



求两个数,使得它们平方的乘积加到这两个数中任何一个数的平方上仍是一个平方数,即求两个数 a , b ,使得 a 2 b 2 + a 2 和 a 2 b 2 + b 2 均为平方数。
这是古希腊数学家丢番图在其划时代巨著《算术》一书中提出的一个问题,需要说明的是,丢番图只承认正有理数解,而且通常满足于找到一个解即可,所以上述丢番图问题中的两个数 a 和 b 均被限制为正有理数。关于该问题,丢番图给出的解答是 a =3/4, b =7/24。但人们感兴趣的是,这个丢番图问题是否还有其他的正有理数解,以及如何找出所有这样的解。
现在给出丢番图问题的所有正有理数解。假设 a , b , u , v 均为正有理数,满足
因为 a 和 b 均不为零,故式(1)可变形为
接着,通过去掉分母把式(2)中的正有理数都化为正整数,即选取正整数 c 使得 bc 和 cu / a 均为正整数;同理选取正整数 d 使得 ad 和 dv / b 也都是正整数。在式(2)中的两个方程的两端分别乘以 c 2 和 d 2 ,则式(2)可等价地变换为
由此即可看出式(3)中的两组正整数 bc , c , cu / a 以及 ad , d , dv / b 均为不定方程 x 2 + y 2 = z 2 的正整数解,根据问题010中的结论,不定方程 x 2 + y 2 = z 2 的全部正整数解可表示为
x = k (2 st ), y = k ( s 2 - t 2 ), z = k ( s 2 + t 2 ),
或者
x = k ( s 2 - t 2 ), y = k (2 st ), z = k ( s 2 + t 2 )。
其中 k , s , t 均为任意正整数,但要求 s 和 t 互素, s > t ,并且 s 和 t 中一个为奇数而另一个为偶数。因此,从 bc , c , cu / a 为不定方程 x 2 + y 2 = z 2 的一组正整数解,可令
bc = k (2 st ), c = k ( s 2 - t 2 )
或者
bc = k ( s 2 - t 2 ), c = k (2 st )。
由此可求出 b 的两个取值为
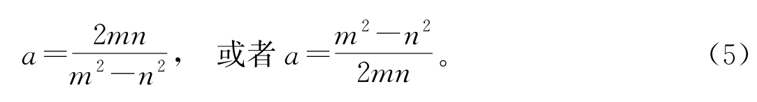
同理,从 ad , d , dv / b 为不定方程 x 2 + y 2 = z 2 的一组正整数解,亦可求出 a 的两个取值为
其中 m , n 为任意正整数,但要求 m 和 n 互素, m > n ,并且 m 和 n 中一个为奇数而另一个为偶数。
最后验证上述式(4)和式(5)分别给出的 b 和 a 的值即为丢番图问题的全部正有理数解。事实上,由式(4)得到
表明 b 2 +1是一个有理数的平方,从而 a 2 b 2 + a 2 = a 2 ( b 2 +1)也是一个有理数的平方。同理,由式(5)得到
也表明 a 2 +1是一个有理数的平方,从而 a 2 b 2 + b 2 = b 2 ( a 2 +1)也是一个有理数的平方。至此,丢番图问题的全部正有理数解 a , b 可由式(4)和式(5)给出。注意到从式(4)和式(5)得到的 a , b 之值本质上是相同的,故丢番图问题的全部正有理数解为下述形式的任意两个数:
其中 s , t 为任意正整数,但要求 s 和 t 互素, s > t ,并且 s 和 t 中一个为奇数而另一个为偶数。
取 s =2和 t =1,则( s 2 - t 2 )/(2 st )=3/4;再取 s =4和 t =3,则( s 2 - t 2 )/(2 st )=7/24。这就是丢番图本人给出的两组正有理数解。显然,通过对 s , t 选取满足所述条件的其他正整数,均可得到丢番图问题的正有理数解。由此不难看出,丢番图问题有无穷多组解。
在结束本问题之前,提及一个丢番图的趣事。虽然丢番图是古希腊伟大的数学家之一,他所写的13卷巨著《算术》在数学史上影响之大,可与欧几里得的《几何原本》相媲美,但目前人们对其生平事迹所知甚少。即使是丢番图的生卒年代,也只能靠一些古籍上的记载推测为公元246年到公元330年之间,比较可信的说法是他的活跃时期在公元250年前后。有趣的是,关于丢番图的生平,流传下来的却是他那别具一格的墓志铭,据说墓碑上镌刻着这样的话:“上帝赐给他生命的1/6为童年;再过生命的1/12,他的双颊长出了胡子;又过了生命的1/7,他举行了婚礼;婚后的第5年天赐贵子。唉,这个不幸的儿子只活了他父亲整个生命的一半年纪就被死神带走了。从此他以研究算术来寄托哀思,但在4年之后也离开了人世。”这个奇特的墓志铭隐含了丢番图享年84岁的信息,感兴趣的读者不妨自己验算一下。