



证明方程 x 3 + y 3 = z 3 没有正整数解。
大约在1637年,费马在研读古希腊数学家丢番图的《算术》一书时,对其中有关不定方程 x 2 + y 2 = z 2 的正整数解的讨论产生了兴趣。费马可能在想:既然某些平方数能够写成两个平方数之和,例如5 2 =3 2 +4 2 或13 2 =5 2 +12 2 ,那么什么样的立方数也能写成两个立方数之和呢?经过仔细的思考和计算,费马就在该书的空白处写下了一段著名的话:“把一个数的立方分成另外两个数的立方和,把一个数的四次方分成另外两个数的四次方的和,或一般地,把一个数的高于2的任何次方分成两个数的同次方之和是不可能的。我已经发现了这定理的一个真正奇妙的证明,但书上空白的地方太小,写不下。”
换句话说,费马宣称自己证明了方程 x n + y n = z n 当 n >2时不存在正整数解。在17世纪,数论界几乎是费马一个人的天下,他以其天才的直觉作出了许多大胆的推测,并提出过两个定理。在1640年10月18日给朋友的一封信中,费马提到了一个基本结果:设 p 为素数, a 为任意整数,则 p 整除 a p - a 。后人把这个结论称为费马小定理,而把费马关于 x n + y n = z n 的断言称为费马大定理,或称为费马最后定理。
令人遗憾的是,人们从未找到费马所宣称的那个奇妙的证明,而且在费马以后的许多大数学家,包括欧拉、勒让德、高斯、狄利克雷、库默、柯西等,在试图证明费马大定理的一般情形时都没有成功。这一方面使得费马大定理更加著称于世,但另一方面也使人们对费马本人究竟是否严格和完整地证明了这个定理产生了怀疑。事实上,费马使用他发明的“无限下降法”的确证明了 n =4时方程 x n + y n = z n 没有正整数解,很可能他以为仿此就可以得到一般情形的证明。当然,这只是人们的一种猜测。也有人认为或许费马真的找到了一个美妙的证明,故意秘而不宣。但现在看来,这种可能性不大。
欧拉在1770年发表了他对 n =3情形的证明,即欧拉证明了 x 3 + y 3 = z 3 没有正整数解。欧拉的这个证明十分复杂,而且从现代数学的观点看并不严格。后来,高斯给出了一个简化证明,用到了所谓“复整数”的理论,其中包含了全新的思想,对以后的数论发展产生了深远影响。下面完整地介绍高斯的这个堪称数学精品的美妙证明,但为了使读者能更好地阅读和欣赏它,我们按现代数学的观点作了一些补充和改写。
高斯的证明思路是这样的:首先,不难看出方程
x
3
+
y
3
=
z
3
没有正整数解的断言等价于说方程
x
3
+
y
3
=
z
3
没有
xyz
0的整数解。其次,高斯发现在整数集合
中讨论方程
x
3
+
y
3
=
z
3
的解时会遇到许多复杂性,但如果允许把整数的概念扩充成更为一般的“复整数”,在一个比整数集合更大的复整数集合中来研究该方程的解时,就会使问题大为简化。高斯的成功又一次验证了数学中这样一个信念:通过把所研究的问题尽可能地一般化,就会发现证明一个一般性的命题往往要比证明一个特殊的命题更为容易。
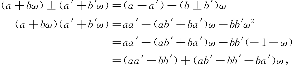
现在讨论高斯引进的复整数概念。设
为一个3次本原单位根,即1,
ω
,
ω
2
为方程
x
3
=1的全部根,不难验证1+
ω
+
ω
2
=0。对任意整数
a
,
b
,高斯考虑所有形如
a
+
bω
的复数,称之为复整数。注意到
表明两个复整数相加、相减与相乘后仍然得到复整数。记所有复整数的集合为
,即
,则
对加法、减法和乘法三种运算封闭。显然
。所以,如果能够证明方程
x
3
+
y
3
=
z
3
在复整数集合
中没有非零的解,则该方程在整数集合
中也没有非零的解。为此目的,先得仔细地考察
中的算术理论,特别是要把通常在整数集合中的一些相关概念推广到复整数集合中来,分以下几步进行:
(1)整除:设
为复整数且
β
0,如果存在复整数
γ
使得
α
=
βγ
,则称
β
整除
α
,记为
β
∣
α
,也称
β
为
α
的一个因子。
