



电荷是组成物质的基本粒子(质子和电子)的固有属性。原子由带正电荷的原子核和带负电荷的电子组成(Cross, 1987)。我们把质子上的电荷称为正电荷,把电子上的电荷称为负电荷。质子与电子的电荷效应相等但极性相反,因此如果原子中存在1个质子和1个电子,则二者电荷效应恰恰相互抵消,这时原子呈中性。不同元素的原子可以含有不同数量的质子和电子,具体情况取决于元素本身的特性。例如,氢原子有1个质子和1个电子,碳原子有12个质子和12个电子。物质就是由大量的原子和同等规模的电子结合而成的。
当提到静电时,人们常说它是在某种环境条件下“产生”的。事实上,电荷并不能“产生”或“消失”,而静电只是一小部分负电荷与其对应的正电荷分离,并出现在不同地方。当一个位置出现负电荷,必然有一个正电荷同时出现在其他位置。所谓带电,是指物体中的正负电荷不再平衡,出现了“净”电荷。
电荷的单位是库仑(C)。在实际应用中,库仑是一个相当大的电荷单位,微库(μC,10 − 6 C)、纳库(nC,10 − 9 C),甚至皮库(pC,10 −12 C)更常用。单个电子或质子的电荷为1.6×10 −19 C。即使具有1nC净电荷的物体也包含6.2×10 9 个电子或质子。
离子是带有电荷的微小粒子,它们可以自然存在于空气中,也可以在高压物体周围主动或被动地产生。
电荷自然存在于原子中。原子核中的质子带正电荷,原子中的电子带负电荷。如果粒子捕获了一个或多个电子,便形成了负离子。如果粒子失去了一个或多个电子,便形成了正离子。离子可以由自由电子、单个原子、多个原子,甚至分子组成(Wikipedia, 2018)。有时离子会吸附在更大的粒子上。
电荷的不平衡导致出现了电位差。
电荷之间相互作用并产生静电场,不同电荷在静电场力的作用下相互排斥或吸引:同性电荷相互排斥、异性电荷相互吸引。
如果一个区域内积聚了大量同性电荷,它们就会相互排斥;如果电荷能够自由移动,它们就扩散并逐渐消散。异性电荷则会相互吸引并逐渐聚合。
当等量的异性电荷足够接近时,对外的静电场效应相互抵消,这就是通常所说的电荷被中和了。
在电场力的作用下,单位电荷从一点移动到另一点所做的功称为这两点间的电压(Cross, 1987)。如果电荷量为 Q 的电荷在均匀电场 E 中,从 a 点移动一段距离 s 抵达 b 点,则开始位置 a 和结束位置 b 之间的电位差是:
V = Q E s
无论电荷的移动路径如何,在两点间移动所做的功是一样的。电位的单位为伏(V),1V=1J/C(1V等于对1C的电荷做了1J的功)。电压是两点间的电位差,类似于流体系统中两点间的压力差、重力系统中两点间的高度差。
工程师们常说的导体的电势(导体的概念见第1.7.3节)与电压具有同样的含义,但该说法在严格意义上并不正确,因为电势是将电荷从无穷远处移动到测量点所做的功(Jonassen, 1998)。
电压(电位)的测量必须有一个固定参考点。在实践中,经常把大地作为零电位的参考点(见第1.5节中对接地的介绍);方便起见,大地的电位通常被定义为0V。如果没有特别说明,电位一般都是相对地(地球表面)而言的。
电荷周围空间中的所有点都存在电压,每个点的电压与其相邻点的不同。对于导电表面,如果最初不是等电位的,电压差将导致电荷的流动(电流),直到导体表面上的电压处处相等。因此,处于平衡状态下的导体表面是一个等势面。
任何电荷的周围都存在一个影响区域——电荷产生的电场(静电场),在这里可以观察到各种静电效应。电荷是静电的基本来源,静电场反映了电荷源对周围环境的影响。在电场中,我们发现:同性电荷相互排斥;异性电荷相互吸引;导体(如金属)表面的电荷将重新分布,在电场的作用下形成电位差;许多物质的粒子在电场中会被排斥或吸引。
静电现象就是基于上述效应而产生的。
