



求方程 x 2 + y 2 = z 2 的全部正整数解。
勾股定理是在中学就已经学过的一个平面几何的基本定理,距今已有几千年的历史了。该定理断言在每个直角三角形中,两条直角边的平方和等于斜边的平方。在我国古代数学名著《周髀算经》里,曾记载了数学家商高回答周公提出的一些有关数的问题,从中可以看出商高已经知晓了勾股定理的内容,所以勾股定理在我国学术界又称为商高定理。另外,古代的巴比伦人、埃及人和印度人也都掌握了这个定理的一些特殊情况,但只有古希腊的毕达哥拉斯学派在公元前500年前后才使用比例和相似三角形理论给出了一般形式的证明,国外数学界也因此称勾股定理为毕达哥拉斯定理。
勾股定理的得名是这样的:在我国古代把直角三角形称为“勾股形”,把直角三角形中较小的直角边称为“勾”,另外一个直角边称为“股”,剩下的斜边称为“弦”。古人还总结出了“勾三股四弦五”的说法,指的是边长分别为3,4,5的三角形不仅是直角三角形,而且三条边的长度还满足关系式3 2 +4 2 =5 2 。
目前发现的有关勾股定理的证明大约有400多种,大多初等且巧妙。在此不介绍勾股定理的证明,而是详细探讨与它相关的一个基本问题:除上述的3,4,5以外,还有哪些正整数 x , y , z 也能作为直角三角形的三条边,即满足 x 2 + y 2 = z 2 呢?换句话说,就是求出不定方程 x 2 + y 2 = z 2 的全部正整数解。在历史上这是一个相当有名的问题。事实上,费马正是由于对该问题做了深入思考后,提出了著名的费马大定理(见问题013)。300多年来,这一大定理吸引了无数的数学家为之呕心沥血,通过对它的研究不仅丰富了代数数论的内容,而且极大地推动了代数数论的发展。
下面给出不定方程 x 2 + y 2 = z 2 的全部正整数解,先作两点观察:
(1)设
x
和
y
的最大公因子为
d
,则可令
x
=
dx
0
和
y
=
dy
0
,此时
x
0
和
y
0
的最大公因子为1,亦即
x
0
和
y
0
互素,所求方程变为
。因为两边均为正整数,故得
d
2
整除
z
2
,等价于说
d
整除
z
。这表明
d
是
z
的一个因子,又可令
z
=
dz
0
,从而
。由此可知,
x
2
+
y
2
=
z
2
的全部正整数解(
x
,
y
,
z
)形如(
dx
0
,
dy
0
,
dz
0
),其中
x
0
和
y
0
互素。所以,一旦求出方程
x
2
+
y
2
=
z
2
的满足
x
和
y
互素的所有正整数解,则扩大任意一个正整数倍数后即得该方程的全部正整数解。以下不妨假设
x
和
y
互素。
(2)在假定 x 和 y 互素的情形下, x 和 y 不能都是偶数,否则2即为它们的一个公因子。注意到每个奇数可表为2 k +1,而(2 k +1) 2 =4 k 2 +4 k +1,表明奇数的平方总是除以4余1。如果 x 和 y 均为奇数,则 z 2 = x 2 + y 2 除以4后的余数为2,但此时的 z 必为偶数,而每个偶数的平方都是4的倍数,此矛盾表明 x 和 y 也不能都是奇数。所以, x 和 y 只能是一个奇数和一个偶数,以下不妨设 x 为偶数而 y 为奇数。
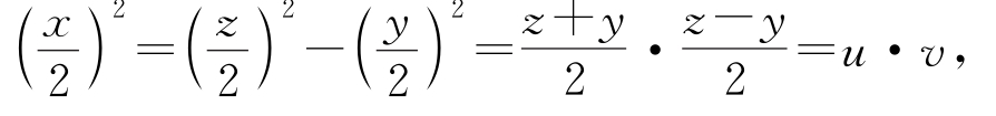