如果 β 整除两个复整数之差 α - α' ,则称 α 和 α' 模 β 同余,记为 α ≡ α' (mod β )。
(2)范数:设
α
=
a
+
bω
,其中
a
,
b
为整数,
表示相应的共轭复数,显然
,表明复整数的共轭也是复整数。记
,称为
α
的范数。直接计算可知
N
(
a
+
bω
)=
a
2
-
ab
+
b
2
。
范数的重要性在于它建立了复整数与通常整数之间的基本关系,而且从
即可看出范数其实就是该复数绝对值(也称为模长,对实数
x
,
y
,相应复数
的绝对值定义为
的平方。
两个复整数相除未必还是复整数,即
对除法运算不封闭。如果记
,则
中的元素对加减乘除四则运算封闭。任取
,仍然定义
为
α
的范数,同样成立
N
(
s
+
tω
)=
s
2
-
st
+
t
2
。
从定义不难看出:每个
的范数
N
(
α
)总是非负的有理数,当
α
为复整数时,
N
(
α
)还是非负整数。显然
N
(
α
)=0当且仅当
α
=0。另外,范数还保持乘积,即对任意
,有
N
(
αβ
)=
N
(
α
)
N
(
β
)。
(3)单位:称范数为1的复整数
α
为单位。设
α
=
a
+
bω
,则
N
(
a
+
bω
)=
a
2
-
ab
+
b
2
=1。因为
a
,
b
均为整数,故1-
ab
=
a
2
-2
ab
+
b
2
=(
a
-
b
)
2
≥0,即
ab
≤1。另一方面,如果
ab
<0,则-
ab
>0,表明
a
,
b
均不为零且-
ab
≥1,必有
a
2
-
ab
+
b
2
>1,矛盾。所以有0≤
ab
≤1,只有
a
=±1,
b
=0,或
a
=0,
b
=±1,或
a
=
b
=±1这六种情形,相应的复整数为
α
=±1,±
ω
,±
ω
2
。反之,这六个复整数的范数显然为1。这样,就证明了在
中共有六个单位。
单位其实就是1的因子,换句话说,
α
为单位当且仅当
α
整除1,或等价地说,1/
α
也是
中的复整数。这从范数的定义即可得出:如果
α
为单位,则
,表明
α
整除1;反之,如果
α
整除1,则存在复整数
β
使得1=
αβ
,两边取范数得1=
N
(
α
)
N
(
β
),因范数为非负整数,只有
N
(
α
)=1。
如果两个复整数 α 和 β 相差一个单位,即存在单位 ε 使得 β = εα ,则称 α 和 β 相伴,记为 α ~ β 。不难看出,两个非零的复整数相伴当且仅当它们能相互整除。
(4)带余除法:在整数集合
中,有所谓的带余除法或称欧氏算法,即对任意两个整数
a
,
b
,只要
b
0,则存在整数
q
,
r
使得
a
=
bq
+
r
并且0≤
r
<|
b
|,其中
q
称为
a
除以
b
所得的商,而
r
称为余数。带余除法是整数理论中的一个基本法则,也是证明许多定理的出发点。现在也来建立复整数的带余除法,即对任意两个复整数
α
,
β
且
β
0,将证明存在复整数
δ
,
γ
满足
α
=
βδ
+
γ
,并且
N
(
γ
)<
N
(
β
)。
事实上,从
可知存在有理数
s
,
t
使得
α
/
β
=
s
+
tω
。在数轴上用整数去逼近有理数,即可选取整数
m
,
n
使得|
s
-
m
|≤1/2以及|
t
-
n
|≤1/2。令
δ
=
m
+
nω
,则
δ
为复整数。再令
γ
=
α
-
βδ
,则
γ
也是复整数。需要证明的是
N
(
γ
)<
N
(
β
)。根据
中范数的定义,有
N
((
s
-
m
)+(
t
-
n
)
ω
)=(
s
-
m
)
2
-(
s
-
m
)(
t
-
n
)+(
t
-
n
)
2
≤1/4+1/4+1/4<1,所以
N
(
γ
)=
N
(
β
)
N
(
α
/
β
-
δ
)=
N
(
β
)
N
((
s
-
m
)+(
t
-
n
)
ω
)<
N
(
β
)。
(5)最大公因子:设
为任意复整数,如果
σ
同时整除
α
和
β
,则称
σ
为
α
和
β
的一个公因子。在
α
和
β
的所有公因子中,范数最大的公因子称为最大公因子。如果
σ
