



假设 a 头牛把 b 块草地里的牧草在 c 天内吃完,而 a' 头牛把 b' 块草地里的牧草在 c' 天内吃完,并且 a″ 头牛把 b″ 块草地里的牧草在 c″ 天内吃完,试问这9个数量之间有何关系。
这是英国大数学家牛顿在1707年提出的一个著名的算术问题,其中假定了在每块草地上一开始都有相等数量的牧草,而且它每天生长的速度相同,以及每头牛每天吃的牧草数量也相等。下面给出该问题的解答。
假设每块草地上最初的牧草数量均为 x ,每块地每日草生长的速度为 y ,每头牛每天吃草的数量为 z 。于是 b 块地上最初的牧草数量为 bx ,在 c 天内增加的牧草数量为 cby ,而 a 头牛在 c 天内一共吃完的牧草数量为 caz 。于是,得到了第一个方程:
同样的分析可得到另外两个方程:
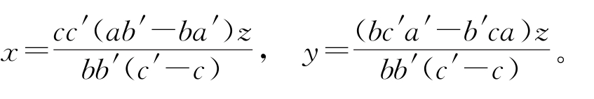
现在,把 x , y 看作未知变量,从方程(1)和方程(2)解出
再代入方程(3)中,两边消去 z 后再同乘 bb' ( c' - c )即可变为
这就是所求的关系式。特别地,这9个数量中的每一个均可由其他的8个数量唯一确定。