总之,在求不定方程 x 2 + y 2 = z 2 的全部正整数解时,做了以上两个简化:既要求 x 和 y 互素,又要求 x 是偶数而 y 是奇数。显然 z 也只能是奇数,故 z - y 和 z + y 都是偶数。设 z + y =2 u , z - y =2 v ,则 y = u - v ,以及 z = u + v 。由此表明 u 和 v 也只能是一个奇数和一个偶数,并且 y 和 z 的最大公因子等于 u 和 v 的最大公因子。再从 x 和 y 互素可知 y 和 z 也互素,从而 u 和 v 也互素。又
可见
u
和
v
的乘积
uv
为平方数,只有
u
和
v
本身都是平方数。令
u
=
a
2
,
v
=
b
2
,则
a
和
b
也是互素的正整数,一个为奇数而另一个为偶数,且从
u
>
v
可知
a
>
b
。最后,从
解出
x
=2
ab
,以及
y
=
u
-
v
=
a
2
-
b
2
,
z
=
u
+
v
=
a
2
+
b
2
。
反之,对任意两个正整数 a 和 b ,如果满足三个条件: a 和 b 中一个为奇数而另一个为偶数, a 和 b 的最大公因子为1,并且 a > b ,则不难验证2 ab 和 a 2 - b 2 也互素。事实上,假设 k 为2 ab 和 a 2 - b 2 的最大公因子,因为(2 ab ) 2 +( a 2 - b 2 ) 2 =( a 2 + b 2 ) 2 ,所以 k 整除 a 2 + b 2 ,从而 k 也整除( a 2 - b 2 )+( a 2 + b 2 )=2 a 2 以及( a 2 + b 2 )-( a 2 - b 2 )=2 b 2 。注意到 a 和 b 中一个为奇数而另一个为偶数,表明 k 为奇数,所以 k 同时整除 a 2 和 b 2 。再由假设 a 和 b 互素可知 a 2 和 b 2 也互素,只有 k =1,可见2 ab 和 a 2 - b 2 的确是两个互素的正整数。
至此,在 x 和 y 互素且 x 为偶数而 y 为奇数的条件下,求出方程 x 2 + y 2 = z 2 的全部正整数解为
x =2 ab , y = a 2 - b 2 , z = a 2 + b 2 。
其中 a , b 为互素的正整数,一个为奇数而另一个为偶数,且 a > b 。
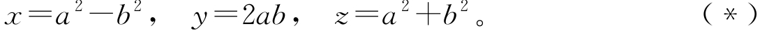
因为在 x 和 y 互素时,已经知道 x 和 y 必然是一个为奇数而另一个为偶数,所以当 x 为奇数而 y 为偶数时,根据对称性可知方程 x 2 + y 2 = z 2 的全部正整数解为
其中 a , b 为互素的正整数,一个为奇数而另一个为偶数,并且 a > b 。
最后,把上述讨论的结果总结如下:
不定方程 x 2 + y 2 = z 2 的全部正整数解为
x = k (2 ab ), y = k ( a 2 - b 2 ), z = k ( a 2 + b 2 ),
或者
x = k ( a 2 - b 2 ), y = k (2 ab ), z = k ( a 2 + b 2 )。
其中 k , a , b 为任意正整数,但要求 a 和 b 互素, a > b 并且 a 和 b 一个为奇数而另一个为偶数。
有了以上通解公式,就可以得到 x 2 + y 2 = z 2 的许多具体的解了。
取 k =1, a =2, b =1代入*式即得一组最小解 x =4, y =3, z =5或者 x =3, y =4, z =5。
再取 k =1, a =3, b =2代入*式又得到 x =12, y =5, z =13或者 x =5, y =12, z =13。
当然,随着 k , a , b 的不同选取,可以得到不定方程 x 2 + y 2 = z 2 无穷多组不同的解。