为
α
和
β
的一个最大公因子,则与
σ
相伴的每个复整数
εσ
也是最大公因子。这里将证明
α
和
β
的每个最大公因子
σ
均可写为
σ
=
λα
+
μβ
,其中
λ
和
μ
为适当选取的复整数。
事实上,考虑复整数集合
,选取Λ中的非零元
γ
使得
N
(
γ
)最小。对任意
ξ
∈Λ,根据(4)中的带余除法,存在复整数
δ
和
γ
0
使得
ξ
=
δγ
+
γ
0
且
N
(
γ
0
)<
N
(
γ
)。注意到
γ
∈Λ,它的每个倍数
δγ
也在Λ中,而且Λ中两个元素之差也在其中,所以
γ
0
=
ξ
-
δγ
∈Λ。根据
γ
的最小选取,只有
N
(
γ
0
)=0,亦即
γ
整除Λ中的每个元素
ξ
。特别地,
γ
整除
α
和
β
,表明
γ
为
α
和
β
的一个公因子。从
γ
∈Λ可令
γ
=
λα
+
μβ
,其中
λ
,
μ
为复整数。现在证明
γ
还是最大公因子。事实上,如果
τ
是
α
和
β
的任意一个公因子,则从
τ
整除
α
和
β
可知,
τ
也整除
λα
+
μβ
=
γ
,从而
τ
是
γ
的一个因子,故
N
(
τ
)≤
N
(
γ
),按定义,
γ
确为
α
和
β
的一个最大公因子。因为已经预先给定了
α
和
β
的一个最大公因子
σ
,把上述
τ
换为
σ
,即知
N
(
σ
)≤
N
(
γ
)。根据最大公因子的定义,只有
N
(
σ
)=
N
(
γ
)。又因为
σ
整除
γ
,令
γ
=
σε
,两边取范数即得
N
(
ε
)=1,表明
ε
为单位,从而
ε
-1
也是复整数。最后就有
σ
=
ε
-1
γ
=(
ε
-1
λ
)
α
+(
ε
-1
μ
)
β
。
总之,通过上述讨论实际上证明了任意两个不全为零的复整数 α 和 β 均存在最大公因子;任何一个公因子均整除最大公因子;任意两个最大公因子相差一个单位,亦即任意两个最大公因子都相伴;每个最大公因子 σ 均可写为 σ = λα + μβ 的形式,其中的 λ , μ 都是复整数。
如果两个复整数 α 和 β 的最大公因子只有单位,等价于说1是 α 和 β 的一个最大公因子,则称 α 和 β 互素。
(6)素元:作为素数概念的推广,在
中定义相应的素元概念。设
α
为非零非单位的复整数,如果
α
的因子只有1和
α
以及它们的相伴元,则称
α
为
中的一个素元。
素元的基本性质如下:设 ρ 为素元, α , β 为复整数,如果 ρ 整除 αβ ,则 ρ 必然整除 α 或 β 。这是因为当 ρ 不整除 α 时,1就是它们的一个最大公因子。根据(5)可知,存在复整数 λ , μ 使得1= λα + μρ 。两边同乘 β 得 β = λαβ + μρβ ,因为等式右边的两项分别被 ρ 整除,从而左边的 β 也能被 ρ 整除。
由此可推出:如果素元 ρ 整除若干复整数的乘积 αα 12 … α n ,则 ρ 必能整除其中的某个 α i 。
(7)唯一因子分解:类似于整数中的算术基本定理,下面将证明复整数具有唯一因子分解性质。设
为非零非单位的复整数,则
α
可表为一个单位和一些素元的乘积,简称为素元分解,即
α
=
ε
ρ
1
ρ
2
…
ρ
n
,其中
ε
为单位而诸
ρi
均为素元。进而,如果
α
=
ε'γ
1
γ
2
…
γ
m
也是这样一个表示,即
ε'
为单位且
γ
i
均为素元,则
n
=
m
,并且把下标适当重排后可使每个
ρ
i
与
γ
i
相伴。换句话说,
α
的任意两个素元分解在相伴的意义下是唯一的。
分解的存在性是显然的:如果 α 本身为素元,则 α = α 即为素元分解;如果 α 不是素元,则可令 α = αα 12 ,其中 α 1 , α 2 均不是单位,从而 N ( α 1 )和 N ( α 2 )都大于1,又 N ( α )= N ( α 1 ) N ( α 2 ),所以 N ( α 1 )< N ( α )且 N ( α 2 )< N ( α )。通过对 N ( α )做归纳法,由归纳假设可知 α 1 和 α 2 都具有素元分解,合并后即得 α 的素元分解。
