



是否有无穷多对亲和数?
亲和数(amicable numbers),又称友好数、相亲数,指的是这样的一对正整数 a 和 b ,其中 a 的所有真因子的和等于 b ,同时 b 的所有真因子的和等于 a 。
第一对亲和数是220和284,这也是最小的一对亲和数,是古希腊数学家毕达哥拉斯发现的。由于220=2 2 ×5×11,其全部真因子为1,2,4,5,10,11,20,22,44,55,110,相加正好等于284;而284=2 2 ×71,全部真因子为1,2,4,71,142,加起来恰为220。
关于“亲和数”这个名称,据传是毕达哥拉斯在解答弟子的问题时提到的。毕达哥拉斯认为“万物皆数”,有一个弟子请教道:“我结交朋友时,也存在数的作用吗?”毕达哥拉斯回答说:“朋友是你灵魂的倩影,要像220和284这两个数一样亲密。”接着又说:“什么叫朋友?就像这两个数,一个是你,另一个是我。”后来,他的弟子们就宣传说:正如人与人之间讲友谊,数和数之间也有“相亲相爱”。从此,人们就把220和284叫作“亲和数”,也称为“友好数”或“相亲数”。
令人惊奇的是,看起来如此美妙的亲和数,在随后两千多年间竟然一直没有发现第二对亲和数。有人甚至怀疑220和284是唯一的一对亲和数,果真如此的话,那亲和数就太稀缺了。
直到1636年,费马找到了新的亲和数:17296和18416。两年后笛卡儿给出了第三对亲和数:9363584和9437056。大数学家欧拉对亲和数做了仔细的计算,在1747—1750年,总共给出了60对亲和数。例如,2620和2924,5020和5564,6232和6368,等等。出乎预料的是,欧拉遗漏了一对较小的亲和数:1184和1210,这是1867年被一位16岁的意大利少年帕格尼尼发现的。
借助于计算机和互联网技术,人们目前已经发现了12000000多对亲和数。把亲和数中的较小数,按从小到大排序,则前10个亲和数列举如下:
(1)220和284,
(2)1184和1210,
(3)2620和2924,
(4)5020和5564,
(5)6232和6368,
(6)10744和10856,
(7)12285和14595,
(8)17296和18416,
(9)63020和76084,
(10)66928和66992。
仔细观察这些已知的亲和数,有两个一直令人感到困惑的问题:
(1)是否有无穷多对亲和数?
(2)亲和数中的两个数,是否总是一对奇数或一对偶数,而不会是一个奇数和一个偶数?
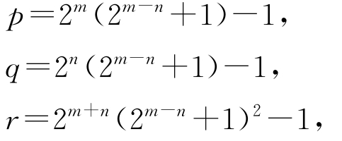
在历史上,寻找亲和数是一个异常艰辛的过程,人们至今尚未找到一般性的方法。虽然猜测和构造了几个数学公式,期望能得到新的亲和数,但都效果不大。值得一提的是,欧拉提出的亲和数计算公式:如果 m > n 均为正整数,使得下述三个数都是素数:
则2 m pq 和2 m r 就是一对亲和数。遗憾的是,使用这个欧拉公式,总共就找到了5对亲和数,相应参数 m 和 n 的取值为
类似欧几里得给出的偶完全数公式(见问题006),人们自然也期望找到一个简明而有效的数学公式,能给出更多的亲和数,从而揭示出亲和数的很多奥秘。但这样的一个美好的亲和数公式,是否真的存在呢?