



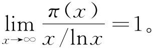
设 x 为正实数,从0~ x 之间的素数个数记为 π ( x ),则
自从公元前300年的欧几里得时代以来,素数的研究一直是数论的核心问题。既然欧几里得已经证明了有无穷多个素数,人们自然想知道素数序列2,3,5,…, p ,…在正整数序列1,2,3,…, n ,…中是如何分布的。特别是,对于给定的区间[ a , b ],如何判定其中是否存在素数?如果该区间确实包含素数,又该怎样计算区间[ a , b ]中所含素数的个数呢?从理论到应用都表明这是一个最为基本的问题。
对任意正实数 x ,记 π ( x )为小于或等于 x 的素数的个数,即 π ( x )为区间[0, x ]中所含的素数的个数。如果能够找到计算 π ( x )的有效方法,则区间[ a , b ]中的素数的个数就能精确地估计出来。事实上,当 a 本身不是素数时,[ a , b ]中的素数个数恰为 π ( b )- π ( a );而当 a 本身为素数时,则[ a , b ]中的素数个数就等于 π ( b )- π ( a )+1。所以,为了研究素数在正整数中的分布情形,特别是想估计素数在正整数中分布的稀疏程度或者增长速度,问题就归结为研究这个神秘的数论函数 π ( x )。
最初,人们期望 π ( x )最好能有一个公式,一个便于计算和分析的表达式。这主要是受19世纪以前函数概念的束缚,当时的数学家普遍认为每个函数均有一个表示公式。法国数学家勒让德曾证明 π ( x )不存在有理的表达式,亦即 π ( x )不是一个有理函数。在很长一段时期内他致力于寻找 π ( x )可能存在的其他表达式,但最终不得不予以放弃。既然寻求 π ( x )表示公式的希望如此渺茫,迫使人们意识到这样的表示公式或许根本就不存在。于是,数学家们不得不改变初衷,转而寻求 π ( x )的一个好的逼近,即寻找这样一个函数,它和 π ( x )的取值非常的接近,从而能大体上告诉我们有关 π ( x )的一些基本信息,特别是在区间[0, x ]中素数的个数大致有多少。
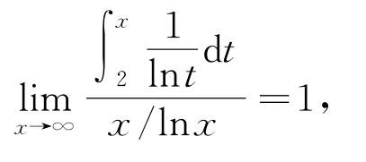
1792年高斯在15岁时,通过对3000000以内的一切素数做了大量的统计和分析,推测出
π
(
x
)和积分函数
在取值上是非常接近的,这里的对数函数ln
t
是自然对数,亦即其底数为自然常数e
=
2.71828…。但美中不足的是积分函数
较难计算,而且没有显然的表示公式。为了用一个更为简单的函数来替代它,高斯发现
于是,他猜测
换句话说, x /ln x 应该是素数函数 π ( x )的一个好的逼近,亦即 π ( x )的取值可以用 x /ln x 的取值来近似。随着 x 的不断增大, x /ln x 越来越接近 π ( x ),这相当于说它们的比值越来越接近于1。这就是所谓的素数定理,但高斯并未发表这一结论。1798年法国数学家勒让德也猜测到一个类似的素数公式,在1801年最终得到上述素数定理的一个等价表述。
时至今日,仍然不十分清楚少年高斯究竟是如何通过分析大量的数据而提出上述逼近公式的,要知道那个年代并没有计算机,一切的计算只能靠手工进行。我们除了对高斯卓越的计算天赋深感钦佩外,也对这种“实验数学”的研究风格十分推崇。因为能从自然现象或实验数据中直接发现新的数学定理,往往是最具原创性的成果,必将对数学的进一步发展产生深远的影响。素数定理就是这样一个不可多得的数学定理,事实上,从它的最初发现直到100多年以后的完整证明,甚至到1982年克莱瓦尔得到的最为简化的证明过程,200多年来人们关于素数定理所作的大量深入且细致的研究,更加显示了素数定理在整个数论乃至数学中的重要地位。