现证分解的唯一性:设 α = ερ 1 ρ 2 … ρ n = ε'γ 1 γ 2 … γ m 为上述两个素元分解,则 ρ 1 整除 ε'γ 1 γ 2 … γ m 。根据素元的性质, ρ 1 必然整除某个 γ i ,适当重排下标后不妨假设 ρ 1 整除 γ 1 。因为 γ 1 也是素元,从而 ρ 1 与 γ 1 相伴,即存在单位 ε 1 使得 γ 1 = ε 1 ρ 1 。从 α 的两个素元分解式中两边除去 ρ 1 ,即知 ερ 2 ρ 3 … ρ n =( ε'ε 1 ) γ 2 γ 3 … γ m 。显然 ε'ε 1 还是单位。对 ρ 2 重复 ρ 1 的论证,不妨设 ρ 2 与 γ 2 相伴,同理存在单位 ε 2 满足 γ 2 = ε 2 ρ 2 ,代入消去后又得等式 ερ 3 ρ 4 … ρ n =( ε'ε 1 ε 2 ) γ 3 γ 4 … γ m 。再对 ρ 3 , ρ 4 ,…不断重复该论证过程,最终得到 n = m ,且适当编号后可使每个 ρ i 与 γ i 相伴。
(8)素元1- ω :以下总记 π =1- ω ,显然 N ( π )=3,表明 π 的因子只有单位和 π 的相伴元,即 π 确为素元。这是一个相当特殊的元素,在高斯的证明中起着关键的作用。为此,先建立有关 π 的三条基本性质。
性质1:设 α 为复整数,则 α 除以 π 所得的余数为0,±1。
性质2:设 α 为复整数,则 α 3 ≡ α (mod π )。
性质3:设 π 不整除复整数 α ,则 α 3 ≡±1(mod π 4 )。
事实上,对任意复整数 α = a + bω ,有
α = a + bω =( a + b )- b (1- ω )≡ a + b (mod π )。
因为整数
a
+
b
除以3的余数为0,±1,而
π
整除
,所以
a
+
b
除以
π
的余数也只能是0,±1,从而任意复整数
α
模
π
的余数只有三个取值:0,-1,1。由此说明性质1成立。此外,对任意整数
n
,显然
n
3
和
n
除以3后所得的余数相等,即
n
3
≡
n
(mod 3),更有
n
3
≡
n
(mod
π
)。所以,
α 3 - α ≡( a + b ) 3 -( a + b )≡0(mod π ),
表明性质2也成立。最后,如果 π 不整除 α ,则 α ≡±1(mod π )。分两种情形:当 α 除以 π 的余数为1时,可令 α =1+ λπ , λ 为某个复整数,则
注意到 ω 2 ≡1(mod π ),根据性质2,有
λ (1+ λ )( λ - ω 2 )≡ λ (1+ λ )( λ -1)≡ λ 3 - λ ≡0(mod π ),
由此表明 α 3 -1被 π 4 整除,即 α 3 ≡1(mod π 4 )。当 α 除以 π 的余数为-1时,即- α ≡1(mod π ),在上述讨论中换 α 为- α ,同理可得(- α ) 3 ≡1(mod π 4 ),亦即 α 3 ≡-1(mod π 4 )。总之,性质3得证。
在高斯的证明中还涉及另外一个概念:设 α 为非零的复整数,则可令 α = επ n β ,其中 ε 为单位, β 为复整数且不被 π 整除。根据(7)中有关素元分解之唯一性的论述,可知非负整数 n 由 α 唯一确定,称为 α 关于 π 的指数,记为 n =ord π ( α )。因为预先固定了素元 π ,在不致引起混淆时可把 α 关于 π 的指数简记为 o ( α )。不难看出,当复整数 α , β 关于 π 的指数不相等时,则 o ( α ± β )即为 o ( α )和 o ( β )中的最小者。
有了以上的准备,现在给出高斯关于方程
x
3
+
y
3
=
z
3
没有
xyz
0整数解的完整证明。事实上,高斯转而去证明更为一般的结论,即对每个单位
ε
,形如
x
3
+
y
3
=
εz
3
的方程在
中均没有
xyz
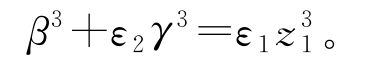
0的解。整个证明过程由下述三个结论组成。
Ⅰ.如果方程
x
