



完全数有无穷多个吗?特别地,存在一个奇完全数吗?
完全数(perfect number),也翻译为完美数,是公元前6世纪由古希腊毕达哥拉斯学派首先引入的。如果一个正整数等于其所有真因子的和,则称这个数为完全数。这个学派提出了“万物皆数”的哲学观点,对数字情有独钟,认为完全数之美妙在于体现了一个事物的整体等于其部分之和的自然规律。
例如,第一个完全数是6=2×3,它有三个真因子1,2,3,相加得到1+2+3=6。第二个完全数是28=2 2 ×7,真因子为1,2,4,7,14,相加得到1+2+4+7+14=28。第三个完全数是496=2 4 ×31,真因子为1,2,4,8,16,31,62,124,248,相加等于496。
欧几里得在《几何原本》中研究了完全数,并证明了一个重要结论:如果2 p -1是素数,则2 p -1 (2 p -1)必然是一个完全数。读者不难看出,条件2 p -1是素数,恰好等于说2 p -1是梅森素数 M p (见问题005)。因此,欧几里得这个结论可以改写为:对每个梅森素数 M p ,均有 M p ( M p +1)/2为完全数。迄今为止总共发现了51个梅森素数,故可得到相应的51个完全数。
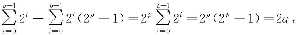
欧几里得关于完全数的结论,其证明是一个简单的计算。设 a =2 p -1 (2 p -1),其中2 p -1为素数,则 a 的所有因子为2 i 和2 i (2 p -1),在此 i =0,1,…, p -1。把这些因子相加得到:
表明 a 的所有真因子求和等于 a ,即证 a 为完全数。
注意到欧几里得的完全数公式给出的都是偶完全数。一个奇妙的发现是在18世纪,著名数学家欧拉证明了每个偶完全数均可写成2 p -1 (2 p -1),其中2 p -1为素数(即梅森素数)。由此表明欧几里得实际上找到了所有偶完全数的表达式,从而建立了偶完全数和梅森素数的一一对应,故偶完全数的研究可归结为梅森素数。
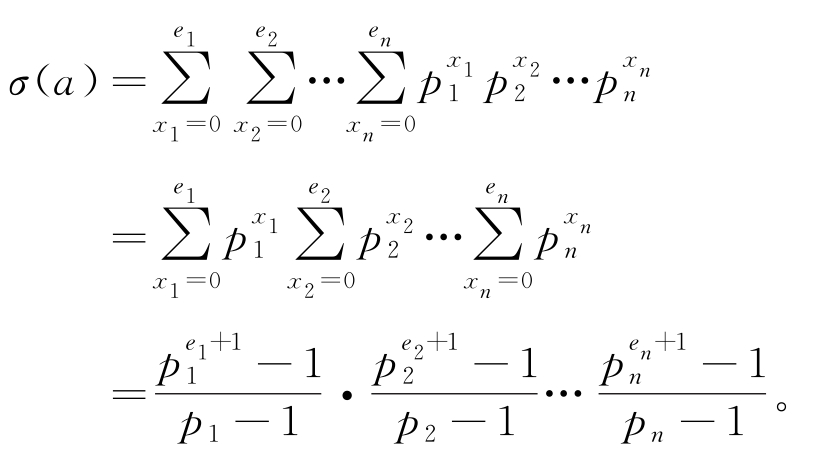
欧拉完全数定理的证明虽然初等,但还是比较巧妙的,需要使用一个数论函数 σ 的性质。观察上述三个完全数的例子,在判别一个给定的正整数是否为完全数时,需要先求出其所有的真因子,然后再把这些真因子加起来。根据算术基本定理(见问题001),每个大于1的正整数 a 总能写成有限个素数的乘积,合并相同的素因子后,可改写为不同素数幂的乘积,即
其中 p 1 , p 2 ,…, p n 是不同的素数,每个 e i 都是正整数。此时不难看出 a 的所有因子可表示为
记 σ ( a )为 a 的所有因子之和,这是数论中一个重要的函数,按定义可知, a 为完全数等价于 σ ( a )- a = a ,即 σ ( a )=2 a 。直接计算可得 σ ( a )的表达式为
至此即可证明函数 σ 的一个重要性质,即 σ 为“积性函数”:当 a 和 b 是互素的正整数时,由于 a 和 b 没有共同的素因子,根据上述 σ 的计算公式,不难看出 σ ( ab )= σ ( a ) σ ( b )。
有了上述准备,现在可给出欧拉完全数定理的证明。设 a 为偶完全数,需要证明的是 a =2 p -1 (2 p -1),其中2 p -1为素数(即梅森素数)。由于 a 是偶数,可令 a =2 p -1 b ,其中 p ≥2且 b 为奇数。按完全数的定义,可知 σ ( a )=2 a ,即 σ (2 p -1 b )=2 p b 。因为 b 为奇数,故与2 p -1 互素,已知 σ 是积性函数,所以
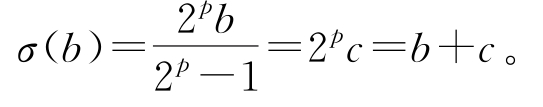
注意到2 p -1为奇数,故整除 b ,可设 b =(2 p -1) c 。此时 c < b ,故为 b 的一个真因子,并且 b + c =2 p c 。又有
按定义 σ ( b )是 b 的所有因子之和,而 b 和 c 是 b 的两个不同的因子,故上式表明 b 只有两个因子 b 和 c ,只能是 b 为素数且 c =1,即 b =2 p -1为素数,而 a =2 p -1 b =2 p -1 (2 p -1)。
综合欧几里得和欧拉关于完全数的研究,可知所有的偶完全数均可由梅森素数表出。但目前无法证明有无穷多个梅森素数,故偶完全数是否无穷多个,仍是数论中尚未解决的难题。特别地,至今一直没能发现一个完全数是奇数,到底是否存在奇完全数,同样是几千年来难以回答的数论之谜题。人们对奇完全数也做了很多探讨,一个最新的进展是:如果存在奇完全数,那么它非常大,至少要大于10 300 。