虑到 D f ≪ x ,从而得到球孔回波声压 P f 为
图1-77 球孔回波声压
由上式可知,当探测条件( F s 、 λ )一定时,球孔回波声压与球孔的直径成正比,与距离的平方成反比。任意两个直径、距离不同的球孔的回波分贝差为
(1)当 D f1 = D f2 , x 2 =2 x 1 时
这说明球孔直径一定,距离增加一倍,其回波下降12dB,与平底孔变化规律相同。
(2)当 x 1 = x 2 , D f1 =2 D f2 时
这说明球孔距离不变,直径增加一倍,其回波上升6dB。
如图1-78所示,当 x ≥3 N 时,超声波在与波束轴线垂直、表面光洁的大平底面上的反射就是球面波在平面上的反射,其回波声压 P B 为
由上式可知,当探测条件( F s 、 λ )一定时,大平底面的回波声压与距离成反比。两个不同距离的大平底面回波分贝差为
当 x 2 =2 x 1 时
这说明大平底面距离增加一倍,其回波下降6dB。
图1-78 大平底面回波声压
(1)实心圆柱体 超声波径向检测 x ≥3 N 的实心圆柱体,类似于球面波在凹柱曲底面上的反射。以 a = x , f = D f /4, P 1 / a = P 0 F s / λx 代入式(1-54),取“-”得实心圆柱凹曲底面的回波声压为
这说明实心圆柱体回波声压与大平底面回波声压相同。
(2)空心圆柱体 超声波外柱面径向检测空心圆柱体, x ≥3 N ,类似于球面波在凸柱面上的反射,如图1-79探头 A 位置,以 a = x =( D-d )/2, f = d /4, P 1 / a = P 0 F s / λx 代入式(1-54),并取“+”,得外圆检测空心圆柱体凸柱曲底面的圆波声压为
上式说明外圆检测空心圆柱体,其回波声压低于同距离大平底回波声压,因为凸柱面反射波发散。
图1-79 空心圆柱体回波声压
超声波内孔检测圆柱体,类似子球面波在凹柱面上的反射,以 a = x =( D-d) /2, f = D /4, P 1 / a = P 0 F s / λx 代入式(1-54),取“-”得回波声压为
上式说明内孔检测圆柱体,其回波声压大于同距离大平底回波声压,因为凹柱面反射波聚焦。
需要说明的是,以上各种规则反射体的回波声压公式均未考虑介质衰减。