3
+
y
3
=
εz
3
在
中存在
xyz
0的解,则存在非零的复整数
x
,
y
,
z
以及某个单位
ε
,使得
x
3
+
y
3
=
εz
3
,并且
π
不整除
xy
以及
π
整除
z
。
Ⅱ.对任意不为零的复整数 x , y , z ,如果满足 x 3 + y 3 = εz 3 ,并且 π 不整除 xy 以及 π 整除 z ,则 π 2 也整除 z 。
Ⅲ.如果存在不为零的复整数
x
,
y
,
z
满足
x
3
+
y
3
=
εz
3
,并且
π
不整除
xy
以及
π
2
整除
z
,则存在不为零的复整数
x
1
,
y
1
,
z
1
和单位
ε
1
,使得
,并且
π
不整除
x
1
y
1
以及
π
整除
z
1
,但
o
(
z
1
)<
o
(
z
)。
读者不难看出这三个结论蕴含着一个矛盾:因为如果方程
x
3
+
y
3
=
εz
3
在
中存在非零解,则根据(Ⅰ)和(Ⅱ)可选择非零的复整数
x
,
y
,
z
以及某个单位
ε
,使得
x
3
+
y
3
=
εz
3
并且
π
不整除
xy
以及
π
2
整除
z
。按照(Ⅲ)的结论,又可选择非零的复整数
x
1
,
y
1
,
z
1
和单位
ε
1
,使得
,并且
π
不整除
x
1
y
1
及
π
整除
z
1
,但1≤
o
(
z
1
)<
o
(
z
)。再由(Ⅱ)知
π
2
也整除
z
1
,重复(Ⅲ)的结论又可得到非零的复整数
x
2
,
y
2
,
z
2
和单位
ε
2
,使得
,且
π
不整除
x
2
y
2
及
π
整除
z
2
,但1≤
o
(
z
2
)<
o
(
z
1
)<
o
(
z
)。显然,这个过程不能无限地重复下去,有限步以后必然得到矛盾。由此即证
x
3
+
y
3
=
εz
3
在
中没有非零的解,特别地,取
ε
=1即知不定方程
x
3
+
y
3
=
z
3
也没有非零的整数解。
下面逐一给出上述三个结论的详细证明,供有兴趣的读者赏析。
Ⅰ.证明:设复整数
x
,
y
,
z
满足
x
3
+
y
3
=
εz
3
且
xyz
0,必要时两边消去公因子,故可进一步假设
x
,
y
,
z
两两互素。如果
π
不整除
x
,
y
,
z
,根据(8)中性质3,两边取模
π
4
的余数即得±1±1≡±
ε
(mod
π
4
),归结成两种情形:0≡
ε
(mod
π
4
)或±2≡
ε
(mod
π
4
)。前者显然不成立,后者表明
π
4
整除2±
ε
,更有
N
(
π
4
)整除
N
(2±
ε
)。但
N
(
π
4
)=
N
(
π
)
4
=3
4
,而
ε
=±1,±
ω
,±
ω
2
,故
N
(2±
ε
)的全部取值为1,3,7,9,均不被3
4
整除,矛盾。由此表明
π
必整除
xyz
。
如果 π 不整除 yz ,则 π 必整除 x 。在 x 3 + y 3 = εz 3 两边再取模 π 4 的余数,有±1≡± ε (mod π 4 ),亦即 π 4 整除 ε ±1。比较范数即知 ε ±1=0,此时可把原方程变形为(± z ) 3 + y 3 =(- x ) 3 。同理,当 π 不整除 xz 时必有 π 整除 y ,原方程也可变形为 x 3 +(± z ) 3 =(- y ) 3 。总之,可归结成 π 不整除 xy 但 π 整除 z 的情形,(Ⅰ)得证。
Ⅱ.证明:在 x 3 + y 3 = εz 3 的两边再取模 π 4 的余数,得±1±1≡ εz 3 (mod π 4 ),又分两种情形:0≡ εz 3 (mod π 4 )或±2≡ εz 3 (mod π 4 )。前者表明 π 4 整除 z 3 ,从而 π 2 能整除 z 2 ;后者从 π 整除 z 可推出 π 整除±2,因而 N ( π )=3整除 N (±2)=4,矛盾。总之,证明了当 π 不整除 xy 时必有 π 2 整除 z ,从而(Ⅱ)也成立。
