



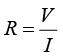
在直流电路中,电阻是施加到电路或材料的直流电压与流经它的电流之比,可以由欧姆定律得出:
表面电阻率
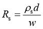
是材料的一种表面特性,它在数值上等于以单位长度为边长的正方形材料表面的理论电阻,可通过在正方形材料的两个对边上施加电压的方式测得(见图1.2)。在材料表面上放两个长为
w
、距离为
d
的平行电极,则两电极间的材料表面电阻
R
s
与
d
成正比,与
w
成反比,可用下式表示:
当
时,
。
图1.2 表面电阻率的定义
表面电阻率的单位是欧(Ω)。有些行业中,表面电阻率的单位也被表述为欧·平方米 −1 (Ω·sq −1 )。这个单位表示表面电阻率与被测正方形的大小无关,而是材料的表面属性。
实际应用中,有些标准采用同心环电极测量表面电阻率的方法,如IEC 62631-3-2(International Electrotechnical Commission, 2015)、IEC 16340-2-3、ANSI/ESD STM11.11(EOS/ESD Association Inc, 2015a)。这些内容将在第11章讨论。
表面电阻是在被测表面的两个电极之间测量的电阻。电极可以是任何形式的。有时,这种测量会使用设计成固定样式的电极,因此从表面电阻到表面电阻率的转换只需经过一个简单的换算。在ESD控制实践中,通常不需要将表面电阻转换成表面电阻率,而是直接使用规定的标准电极测得表面电阻。
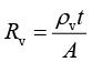
体积电阻率是材料的体积特性,在数值上等于单位边长立方体的电阻,将电压施加到立方体的两个相对面上即可测得(见图1.3)。
图1.3 体积电阻的定义
通过体积电阻率
可以计算出体积电阻
。假设电极的表面积为
A
,材料厚度(两电极间距离)为
t
,那么有
当
或
t
/
A
=1时,
。
体积电阻率的单位是欧·米(Ω·m)。材料的体积电阻率通常简称为电阻率。
实际工作中,IEC 62631-3-1(International Electrotechnical Commission, 2016c)、IEC 61340-2-3(International Electrotechnical Commission, 2016b)、ANSI/ESD STM11.12 (EOS/ESD Association Inc, 2015b)等标准采用同心环电极测量体积电阻率的方法。这些内容将在第11章讨论。
体积电阻
是指在材料的相对面之间测量到的电阻。测量电极可以采用任何合适的形状。为方便体积电阻与体积电阻率之间的转换,测量电极有些会被设计成固定样式。在ESD工作中,通常不需要将体积电阻转换成体积电阻率,而是直接使用规范化的标准电极即可测得的体积电阻。第11章将给出表面电阻与体积电阻的测量方法示例。
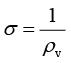
电导率
是电阻率的倒数。
电导率单位为西·米 − 1 (S·m −1 )。
材料的电阻率可以从10 −8 Ω·m(如铜的电阻率)到大于10 15 Ω·m(如云母、石英、聚四氟乙烯、聚乙烯等的电阻率)。
静电学没有给出绝缘体和导体的基本定义。实际上,从高导电(低电阻)材料到高绝缘(极高电阻)材料的电阻率是连续的。不同工业领域对某种材料是否具有绝缘性有着不同的理解。
在静电防护领域中,导体是一种允许电荷在其表面或内部移动的材料,它可以将电荷从一个位置传输到另一个位置。绝缘体(非导体)是一种不允许电荷在其表面或内部移动的材料。
实际工作中,有些在其他领域被视为“绝缘”的材料在静电防护工作中可能被认为具有显著导电性。结合多年的工作经验,笔者提出了可用于静电防护和ESD控制领域的如下定义:
● 导体是一种材料,它允许电荷快速移动,以避免产生明显的静电荷积聚;
● 绝缘体是非导体材料,换言之,它是不允许电荷快速移动以避免产生明显的静电荷积聚的材料。
导体接地后可以很容易保持在低电压状态。然而,静电学上的绝缘体不能通过接地保持在低电压状态。绝缘体材料上的电荷不能很快移动到接地连接处,从而无法在所需的时间尺度内传导出去。
我们通常根据测量到的电阻或电荷衰减时间,把材料或设备定义为导体或绝缘体。这将在第2章中进一步讨论。
表1.2整理了导电性、静电耗散性、绝缘性和抗静电性的含义在电子制造ESD控制应用中的差异。使用这些术语时要谨慎,因为它们在不同的上下文语境中可能有不同的定义,对不同的人而言也可能有不同的含义。当在标准中进行定义时,精确的术语也可能随着标准升级成新版本而发生改变。
表1.2 导电性、静电耗散性、绝缘性和抗静电性的含义在电子制造ESD控制应用中的差异
如果考虑到这些术语在其他行业和特定产品中的使用,情况就会变得更复杂(见表1.3)。一般来说,除非标准规定这些术语是ESD控制系统的一部分,否则其含义应被视为不准确的。
表1.3 在不同行业ESD控制中导电性、耗散性和绝缘性的概念差异(IEC 60079-32-1:2013)
在静电防护工作中,可以通过简便的测量去评估材料或设备的表面特性。一种测量点对点电阻的简便方法是在被测表面上放置两个电极并测量它们之间的电阻,电极通常是圆柱形的。这种方法称为点对点电阻测量。该方法一般作为标准化的基础测量方法。第11章将给出点对点电阻测试方法的示例。
如第1.5节所述,在ESD控制工作中,消除或控制导体上的电压需要提供对地泄放路径。这时通常需要知道从材料或表面到地的电阻,以帮助掌握泄放路径对电荷的泄放能力。材料表面对接地点的电阻称为对地电阻。第11章将给出相关测量方法的示例。
在实际工作中,接地路径的电阻可能由多处组件连接而成。如果它们有效地串联在一起(见图1.4),则对地电阻是叠加所有组件的电阻( R 1 ,…, R n )得到的总电阻 R tot 。
图1.4 电阻的串联
如果这些电阻是并联的(见图1.5),则总电阻 R tot 的倒数等于所有组件的电阻( R 1 ,…, R n )的倒数之和。
图1.5 电阻的并联