



永停滴定法又称双电流滴定法。测量时,将两个相同的指示电极(通常为铂电极)插入待滴定的溶液中,在两个电极之间外加一小电压(约 50 mV),然后进行滴定;通过观察滴定过程中两个电极间电流变化的特性来确定滴定终点。该方法属于电流滴定法,其装置简单,准确度高,操作简便。
将两个相同的铂电极插入溶液中与溶液中的电对组成电池,当外加一小电压时,电对的性质不同,发生的电极反应也不同。
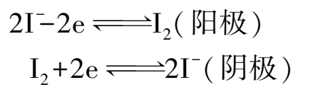
①如溶液中含有I 2 /I - 电对时,在阳极发生氧化反应,在阴极发生还原反应:
两个电极上均发生了反应,在两个电极间有电流通过。在滴定过程中,通过电流的大小是由溶液中氧化态或还原态的浓度决定的,当氧化态和还原态物质的浓度相等时,通过的电流最大,这样的电对称为可逆电对。
②溶液中含有
电对时,只能在阳极上发生下列氧化反应:
而在阴极
不能发生还原反应。由于在阳极和阴极上不能同时发生反应,因此,无电流通过,这样的电对称为不可逆电对。
根据在电极上发生的电极反应的不同,永停滴定法常分为以下 3 种类型。
以Na 2 S 2 O 3 标准溶液滴定I 2 溶液为例,滴定反应为
将两个铂电极插入I
2
溶液中,外加约 15 mV的电压,用灵敏电流计测量通过两个铂电极间的电流。化学计量点前,溶液中含有I
2
/I
-
可逆电对,电流计中有电流通过。化学计量点时,Na
2
S
2
O
3
与I
2
完全反应,不存在可逆电对,无电流通过。化学计量点过后,溶液中只有
不可逆电对和I
-
,无电流通过。即电流计指针在滴定过程中偏转后又静止不动时为滴定终点。滴定过程中电流变化曲线如图 1.14(a)所示。
以I 2 标准溶液滴定Na 2 S 2 O 3 溶液为例,滴定反应为
化学计量点前,溶液中只有
不可逆电对和I
-
,无电流通过。一旦达到化学计量点,并稍有过量溶液滴入后,溶液中就会产生I
2
/I
-
可逆电对,两极间就有电流通过。即电流计指针在滴定过程中由静止开始偏转时为滴定终点。滴定过程中电流变化曲线如图 1.14(b)所示。
以Ce(SO 4 ) 2 标准溶液滴定FeSO 4 溶液为例,滴定反应为
化学计量点前,溶液中有Fe 3+ /Fe 2+ 可逆电对和Ce 3+ ,电流计中有电流通过。化学计量点时,溶液中只有Ce 3+ 和Fe 3+ ,无可逆电对,电流计指针停在零点附近。化学计量点后,Ce(SO 4 ) 2 滴定液略过量,溶液中有Fe 3+ 和可逆电对Ce 4+ /Ce 3+ ,电流计指针又远离零点,随着Ce 4+ 离子浓度的增大,电流也逐渐增大。滴定过程中电流变化曲线如图 1.14(c)所示。
图 1.14 I - V 曲线
永停滴定法的仪器简单,操作方便,一般仪器装置如图 1.15 所示。图中 E 1 和 E 2 为两个铂电极; R 1 是 2 kΩ的线绕电阻,通过调节 R 1 可得到适当的外加电压; R 2 为 60~70 Ω的固定电阻; R 为电流计的分流电阻,作调节电流计的灵敏度之用; G 为灵敏电流计; B 为1.5 V干电池,作为供给外加低电压的电源。与电位滴定一样,滴定过程中用电磁搅拌器对溶液进行搅拌。通常只需要在滴定时仔细观察电流计的指针变化情况,当指针位置突变时即为滴定终点。
图 1.15 永停滴定法仪器装置
不同型号的永停滴定仪,原理都相同,操作稍有不同。现在也有自动永停滴定仪、智能永停滴定仪,操作简单,使用方便。
永停滴定法确定化学计量点比指示剂法更为确定、客观,比电位滴定法更简便。因此,广泛应用于药物分析中。例如,《中国药典》(2015 版)规定重氮化滴定法的终点确定方法如下:
调节 R 1 使加于电极上的电压约为 50 mV。取供试品适量,精密称定,置烧杯中,除另有规定外,可加入水 40 mL与盐酸(1→2)15 mL,而后置电磁搅拌器上搅拌使其溶解,再加溴化钾2 g,插入铂-铂电极后将滴定管的尖端插入液面下约 2/3 处,用亚硝酸钠滴定液(0.05~0.1 mol/L)迅速测定,并随滴随搅拌。接近终点时,将滴定管的尖端提出液面,用水冲洗后继续缓缓滴定。
化学计量点前溶液中不存在可逆电对,即电流计指针停止在“0”位(或接近“0”位)。当到达化学计量点后,则溶液中稍过量的亚硝酸及其分解产物一氧化氮作为可逆电对同时存在,两个电极上的电解反应为
阳极:NO+H
2
O-e
HNO
2
+H
+
阴极:HNO
2
+H
+
+e
NO+H
2
O
此时电路中有电流通过,电流计指针发生偏转,并不再回到“0”位,即电流计指针突然偏转并不恢复即为终点。