



直接电位法是通过测量原电池电动势来确定指示电极的电位,利用电极电位与待测离子浓度之间的函数关系直接求出被测物质的浓度。
将待测试液作为化学电池的电解质溶液,并将指示电极和参比电极共同浸入待测试液中,构成原电池,通过用电极电位仪(pH计或离子计)在零电流条件下,测量此电池的电动势,再根据其电极电位与待测物质浓度的确定函数关系,即可求得被测离子的浓度。
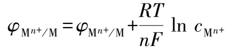
例如,某种金属M与其金属离子M n + 组成的指示电极M n + /M,根据能斯特公式,其电极电势可表示为
其中,
为金属离子M
n
+
的相对浓度,因此,若测量出
,即可由上式计算出M
n
+
的浓度。由于单一电极的电位是无法测量的,因而一般是通过测量该金属电极与参比电极所组成的原电池的电动势
E
,即
在一定条件下,
φ
参比
和
为恒定值,可合并为常数
K
,则
式(1.11)表明,由指示电极与参比电极组成原电池的电池电动势是该金属离子浓度的函数,因此可求得
。这是直接电位法的理论依据。
用直接电位法测定溶液的pH,是以玻璃电极为指示电极,饱和甘汞电极为参比电极。
玻璃电极(Glass Electrode,GE)是重要的H + 离子选择性电极,其电极电位不受溶液中氧化剂或还原剂的影响,也不受有色溶液或混浊溶液的影响,并且在测定过程中响应快,操作简便,不沾污溶液,因此,用玻璃电极测量溶液的pH得到广泛应用。
玻璃电极属于膜电极,其构造如图 1.5 所示。电极的下端由特殊玻璃制成的厚度为 0.05~0.1 mm球形玻璃膜,这是电极的关键部分。在玻璃膜内装有一定浓度的HCl溶液作为内参比溶液,在内参比溶液中插入一根银-氯化银电极作为参比电极。因玻璃电极的内阻太高,故导线及电极引出线都要高度绝缘,并装有屏蔽罩,以免产生漏电和静电干扰。
图 1.5 玻璃电极示意图
1—玻璃膜;2—内参比溶液;3—内参比电极(Ag-AgCl);4—玻璃管;5—接线
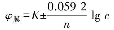
玻璃电极在使用前必须在水中浸泡一定的时间,这一过程称为水化。玻璃敏感膜水化时一般能吸收水分,在玻璃膜表面形成一层很薄的水合硅胶层,其厚度为 0.01~0.1 μm。该层表面上Na + 电位几乎全被H + 所替换。当浸泡好的玻璃电极插入溶液中时,水化凝胶层与溶液接触,由于凝胶层表面上的H + 浓度与溶液中的H + 浓度不相等,H + 便从浓度高的一侧向浓度低的一侧迁移,当达到平衡时,在溶液与膜相接触的两相界面之间形成双电层,由于膜外侧溶液的H + 浓度与膜内溶液的H + 浓度不同,则内外膜相界电位也不相等,这样跨越玻璃膜产生的电位差,则称为玻璃电极的膜电位。
由于内参比溶液H
+
浓度是一定的,
为一常数,因此
φ
膜的大小主要是由膜外待测溶液的H
+
浓度决定的,所以 25 ℃时的电极电位可表示为
因pH=-lg
,则
玻璃电极的电位是由膜电位和内参比电极的电位决定的,在一定条件下内参比试液是定值,因此,在 25 ℃时玻璃电极的电位可表示为
由式(1.13)可知,在一定温度下,玻璃电极的电极电位与待测溶液的pH呈线性关系。
复合电极
pH复合电极是将作为指示电极的玻璃电极和作为参比电极的银-氯化银电极组装在两个同心玻璃管中,看起来好像是一支电极,称为复合电极,如图1.6所示。
图1.6 pH复合电极
pH复合电极具有体积小、使用方便、坚固耐用、被测试样用量少,可用于狭小容器中测试等优点。把pH复合电极放入待测溶液中,即组成一个完整的原电池体系。pH复合电极发展很快,目前广泛用于溶液pH的测定。
①玻璃电极在使用前应在蒸馏水中浸泡 24 h以上。浸泡的目的主要是形成比较稳定的水化凝胶层,降低和稳定不对称电位,使电极对H + 有稳定的响应关系。
②玻璃电极适用于测定pH范围是 1~10 的溶液;当溶液的pH<1 时,测定结果偏高,此误差称为酸差;当溶液pH>10 时,测定结果偏低,此误差称为碱差或钠差。
③玻璃电极一般在 5~50 ℃使用,在较低温度使用时,内阻较大,测定困难;温度过高,使用寿命下降。
④玻璃电极浸入溶液后应轻轻摇动溶液,促使电极反应尽快达到平衡。
⑤玻璃电极的玻璃球膜很薄,使用时要格外小心,以免碰碎。玻璃电极长期使用后,其功能有所降低,可用适当的溶剂处理,使之复新。
直接电位法测定溶液pH时,将玻璃电极和甘汞电极(或直接使用pH复合电极)浸入被测溶液中组成原电池,如图 1.7 所示。其电池符号可表示为
图 1.7 溶液pH测定装置
1—玻璃电极;2—饱和甘汞电极;3—试液;4—接pH计
(-)Ag|AgCl,HCl玻璃│试液‖KCl(饱和),Hg 2 Cl 2 ,Hg(+)或
(-)玻璃电极│待测溶液‖甘汞电极(+)
25 ℃时,该电池的电动势 E 为
由于为玻璃电极的性质常数,因此将和 0.241 2 合并得一新的常数 K ,故
式(1.14)表明,原电池的电动势和溶液的pH呈线性关系。溶液pH改变一个单位,原电池的电动势随之变化 59.2 mV,故通过测定原电池的电动势可求得溶液的pH。
但由于公式中的常数 K 值很难确定,并且每支玻璃电极的不对称电动势也不相同,不能通过测量电动势直接求pH,因此,在其测定时常采用两次测定法,以消除玻璃电极的不对称电势和公式中常数项等的影响,其测定步骤如下:
先测定已知pH(pH S )标准溶液的电动势( E S ):然后再测定未知pH(pH X )的待测溶液的电动势( E X ),即
将两式相减并整理得
测定时选用的标准缓冲溶液的pH S ,应尽可能地与待测溶液的pH X 接近,一般要求ΔpH<3。
【 案例 1.1】 计算溶液pH
在 298.15 K时,将复合电极插入pH=4 的标准溶液时,测得 E =0.168 2,换测某液时, E =0.109,该溶液pH为多少?
