



当
n
=0,1,2,3,…时
总是素数吗?
法国著名数学家费马的职业是律师,但他知识渊博,在语言学方面造诣颇深,精通法语、意大利语、西班牙语、拉丁语、希腊语,数学只是他的业余爱好。虽然他只能利用闲暇来思考和研究数学,却取得了惊人的成就,被誉为“业余数学家之王”。他特别喜爱数论,曾提出过许多猜想,最著名的大概就是费马大定理了。另外,他还对微积分和概率论的创立作出了重要贡献。
这个问题是费马1640年给梅森的信中提出的一个猜想。当时的背景是这样的:虽然欧几里得在公元前300年已经证明了素数有无穷多个,但素数的分布究竟有什么规律仍然是一个谜。特别地,人们致力于寻找这样一个公式
f
(
n
),使得当
n
取遍所有的正整数时,
f
(
n
)总能给出素数。现在,为了纪念费马,人们记
,称
F
n
为费马数。通过简单的手算可知前五个费马数分别为
它们的确都是素数!费马由此推测所有的 F n 也将都是素数,因此他相信自己已经解决了那个古老的问题,即找到了一个总能给出素数的公式 F n 。他承认自己不能证明这个猜测,后来他又对这个猜想的正确性表示了怀疑。
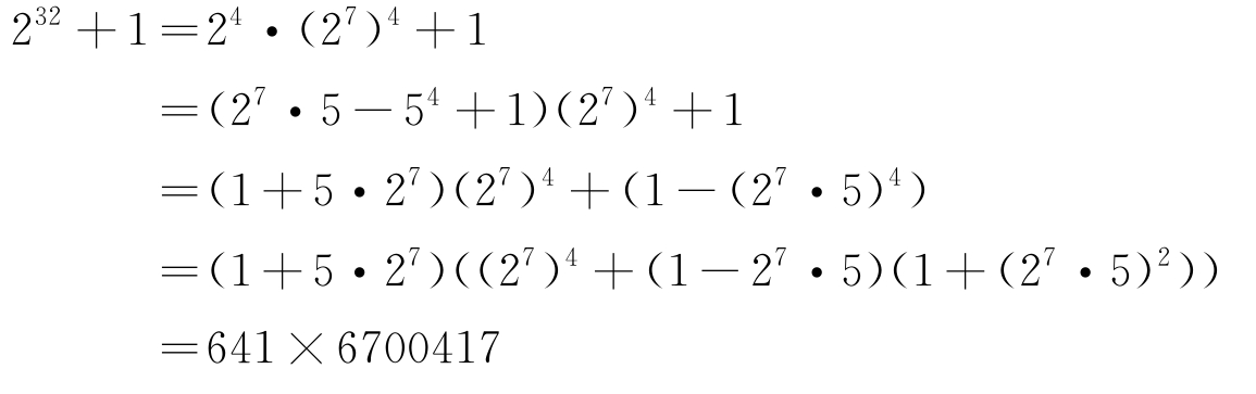
到了1732年,大数学家欧拉终于发现下一个费马数 F 5 不是素数,从而否定了费马的猜想。事实上,欧拉找到了它的一个素因子641,并且
但人们好奇的是,欧拉是怎么发现 F 5 不是素数的呢?有人给出了下面一个解答:
还有一个解释看起来更奇妙,揭示了费马数与其二进制表示之间的密切联系:
2 32 +1=(2 9 +2 7 +1)(2 23 -2 11 +2 19 -2 17 +2 14 -2 9 -2 7 +1)
按理说,费马数的研究应该到此为止了,但出人预料的是不少人仍然对它情有独钟。继欧拉之后,人们希望找到费马数为素数的情形,但奇怪的是至今还没有发现一个新的费马素数,也就是说,除了上述已知的五个费马数 F 0 , F 1 , F 2 , F 3 , F 4 为素数外,再也没有证明其他的某个 F n 为素数。当然,困难在于这些费马数 F n 随着 n 的递增会变得越来越大,超出了现代计算机所能处理的范围。人们猜测也许只有有限个 F n 为素数,但目前这一猜想仍然无法证明。
另外,迄今为止人们发现了243个费马数都是合数。例如,在1880年兰德里发现 F 6 为合数,有一个素因子为274177。莫海德与外斯滕分别在1905年和1909年证明了 F 7 和 F 8 也是合数,但 F 7 的因子分解直到1971年才完成,而 F 8 的全部素因子也是在1981年使用计算机才得到的。
对费马数的理论研究也取得了一些有价值的结果。可以证明费马数具有以下性质:
(1)
F
n
为素数当且仅当
F
n
整除
;
(2)当 n >1时, F n 的每个素因子必然形如2 n +2 k +1,其中 k 为正整数;
(3)如果 p 为素数且 p 2 整除 F n ,则 p 2 也整除2 p -1 -1。
另外,有人猜测每个费马数 F n 均无平方因子,但该猜想至今仍未得到解决。
目前对费马数的研究分成三种情形:①对少数几个 F n 人们得到了它的因子分解,如 F 7 ;②对有些 F n 目前仅知其为合数,但尚未找到任何一个素因子,如 F 14 ;③对大部分已知的费马数 F n ,也只是发现了一部分素因子,如 F 9 , F 10 ,等等。
令人惊奇的是费马数不仅仅是一些神秘的大数,而且出现在另外的数学领域中。例如,高斯在1801年证明:一个正 n 边形可用直尺与圆规画出,当且仅当 n 要么是2的方幂,要么具有形式 n =2 k p 1 p 2 … p r ,其中 k >0且 p i 恰好是两两不同的费马素数。关于尺规作图的详细说明可参看后面的问题065。另外,近年来在编码与密码以及网络信息安全的数学理论中也用到了费马数。