尘埃粒子和小物体在电场中会被吸引或排斥,尤其是在它们自身带电的情况下(如空气中的电离颗粒)。带电粒子 q 在电场 E 中感受到的电场力 F 为(Cross, 1987):
F = q E
如果等量的正电荷和负电荷相距足够近,从一定距离上看它们的电场效应相互抵消,对外不表现出带电特性,这种现象被称为电中和。
物体周围的静电场和电位不容易可视化。一种能够将其可视化的方式是通过使用电场线和等电位线来表示。电场线表示一个小电荷在电场力作用下自由移动的路径。电场线始终与导体表面垂直(呈90°夹角)。
如图1.1所示,球形带电导体的电压为 V 。图1.1所示的每个点都具有一定的电位,电位的大小取决于将一个单位电荷移动到该位置所需的功。如果将图1.1所示的等电位点连接起来,就形成了等电位线(三维空间中则形成等电位面)。如同在地图上画出山丘的等高线一样,将电位按照强弱高低勾勒出轮廓,可以标记出一系列等电位面。等电位线始终与电场线垂直(呈90°夹角)。
图1.1 球形带电导体周围的电场线与等电位线
电场中的等电位线就像地图中的等高线一样,是势能的一种表示形式。如果在光滑的山坡上释放一个小球,它将沿着垂直于等高线的方向滚下山坡。同样地,在电场中放置一个相同极性的电荷(如将一个正电荷靠近正的高电位),它将沿着垂直于电位线的方向,从高电位向低电位移动。类似的移动路径形成了电场线。电场的强度取决于电场线和等电位线的距离。
电场强度 E (矢量,具有方向和大小)是电压 V 在距离 s 上的梯度。因此,电场强度的单位为V·m −1 。
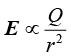
在图1.1中,如果球形带电导体足够小,小到可以忽略其体积,则可以将其看作一个点电荷。点电荷的带电量为 Q ,在与点电荷的距离为 r 处的电场强度符合库仑定律(Cross, 1987)。
可以看出,电场强度随着与点电荷距离的增加而快速衰减,衰减速度与 r 2 成反比。通过观察点电荷电场线的发散趋势也可以得出同样的结论。我们认为电场线始于静电荷、终于静电荷。电场线的密度越高,电荷密度也就越大,静电场的电场强度便越强。
对于其他非球形的带电导体,等电位线不再是圆形,电场线不再是直线而是曲线。但电场线仍始终垂直于等电位线,也始终垂直于带电导体的表面。
在图1.1中,8条电场线穿过了等电位线。这些电场线原则上都是由电荷源产生的。因此,穿出表面的电场线与内部净电荷总量有关。高斯定律将其进一步推广为:垂直于表面的电场分量与表面所含的电荷成正比。如果希望获得更多的信息,读者可以参考其他学术资料,如(Cross, 1987)。
正如第1.2.3节所述,电荷在静电场中将受到静电场力的作用。因此,带电粒子或物体在电场中所受的电场力与其带电量成正比。这就导致带电粒子或物体将吸引或排斥其他物体,而这些物体中可能是有洁净要求的产品。这种效应称为静电吸引(ESA)。
还有一种鲜为人知的现象可以导致静电吸引或排斥,那就是介电电泳(Cross, 1987)。根据介电电泳现象,由于粒子与环境材料的介电常数存在差异,不带电的粒子也可以在发散或者收敛的静电场中被吸引或排斥(Cross, 1987)。
根据库仑定律,由点电荷引起的电场强度与电荷量成正比,与距离的平方成反比(Cross, 1987):
介电常数
被定义为下列公式中的一个常量:
真空介电常数为
≈8.8×10
−12
F·m
−1
,空气的介电常数与之非常接近。不同材料具有不同的介电常数,对电场强度的影响也各不相同。一般来说,材料的介电常数均比空气要大。相对介电常数
以空气的介电常数为标准,由下列公式得出:
聚合物的相对介电常数范围通常为2~3,也有许多材料的相对介电常数在2~10的范围内。陶瓷等材料则具有更高的相对介电常数。