



对任意给定的正整数 n ,试求小于 n 且与 n 互素的正整数的个数。
即使从现代数学的角度来看,这个问题仍然是数论中的一个基本问题,它的价值在于由此产生了一个非常有用的数论函数。早在1640年10月18日,费马在给朋友的一封信中叙述了一个数论结果:如果 p 为素数,则对每个正整数 a ,均有 p 整除 a p - a 。后人把费马发现的这个漂亮的结论称为费马小定理。到了1736年,欧拉给出了费马小定理的严格证明。事实上,至今为止人们已经找到了这个定理的许多证明,但值得赞赏的是,欧拉在1760年给出了费马小定理的重要推广。他首先考虑了小于给定正整数 n 且与 n 互素的正整数的个数,高斯为此还专门引进了一个记号 φ ( n ),即 φ ( n )表示在1,2,…, n 中与 n 互素的正整数的个数,现在称之为欧拉函数。使用这个新的数论函数,欧拉证明了如果 a 和 n 互素,则 n 整除 a φ ( n ) -1。注意到当 n 为素数 p 时,每个小于 p 的正整数都和 p 互素,亦即 φ ( p )= p -1,此时的欧拉定理变为对每个与 p 互素的 a ,均有 p 整除 a p -1 -1,自然也整除 a p - a 。如果 a 与 p 不互素,亦即 p 整除 a ,则显然有 p 整除 a p - a 。这其实就是费马小定理的内容,因此欧拉的定理的确包含了费马小定理。
令人惊奇的是,欧拉定理的困难之处仅仅在于它的提出和发现,这需要一定的想象力,而它的证明却非常简单。叙述如下:
假设 a 和 n 互素,并且在1,2,…, n 中与 n 互素的正整数为 r 1 , r 2 ,…, r k ,按欧拉函数的定义,其中 k = φ ( n )。接着,欧拉又考虑了 k 个数
ar 1 , ar 2 ,…, ar k
分别除以 n 后所得的余数。一方面,因为 a 和每一个 r i 分别与 n 互素,从而它们的乘积 ar i 也和 n 互素,除以 n 所得的余数也将和 n 互素。另一方面,如果某两项 ar i 和 ar j 除以 n 所得的余数相同,则 n 必整除它们的差 ar i - ar j = a ( r i - r j )。同样根据 a 和 n 互素的假设,可知 n 整除 r i - r j ,只有 r i = r j 。由此表明上述数列 ar 1 , ar 2 ,…, ar k 除以 n 所得的余数不仅与 n 互素而且两两不同,故为 r 1 , r 2 ,…, r k 的一个排列。所以, n 整除下述乘积之差
( ar 1 )( ar 2 )…( ar k )- r 1 r 2 … r k =( r 1 r 2 … r k )( a k -1)。
又因为乘积 r 1 r 2 … r k 也和 n 互素,从而 n 整除 a k -1。至此就完成了欧拉定理的证明。
现在继续讨论欧拉函数 φ ( n )。既然该函数在数学的许多领域里经常出现,是一个十分基本的数论函数,那么,如何计算 φ ( n )或者得到它的表达式,则是一个重要的基础问题。前面已经提到过,当 n 为素数 p 时 φ ( p )= p -1。一般地,当 n 为一个素数幂 p e 时,从定义出发也能求出相应的函数值 φ ( p e )。事实上,在小于或等于 p e 的正整数中,与 p e 不互素者恰为 p 的倍数,它们只能是
1· p ,2· p ,3· p ,…, p e -1 · p ,
一共有 p e -1 个。这就证明了在小于或等于 p e 中,与 p e 互素的正整数的个数恰为 p e - p e -1 。换句话说,即证明了当 p 为素数时,
φ ( p e )= p e - p e -1 = p e -1 ( p -1)。
因为任意大于1的正整数均可写成不同的素数幂之积,即可令
,所以,为了计算相应的
φ
(
n
),人们自然期望
φ
(
n
)为积性函数,即对互素的正整数
m
和
n
,总有
φ
(
mn
)=
φ
(
m
)
φ
(
n
)。一旦这个乘积公式得到了证明,借此就能得到
φ
(
n
)的计算公式,亦即
令人感到欣慰的是, φ ( n )的确是一个积性函数,下面就来证明这一点。
假设 m 和 n 是两个互素的正整数,把从1~ mn 的正整数按下述方式排列成一个有 m 行和 n 列的阵势:
显然,此阵势的第 r (1≤ r ≤ m )行的 n 个数为
r m + r 2 m + r …( n -1) m + r 。
一方面,不难看出一个数 d 整除 m 和 r ,当且仅当 d 整除 m 和 km + r 。由此表明当 r 和 m 互素时,第 r 行中的各数也都与 m 互素;而当 r 和 m 不互素时,第 r 行中的每个数也都与 m 不互素。另一方面,假如该行中某两个数 am + r 和 bm + r 除以 n 的余数相同,则它们的差等于( a - b ) m 也能被 n 整除。从 m 和 n 互素的假定可知 n 整除 a - b ,因为 a 和 b 的取值范围都是从0~ n -1,所以只能是 a = b 。这说明每行中的 n 个数分别除以 n 后所得的余数两两不同,这 n 个不同的余数只能是0,1,…, n -1的一个排列,因而每行中恰有 φ ( n )个数与 n 互素。注意到与 mn 互素的数就是那些分别同 m 和 n 都互素的数,所以,为了在上述阵势中寻找所有与 mn 互素的数,可以先找出与 m 互素的那些行,共有 φ ( m )个,然后在每个与 m 互素的行中再接着找出与 n 互素的数来。按以上说明,每行中都恰好有 φ ( n )个与 n 互素的数。这样,在上述阵势里与 mn 互素的数就共有 φ ( m ) φ ( n )个,亦即证明了 φ ( mn )= φ ( m ) φ ( n )。
至此就介绍完了欧拉函数 φ ( n )的计算公式及其证明过程,从理论上说解决了 φ ( n )的计算问题。例如,为了计算 φ (100),即100以内与100互素的数的个数,先把100分解成素数幂乘积100=2 2 ·5 2 ,分别算出 φ (2 2 )=2以及 φ (5 2 )=5(5-1)=20,最后得到 φ (100)= φ (2 2 ) φ (5 2 )=40。但是,当 n 较大,尤其是当 n 的素数幂分解难以写出时,就无法直接应用 φ ( n )的计算公式,相应的函数值 φ ( n )也就难以计算了,这也是欧拉函数的美中不足之处。剩下的问题是:对欧拉函数 φ ( n )而言,能否找到一个不依赖于 n 的因子分解的计算方法呢?遗憾的是,这个问题至今尚未得到解决。
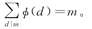
最后,在本问题结束之前,再证明欧拉函数的一个基本性质:设 m 为正整数,用记号 a | b 表示 a 整除 b ,则
该证明是高斯首先给出的。对 m 的每个因子 d ,记 C d 为1,2,…, m 中那些与 m 的最大公因子为 d 的正整数集合。注意到 n 在 C d 中当且仅当( m , n )= d ,亦即( m / d , n / d )=1。此时 n / d 的取值共有 φ ( m / d )个,表明 C d 中元素的个数为 φ ( m / d )。显然1,2,…, m 中的每个元素恰属于一个集合 C d ,所以