



是否有无穷多个形如2 p -1的素数?
对每个素数 p ,人们记 M p =2 p -1,称为梅森数。如果2 p -1还是素数,则称之为梅森素数。关于梅森素数有两个基本问题,但也属于数论中的超级难题:
(1)什么样的素数 p 能给出梅森素数 M p ?
(2)梅森素数是无限多个吗?
这些问题迄今尚未完全解决。
梅森素数的研究,最早出现在古希腊数学家欧几里得的《几何原本》中,该书第九章探讨了完全数与2 p -1形状的素数的关系(见问题006)。
1640年6月,费马在给梅森的一封信中,讨论了形如2
p
-1的数何时为素数。事实上,在17世纪,人们对寻找能给出无穷多素数的公式充满了热情。费马首先考虑了形如2
k
+1的数何时为素数。当
k
有一个奇素数因子
q
时,不难看出2
q
+1整除2
k
+1,但3显然也整除2
q
+1,表明2
k
+1不可能是素数。所以2
k
+1如果是素数,则
k
不能包含奇素数因子,只能是2的方幂,故可令
k
=2
n
,此时
恰为费马数
F
n
(见问题004)。接下来,费马又考虑了形如2
k
-1的数何时也是素数。当
k
是合数时,可令
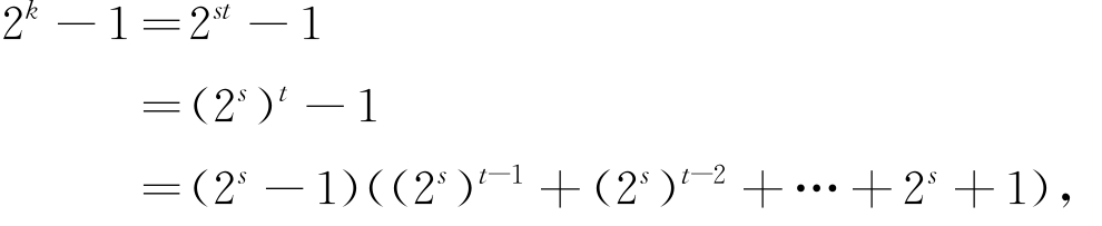
k
=
st
,其中
s
,
t
都是大于1的正整数,则
显然不是素数。由此表明形如2 k -1的数如果是素数,则 k 必然也是素数。在数论中,人们习惯用 p 表示一个素数(prime),因此,在研究形如2 p -1的数何时为素数时,只需考虑 p 为素数的情形。
寻找梅森素数,始终能引起人们的好奇心和探索热情。在古希腊仅知道前4个梅森素数: M 2 , M 3 , M 5 , M 7 。到15世纪才发现了第5个梅森素数 M 13 ,但未留下发现者的姓名。第6个和第7个梅森素数分别是 M 17 和 M 19 ,是意大利数学家卡塔尔迪在1588年找到的。
为了继续寻找下一个梅森素数,梅森在欧几里得和费马的研究成果上,对形如2 p -1的数做了大量的计算和验证。在1644年他猜测第8个到第11个梅森素数依次为
M 31 , M 67 , M 127 , M 257 。
由于梅森和笛卡儿以及费马经常一起研究数学,热情地与其他科学家通信交流,分享最新的思想和成果,在学术界享有很高的声誉,所以人们最初对他的计算结果深信不疑。遗憾的是,梅森的这个断言是不完全正确的:不仅 M 67 和 M 257 都不是素数,而且还遗漏了更小的梅森素数。尽管梅森的计算包含着错误,但他对2 p -1形状的素数的研究,激发了数学家和广大数学爱好者巨大的探索热情,成为数学史上一道独特景观。数学界为了纪念梅森,就把这种形状的素数称为梅森素数,并记为 M p 。
事实上,第8个梅森素数确实是 M 31 ,这是欧拉在1772年才发现的;卢卡斯在1876年证明 M 127 也是素数,但现在知道这是第12个梅森素数;1883年人们发现了第9个梅森素数 M 61 ;在1911年和1914年又分别找到了第10个梅森素数 M 89 和第11个梅森素数 M 107 。至此,人们依靠手工计算发现了前12个梅森素数,汇总如下:
M 2 , M 3 , M 5 , M 7 , M 13 , M 17 , M 19 , M 31 , M 61 , M 89 , M 107 , M 127 。
第12个梅森素数 M 127 ,有39位数,写下来就是
M 127 =170141183460469231731687303715884105727。
证明这个39位数是素数,其计算之艰辛,真是超乎想象。
进入20世纪后,随着计算机和互联网技术的迅猛发展,人们对搜寻新的梅森素数又燃起新的热情。1952年1月30日,在计算机的帮助下,人们终于找到了第13个梅森素数 M 521 和第14个梅森素数 M 607 。随着计算技术和程序设计的发展,越来越多的梅森素数被发现。截至2024年,最新发现的梅森素数为2 82589933 -1,这是在2018年发现的第51个梅森素数,长达24862048位数,如果把这个数按通常字体大小连续写下来,其长度将超过100千米!接下来第52个梅森素数 M p 将会被何时发现,又会被哪一个素数 p 提供?让我们拭目以待吧。
梅森素数为什么如此令人关注和着迷?原因是多方面的,至少包含以下几点:①梅森素数的研究加深了人们对素数的认识,丰富和发展了数论学科;②通过寻找新的梅森素数,人们不断地提高计算技术,改进算法;③梅森素数有很多应用,例如,在密码学中,梅森素数在RSA加密算法中发挥了重要作用;④最新发现的梅森素数也是目前所能找到的最大素数。尽管公元前300年前后欧几里得就证明了素数有无穷多个,但人们一直很好奇:到底是哪一个具体的数字,恰好是目前能够找到的最大素数。事实上,寻找新的梅森素数的历程,就等同于寻找最大素数的历程;⑤梅森素数激发了人类的科学探索精神,千百年来吸引着无数的数学家和数学爱好者,极大地推动了数学及互联网技术的发展。