Ⅲ.证明:设不为零的复整数 x , y , z 满足 x 3 + y 3 = εz 3 ,并且 π 不整除 xy 以及 π 2 整除 z 。必要时两边消去公因子,不妨设 x , y , z 两两互素。显然( x + y )( x + ωy )( x + ω 2 y )= εz 3 。从 π 2 整除 z 可知 εz 3 关于 π 的指数 o ( εz 3 )≥6,所以上式左边的三项 x + y , x + ωy , x + ω 2 y 中至少有一项关于 π 的指数不小于2。必要时可用 ωy 或 ω 2 y 替换 y ,不妨假定 o ( x + y )≥2。因为 π 不整除 y ,故 o ((1- ω ) y )= o ( πy )=1以及 o ((1- ω 2 ) y )= o ((1+ ω ) πy )=1。根据(8)中有关计算 π 指数的公式,有
o ( x+ωy ) =o (( x+y ) - (1 -ω ) y ) = 1,
o ( x+ω 2 y ) =o (( x+y ) - (1 -ω 2 ) y ) = 1,
o ( x+y ) =o ( εz 3 ) -o ( x+ωy ) -o ( x+ω 2 y ) = 3 o ( z ) - 2。
现在求 x + y , x + ωy , x + ω 2 y 中任意两个复整数的最大公因子。设素元 ρ 整除 x + y 和 x + ωy ,则 ρ 也整除二者之差(1- ω ) y = πy ,从而有 ρ 整除 π 或者 ρ 整除 y 。但 ρ 整除 y 时必整除( x + y )- y = x ,矛盾于 x , y 互素的假定。所以 ρ 整除 π ,从而 ρ 与 π 相伴。由此表明 x + y 和 x + ωy 的最大公因子只能是 π 的某个幂及其相伴元。同理可证 x + ωy 和 x + ω 2 y ,以及 x + y 和 x + ω 2 y 的最大公因子也都是 π 的某个方幂及其相伴元。又因为三个复整数 x + y , x + ωy , x + ω 2 y 的乘积等于 εz 3 ,根据素元分解的唯一性可设
x + y = η 1 π k α 3 , x + ωy = η 2 πβ 3 , x + ω 2 y = η 3 πγ 3 ,
其中 η 1 , η 2 , η 3 均为单位, k = o ( x + y )=3 o ( z )-2,而 α , β , γ 为两两互素的复整数,且 π 不整除 α , β , γ 。显然
0=( x + y )+ ω ( x + ωy )+ ω 2 ( x + ω 2 y )= η 1 π k α 3 + ωη 2 πβ 3 + ω 2 η 3 πγ 3 ,
两边消去 π 即得
η 1 π k -1 α 3 + ωηβ 2 3 + ω 2 η 3 γ 3 =0。
注意到 ωη 2 也是单位,故两边同乘( ωη 2 ) -1 后又变为
( ωη 2 ) -1 η 1 π k -1 α 3 + β 3 +( ωη 2 ) -1 ( ω 2 η 3 ) γ 3 =0。
再记
,
ε
2
=(
ωη
2
)
-1
(
ω
2
η
3
)以及
z
1
=-
π
o
(
z
)-1
α
,则
ε
1
,
ε
2
均为单位,并且上式变为
因为 π 不整除 β 和 γ ,根据(8)中的性质3,有
β ≡±1(mod π 4 ),
更有
β ≡±1(mod π 2 )。
同理
γ ≡±1(mod π 2 )。
所以在
的两边取模 π 2 的余数即得
±1± ε 2 ≡0(mod π 2 ),
等价于说 π 2 整除1± ε 2 ,从而 N ( π 2 )=3 2 也整除 N (1± ε 2 )。但 N (1± ε 2 )的全部可能取值仅为0,1,3,4,只有1± ε 2 =0,即 ε 2 =±1。
最后,令
x
1
=
β
,
y
1
=
ε
2
γ
,则
。显然
π
不整除
x
1
y
1
但
π
整除
z
1
,并且
o
(
z
1
)=
o
(
z
)-1<
o
(
z
)。这就证明了(Ⅲ)。
至此就完成了指数为3的费马大定理的证明。读者不难看出,尽管高斯提供的这个证法已属于现代风格了,但一般情形下的费马大定理的证明,该是何等的艰深啊!