



根据电荷相斥、相吸的原理,电荷在导体中快速自由移动时,会迅速向导体外表面迁移,使彼此的距离最小化。当电荷完成重新分布后,导体各部分上的电压相等(形成等电位)。这是一种必然的结果——存在电位差则会产生新的电流,直到达到等电位状态。
电荷在绝缘体中不能自由运动,因此绝缘体表面每一点的电压与相邻点的不同。对于导电性能中等的材料,表面电压趋近等电位所消耗的时长将数倍于时间常数。
对于具有高电阻率和大时间常数的物体,如果等待的时间足够漫长(假设电场源没有发生快速变化),电荷将重新分布至等电位。但与此同时,表面电压可能会出现变化。
对于距离较远的点电荷或球形电荷,平衡电荷的电场强度随距离 r 的增大而迅速衰减,并与1/ r 2 成正比。这时,电场线呈放射状向外扩散(见图2.4)。实际上,产生静电源的物体往往由于体积太大而不能被看作点源。
图2.4 点电荷/球形电荷所产生的电场线(虚线)
对于体积较大的和形状不规则的物体,电场线的形状差异很大,电场强度衰减速度可能缓慢得多。在工程应用中,电场线会在导体的不同电压位置出现或消失,并且在任何区域都随时可能出现或多或少的变形。
如果平行极板足够大,在平行极板间,远离极板边缘的静电场均匀分布(见图2.5),两电极之间的电场线是平行的。当远离极板边缘时,电场 E 是均匀的,通过极板之间的电位差 V 和极板之间的距离 d 很容易计算出 E 的值。
E = V / d
图2.5 平行极板间的静电场
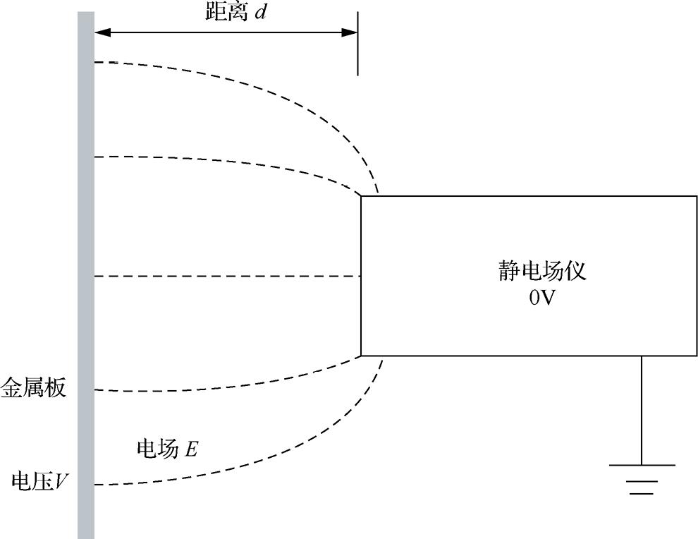
如果将导体置于静电场中,电场线总是以与导体表面成直角的方式出现,导体会使电场向自身靠拢。作为反馈,导体上的电荷将被重新分布,直至整个导体表面的电压都相同。这种现象将导致一种后果:用来测量静电场的任何仪器都会不可避免地改变其所测量的场。图2.6展示了电压为 V 的金属板和接地静电场仪之间的静电场是如何发生此种变化的。设备测量到的值实际上是高于 V/d 的。当然,同样的影响也会发生在其他任何元件上,如当PCB或其他ESDS产品被带入现场时。导体表面电场线的密度与其表面的电场强度和电荷密度有关,电场线的密度高代表电场强度大。
图2.6 电压为 V 的金属板和接地静电场仪之间的静电场
电场线具有向物体的尖端或边缘积聚的特性,在这些位置静电场更强。因此静电放电往往出现在物体的尖端或边缘的高电场强度区域。可对静电放电的这一特性加以利用。例如,使用针尖产生强电场和电晕放电作为离子源,在离子化静电消除器中进行电荷中和。
带电绝缘体表面的情况更加复杂。绝缘体带电时,表面的电荷密度参差不齐。表面电压高度依赖表面电荷密度和附近的其他材料。
当导体被完全置于电场中时,表面的电荷会发生流动,直到表面上所有的点都处于相同的电位。这是因为存在任何电位差都会使电流继续在导体中流动。如果物体是空心的,那么其内部电场为0,因为空心的边界会出现等电位。因此,放置在空心导体内的物体将发生屏蔽效应,不受外部电场的影响。这种空心导体称为法拉第笼(见图2.7)。
图2.7 法拉第笼
