



什么样的正整数具有原根?
设 a 和 m 是互素的正整数,考虑 a 的所有方幂 a , a 2 , a 3 ,…除以 m 后所得的余数。因为一个数除以 m 所得的余数只能是0,1,…, m -1中之一,故存在两个不同的方幂 a i 和 a j 。不妨设 i < j ,使得 m 整除 a j - a i = a i ( a j - i -1)。根据 m 和 a 互素的假定,可知 m 整除 a j - i -1。由此证明了只要 a 和 m 互素,就存在一个正整数 k 使得 a k ≡1(mod m )。把这个最小的 k 称为 a 模 m 的阶,或者称为 a 关于 m 的指数。
a 模 m 的阶 k 应该是什么样子的呢?假如还有 a n ≡1(mod m )。设 n 除以 k 的余数为 r ,即可令 n = kq + r ,其中0≤ r < k ,则
a r = a n - kq = a n a - kq ≡1(mod m )。
根据 k 的极小性推出 r =0,表明 k 整除 n 。这实际上给出了阶的一个刻画,即 k 为 a 模 m 的阶当且仅当 a k ≡1(mod m ),以及对任意 a n ≡1(mod m ),总有 k 整除 n 。
特别地,根据问题016中提及的欧拉定理,当 a 和 m 为互素的正整数时,总有 m 整除 a φ ( m ) -1,写成同余式即为 a φ ( m ) ≡1(mod m ),其中 φ ( m )为欧拉函数。由此表明 a 模 m 的阶必然整除 φ ( m ),亦即为 φ ( m )的一个因子。从此引出一个最为基本的问题:在什么条件下 a 模 m 的阶恰好等于 φ ( m )呢?
如果 a 模 m 的阶恰好等于 φ ( m ),则称 a 为 m 的一个原根。现在的问题是:什么样的正整数 m 有原根,以及在原根存在的情形下如何求出其所有的原根。这个问题之所以特别重要,原因在于对具有原根为 a 的正整数 m 而言, a 的 φ ( m )个方幂 a , a 2 ,…, a φ ( m ) 除以 m 所得的余数恰好就是小于 m 且与 m 互素的全部正整数。换句话说,那些与 m 互素的每个正整数必然与 a , a 2 ,…, a φ ( m ) 中的某一个模 m 同余,这在整除理论中当然是一种理想情形。
并不是每个正整数都有原根。例如,取 m =8,直接计算可知3,5,7分别模8的阶都是2,而 φ (8)=4,表明8没有原根。
然而,欧拉在1773年首先证明了每个素数 p 都有原根。为了介绍欧拉的这个证明,需要下述两个基本结论。在给出这两个基本结论之前,有必要介绍同余方程解的一个性质。如果 x 是同余方程 f ( x )≡0(mod m )的一个解,且 x 除以 m 后所得的余数为 r ,亦即存在 k 使得 x = km + r (0≤ r < m ),根据二项展开公式显然有 f ( km + r )≡ f ( r )(mod m ),从而 f ( r )≡0(mod m ),这表明 r 也是同余方程 f ( x )≡0(mod m )的解。基于同余方程解的这一性质,在讨论同余方程 f ( x )≡0(mod m )的解时,可以把解局限在模 m 的简化剩余系中,亦即在模 m 所得的全部余数0,1,…, m -1中,谈论解的存在性以及解的个数等问题。
(1)设 f ( x )为 n 次整系数多项式,则同余方程
f ( x )≡0(mod p )
至多有 n 个解。
此即所谓的拉格朗日定理,是拉格朗日在1770年首先证明的。现在,对多项式的次数作归纳来证明该结论。令
f ( x )= a n x n + a n -1 x n -1 +…+ a 0
为整系数多项式,不妨设
a
n
0(mod
p
)。当
n
=1时,从(
a
1
,
p
)=1即知一次同余方程
a
1
x
+
a
0
≡0(mod
p
)只有一个解。假定该结论对
n
-1次多项式成立,考虑
n
次多项式
f
(
x
)。如果
f
(
x
)≡0(mod
p
)无解,则结论自然成立。如果
f
(
x
)≡0(mod
p
)有一个解
r
,即
f
(
r
)≡0(mod
p
),此时用
x
-
r
去除
f
(
x
)所得的余式恰为
f
(
r
),亦即存在整系数多项式
g
(
x
)满足
f ( x )=( x - r ) g ( x )+ f ( r )。
显然 f ( x )≡( x - r ) g ( x )(mod p ),且 g ( x )的次数是 n -1。因为 p 是素数,所以 f ( x )≡0(mod p )的全部解即为 r 和 g ( x )≡0(mod p )的所有解组成。根据归纳假设 g ( x )≡0(mod p )至多有 n -1个解,从而 f ( x )≡0(mod p )的解最多有 n 个。
(2)如果 d 是 p -1的一个因子,则 x d ≡1(mod p )恰有 d 个解。
事实上,根据费马小定理可知对每个与 p 互素的正整数 a ,均有 p 整除 a p -1 -1,即同余方程 x p -1 ≡1(mod p )恰有 p -1个解1,2,…, p -1。从条件 d 整除 p -1不难看出 x d -1也整除 x p -1 -1,故可令
x p -1 -1=( x d -1) h ( x )。
根据上述结论(1),同余方程 h ( x )≡0(mod p )最多有 p -1- d 个解。因此 x d ≡1(mod p )至少也有 d 个解,再从结论(1)可知其恰好有 d 个解。
有了以上的准备工作,就可证明每个素数 p 均有原根。注意到
1,2,…, p -1
中的每个数模 p 的阶都整除 φ ( p )= p -1,对 p -1的每个因子 d ,用 ψ ( d )表示该 p -1个数中模 p 的阶等于 d 的那些数的个数,则有
现在比较
φ
(
d
)和
ψ
(
d
)的大小。对
p
-1的每个因子
d
,如果
ψ
(
d
)=0,则
ψ
(
d
)<
φ
(
d
)。如果
ψ
(
d
)
0,则存在一个模
p
的阶为
d
的正整数,设为
a
。显然阶为
d
的所有数都是同余方程
x d ≡1(mod p )
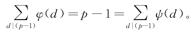
的解,根据结论(2)知该方程恰好有 d 个解。因 a , a 2 ,…, a d 模 p 两两不同,故为上述方程的全部解。由此表明凡阶为 d 的正整数均可写成 a 的方幂形式,易知 a k 的阶为 d 当且仅当( d , k )=1,从而有 φ ( d )个阶为 d 的方幂,所以 ψ ( d )= φ ( d )。总之,一般地证明了 ψ ( d )≤ φ ( d )。再根据欧拉函数的性质,有
所以,对每个
p
-1的因子
d
,均有
ψ
(
d
)=
φ
(
d
)。特别地,
ψ
(
p
-1)=
φ
(
p
-1)
0,这说明存在模
p
的阶为
p
-1的正整数,亦即
p
有原根。
一般地,高斯在1801年证明了一个正整数具有原根,当且仅当它形如?
1,2,4, pe ,2 pe ,
这里 p 为任意奇素数,而 e 为任意正整数。虽然高斯的这个证明同样初等且巧妙,但篇幅所限,就不再介绍了。
最后,关于原根问题提及一个著名的猜想。1927年,奥地利大数学家阿廷猜测:对每个不等于1、 p -1以及完全平方的正整数 a ,均存在无穷多个素数 p 以 a 为原根。这一猜想至今尚未得到证明。