解 由
得
pH计也称酸度计,既可用于测量溶液的pH值,又可用于测量工作电池的电动势。根据测量要求,不同pH计又可分为普通型、精密型和工业型 3 类。读数精度最低为pH 0.1,最高为pH 0.01。pH计型号较多,不同型号的仪器其外形稍有不同,但其原理和操作方法基本相同。
用pH计测定溶液pH,不受氧化剂、还原剂及其他活性物质的影响,可用于有色物质、胶体溶液和浑浊溶液pH的测量。并且测定前不用对待测溶液作预处理,测定后不破坏、污染待测溶液,因此应用非常广泛,在卫生理化检验中,常用于水质pH的检查;在药物分析中广泛应用于注射剂、大输液、滴眼剂等制剂及其原料药物的酸碱度检查。
图 1.8 pH S -3C型pH计
1—电极夹;2—电极杆;3—电极插口(背面);4—电极杆插座;5—定位调节钮;6—斜率补偿钮;7—温度补偿钮;8—选择开关钮;9—电源插头;10—显示屏;11—面板
测定溶液中其他离子浓度与测定溶液pH值的原理和方法相似,选择对待测离子有响应的离子选择性电极作指示电极。在一定条件下,各类离子选择性电极的膜电势和待测离子浓度的对数呈线性关系。
25 ℃时
式中的正负号由离子的电荷性决定,“+”表示阳离子电极,“-”表示阴离子电极, K 为电极常数。
离子选择性电极电位不能直接测出,通常是以离子选择性电极作为指示电极,饱和甘汞电极作为参比电极,浸入被测溶液中构成原电池,通过测量原电池的电动势以求得被测离子的浓度。离子选择性电极根据测定的情况不同,可作正极,也可作负极。在一定条件下,原电池的电动势与被测离子浓度的对数呈线性关系。
当离子选择性电极作正极时,对阳离子响应的电极,公式取“+”,对阴离子响应的电极,公式取“-”, K ′为常数。若离子选择性电极作负极,则正好相反。
因此,测量原电池电动势,便可对被测离子进行定量测量。实际工作中常用以下几种方法测定被测离子的浓度。
两次测定法与用玻璃电极测量溶液的pH相似。在测量离子的浓度时,通常用SCE与离子选择性电极组成原电池,测定标准溶液(s)和试液(x)的电池电动势。若测定阳离子时,以SCE作正极;测定阴离子时,以SCE作负极。
两式相减,得
把 c s 数值代入式(1.17)(阴离子取“-”,阳离子取“+”),便可求出 c x 值。
将离子选择性电极与参比电极插入一系列浓度已知的标准溶液(5~7 个不同浓度)中,在相同条件下测出各浓度相应的电动势。
然后以测得的电动势 E (纵坐标)对浓度 c (横坐标)作图,得如图 1.9 所示的标准(工作)曲线。然后在相同条件下测量待测样品溶液的 E x 值,即可从标准曲线上查出对应待测样品溶液的离子浓度。这种方法称为标准曲线法。
图 1.9 标准(工作)曲线
标准曲线法适用于大批量试样的分析。测量时需要在标准系列溶液和试液中加入总离子强度调节缓冲液(TISAB)或离子强度调节液(ISA)。它们有 3 个方面的作用:首先,保持试液与标准溶液有相同的总离子强度及活度系数;其次,缓冲剂可以控制溶液的pH,最后,含有配位剂,可掩蔽干扰离子。
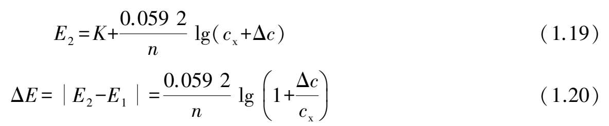
标准加入法又称为添加法或增量法。将小体积的标准溶液(一般为试液的 1/100~1/50)加入试样溶液中,通过测量加入前后的电池电动势得到待测离子浓度,该法称为标准加入法。由于加入前后试液的性质(组成、活度系数、pH、干扰离子、温度等)基本不变,所以准确度较高,适于组成较复杂试样的个别成分的测定。标准加入法可分为一次标准加入法和连续标准加入法两种,这里仅介绍一次标准加入法。
一次标准加入法:设某试液体积为 V 0 ,其待测离子的浓度为 c x ,测定电池电动势为 E 1 ,则
式中 K ——常数;
c x ——待测离子的总浓度。
然后向体积为 V 0 的试液中准确加入一小体积 V s (约为 V 0 的 1/100)的用待测离子的纯物质配成的标准溶液,浓度为 c s ,则加入标准溶液后溶液浓度的增量为
因为
V
0
≫
V
s
,可将上式简化为
。测定加入标准溶液后电池电动势为
E
2
,则
令
,则
。
此公式对阴阳离子都适用,只要测出Δ E , S ,就可计算出 c x :