如果把导体等效为电容,我们可以很快明白:在附近的带电体及其电场的影响下,孤立导电体上的电压会发生变化。
如图2.8所示,接地静电场仪正在监测一块金属板的电压 V m 。在金属板和静电场仪之间有一个有效电容 C m 。金属板没有携带净电荷,初始电压为0。
图2.8 金属板在电场中产生电压
当一个带正电荷的物体接近金属板时,随着两者之间距离的减小,带正电荷物体与金属板上越来越多的负电荷相互吸引、耦合,这些负电荷被吸引到最靠近带正电荷的物体的一侧,同时相等数量的正电荷被排斥并出现在金属板靠近静电场仪的一侧,与接地静电场仪上的等效负电荷产生耦合作用。当金属板上的电压达到某个量值(电容 C m 被充满)时,可以在静电场仪上读出金属板上正电压的数值。
尽管金属板上的电荷总量没有改变,但是一定数量的负电荷被带正电荷的物体吸引而产生电容 C g ,同等数量的正电荷由于排斥而产生电容 C m 。
需要注意的是,即使没有静电场仪,金属板也会出现相对于大地的电容和电压,然而其净电荷仍然是0( +Q - Q ),因此它依然是不带电的!
事实上,任何导体通过电场时,都会发生这样的电压变化。例如,当一块IC穿过一个由带电衣服产生的电场时,就会通过这种方式产生电压。如果这块IC在该状态下接地,便会引发ESD事件。
图2.8中,当附近出现一个带电物体时,金属板上会产生电压。在这种情况下,可以通过在金属板和大地之间连接接地线来帮助电容 C m 放电。此时金属板上的正电荷被导入大地,电压 V m 归零(见图2.9)。注意,在接地线接地时,会发生ESD,电流流向大地。这是ESD控制中的一个重要现象——当两个电压不同的导体接触时,如在静电场中将导体接地时,就会出现ESD。
如果把接地线去掉,金属板会保持在零电压状态。然而,此时它仍然携带一个净负电荷,这是因为原来与之平衡的正电荷已经流失了。所以,虽然现在的金属板的电压是0,但它是带电的!如果带电物体被移除,金属物板体上的电压由于其携带负电荷将上升为负电压。
这个过程叫作感应起电。在实际操作中,当处于静电场中的物体、工具、器件或人员临时接地时,容易发生感应起电现象。
如果带电的人或物体可以看作静电源,那么附近的器件可能受到静电场的影响。如果器件临时接地,就会发生ESD,器件会因感应起电而带电,并且可能处于带电状态,在随后与不同电压下的另一个导体接触(无论接地与否)时产生ESD风险。已接地的人员在静电场中取用ESDS器件时也可能会导致ESD风险。第12.7.10节将给出这些过程的实际演示。
图2.9 电场中金属板因接地而带电
如果电位差超过间隙击穿电压,感应电压会导致电场中相近导体之间出现小间隙击穿,这也可能导致ESD风险。
如果把一个带电物体置于封闭的空心导电容器(如一个盒子)中,那么由电荷产生的电场线将向周围导体发生辐射(见图2.10)。导电容器内的静电荷在导电容器上感应出等量的净电荷。
图2.10 法拉第筒
这一原理可以用来测量带电物体被放入一个容器(法拉第筒)时产生的静电荷。
如果容器接地,外界就不会被电荷产生的静电场影响;如果容器未接地,则容器本身就是一个带电物体,可以成为静电源。