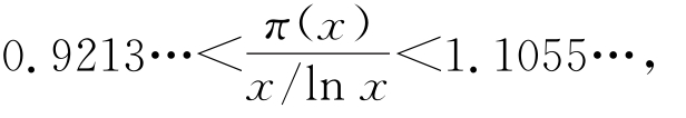
虽然18世纪的数学家们已经猜想出素数定理的内容,但它的严格证明却远远超出了那个时代的数学发展水平。直到1848年,俄国伟大的数学家切比雪夫在该问题的研究上首先获得了突破。切比雪夫不仅是一位非常多才的数学家,而且对用初等方法解决超级难题具有罕见的特长。通过引入切比雪夫不等式,并使用一系列巧妙且初等的不等式估值技巧,终于证明了对于足够大的 x ,成立
并且切比雪夫还证明了:如果
在
x
→∞时确有极限,则该极限值必为1。随后,许多数学家对切比雪夫给出的不等式进行了不断的改进,但都没能证明
,以至于怀疑该极限到底是否真的存在。特别值得一提的是,英国数学家西尔维斯特在1881年曾说:“要想证明素数定理,我们或许还要等待世界上诞生这样的一个人,他的智慧和洞察力就像切比雪夫一样,证明自己是超人一等的。”
到了1896年,法国数学家阿达马通过对黎曼猜想以及复变函数中整函数理论所作的深刻研究,终于证明了素数定理。另外,比利时数学家瓦莱·普桑几乎在同一时期也独立地得到了素数定理的证明。这项工作被看成是19世纪解析数论中最伟大的成就。
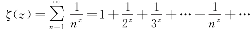
另一方面,阿达马和瓦莱·普桑关于素数定理的证明过于艰深,尤其是用到了黎曼 ζ 函数
(见问题092)在复平面
x
=1的直线上没有零点这一深刻的事实,即他们首先证明了对每个实数
y
,均有
ζ
(1+
yi
)
0。所以,在随后的研究中,人们对这个证明还不甚满意,希望能找到一种较为初等的证明方法。虽然美国数学家维纳曾给出过素数定理的一个简化证明,但他所用的方法并不初等。经过许多次失败的尝试后,许多人对素数定理是否存在一个初等的证明表示了怀疑。特别是英国数论大师哈代在1921年一次数学会议上发表演讲时曾说:“如果谁给出了素数定理的初等证明,那他就证明了我们现在关于数论中的许多见解是错误的,从而到了该丢掉一些著作并且要重写理论的时候了。”他认为素数定理的初等证明是根本不存在的。
美国著名的科普作家阿西莫夫在总结科学研究的方法论时,曾幽默地提出了三条“定律”。他的第一定律说:“如果一个科学权威断言某件事情是不可能的,那他的观点往往很可能是错误的。”有趣的是,在哈代身上正好应验了阿西莫夫的这条定律。28年后,挪威32岁的青年数学家塞尔伯格和匈牙利另一位青年数学家埃尔多斯同时用初等方法独立地给出了素数定理的证明。值得指出的是:塞尔伯格还因其对黎曼猜想所作的深刻研究于1950年荣获菲尔兹奖。
至此,有关素数定理的证明似乎应该结束了,但故事还没有完。因为塞尔伯格和埃尔多斯对素数定理的证明虽然初等,却过于繁杂和冗长,不符合数学家的审美标准。又过了30多年,克莱瓦尔在1982年发现了一个更为简单和巧妙的证明。他的证明过程只有短短的几页,也只涉及复变函数中的一些初等事实。现在的问题是数学家会对这个证明十分满意吗?毕竟克莱瓦尔的证明对高中生来说仍非易事。考虑到现代数学的不断发展以及数学家们的精益求精,我们有理由期待在不久的将来,人们会找到素数定理的一个简洁且直观的证明。当然,这个证明最好只用到一些简单的微积分知识,以便高中生和大学低年级学生都能够品味和欣赏。