购买
下载掌阅APP,畅读海量书库
立即打开
畅读海量书库
扫码下载掌阅APP

第二节
电路的基本概念

1.2.1 电场:

电荷或带电体的周围存在着电场,电场是一种特殊的形态电场分为两种,正电场和负电场。正电场对正电荷有推力作用,对负电荷有拉力作用。同理,负电场对负电荷有推力作用,对正电荷有拉力作用。电荷在电场内移动时,电场力要对它做功,这就表明电场内具有能量。

1.2.2 电场强度:

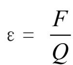
电荷在电场内的某一点上所受的电场力,与电荷的电量Q成正比,与该点的电场强度成正比。即, F=ε·Q(1—1)。式中 。称为电场强度,它是描述电场内某一 点的特性的物理量,它是一个矢量,其数值等于电场作用于该点的单位电荷上的力,其方向则规定为正电场同正电荷在该点上的受力方向一致。

电场力和宏观中的力相同也具有三要素:即力的大小、力的方向、力的作用点。电场力的作用点是电荷中的电场。也就是说微观中的力是两个电场之间的相互作用。在宏观中的力是两个物体之间的相互作用。从本质上看二者是一样的。

电场力F的单位是牛顿(简称牛),电荷Q的单位是库仑(简称库),电场强度ε的单位就是牛/库。(1库负电荷约包含625亿亿个电子)。

1.2.3 电位和电压:

宏观物体在不同位置上具有不同的重力位能,也称为势能。与此相似电荷在电场中的不同位置也具有不同的位能,电荷在电场内的某一点上所具有的位能称为电位能。

正电荷在正电场内某点上的电位能与它所带电量Q的比值称为该点的电位,

用φ表示;即

式中 电场内两点之间的电位差就称为这两点之间的电压用U表示。例如AB两点之间电压为: 电压的单位是伏特,简称为伏(V),较大的电压单位是千伏(kV),1千伏=10 3 伏,较小的单位是毫伏,1毫伏=10 -3 伏。

通常电灯线路电压为220伏,机床照明电压是36伏,高压输电线电压是35千伏、110千伏、220千伏等。

在实用上常取大地电位为零,用φ 0 表示,因此场内某点的电位也等于该点与地面(零电位点)之间的电压,显然电位单位也是伏。

电压的方向规定为由高电位指向低电位点即在电压的方向上电位是逐点降低的。

在均匀电场内电压与电场强度的关系是:

因此:ε= ,从式中说明当L一定时,电压愈高,则电场愈强,电场强度单位又可用伏特每米(伏/米)来表示。

1.2.4 电源:

把非电能转换成电能的装置称为电源,常用电源有发电机、蓄电池等。

发电机是把机械能转换成电能的一种装置、蓄电池则是把化学能转换成电能的一种装置。在电源的两端分别聚积着大量的正电荷和负电荷,所以电源两端始终有电场存在,即正电场和负电场。带正电场的那端称为正极,带负电场的那端称为负极。

1.2.5 负载:

把电能转变成其它能量(例如光、热和机械能)的装置。

电灯是把电能转化为光能;电炉是把电能转变为热能;电动机是把电能转变为机械能。

图1-2 电荷在均匀电场中的电位

图1-3 最简单的电路

不论什么负载,当电荷通过负载时,都使电荷的电位能降低,即产生电压降。

1.2.6 电路:就是导电的回路,它是由电源、负载(即用电器)和联接导线组成。

如图1—3。对于电源来讲,负载和联接导线叫外电路平时把外电路简称为电路。电源内部的电路叫内电路。导线又称为导体。

1.2.7 电流:电荷有规则地运动称为电流。导体内的电流是由于导体内部的自由电子在电场力的作用下有规则地运动形成的。此外在液体或气体中由于存在正、负电荷的离子,它们在电场力作用下,分别朝着一定的方向运动,因此也形成电流。

需要说明的是,形成电流的每个电子“运动员”并不跑完全部路程,它们各自通过一小段距离,但是不像接力赛跑那样,而形成电流的每个电子“运动员”几乎同时起跑。每个电子跑得很缓慢,每秒钟不超过几毫米,但形成电流传递速度却大得惊人,一秒钟约三十万公里。

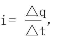
电流的大小等于单位时间内通过导体横截面的电荷量,即 为了简单起见把电流的大小简称为电流。这样电流这一名词不但表示一种物象也代表一个物理量。

电流方向习惯上人们把正电荷流动方向作为电流方向,即从正极到负极。从实际上看电流方向是从负极到正极。因为电流是自由电子在负电场的推力作用下和正电场的吸力作用下而形成。因此电流方向与电子流的方向相反。

电流单位:电流大小以安培为单位计量,简称安,用字母A表示。1安的电流即等于在1秒钟内有1库的电荷量通过导体的截面。

在供电系统中,有几安,几十安甚至更大的电流,在电信设备中,有千分之几安,甚至更小的电流。它们之间的关系是:

1毫安(mA)= 安(A)=10-3安(A)

1微安(μ A)= 毫安(mA)=10-3毫安(mA)

1.2.8 电阻:导体对于它所通过的电流呈现有一定的阻力,这种阻力称为“电阻”。

电阻的单位是欧姆,简称为欧,用符号Ω表示。

计量比较大的电阻可用千欧( K Ω)或兆欧(MΩ)表示,它们之间的关系是:

1千欧(KΩ)=103欧(Ω)

1兆欧(MΩ)=106欧(Ω)

表1—1是各种材料在20℃时的电阻系数。

1.2.8.1 电阻计算:导体的电阻大小,由两个因素确定,一个是导体材料的导电性能,二个是与导体的尺寸大小有关。同一材料的导体电阻与长度成正比,与导体横截面积成反比,计算公式为:

式中R代表电阻,L代表导体长度,S代表导体横截面积。ρ叫电阻率 (又称电阻系数)所用单位: 表(1—1)列出常用导电材料的电阻率。

1.2.8.2 导体、绝缘体与半导体

在实践中把容易导电的铜、铝或铁等称导体;不容易导电的玻璃、云母和陶瓷之类物质称绝缘体,介于导体与绝缘体之间的硅与锗称为半导体。

半导体有很多特殊的性能,尤其是当在纯硅、纯锗中间掺入适量的其它物质之后,其导电能力成百万倍地增加,人们利用此性质制成各种晶体管,是电子设备基本元件之一。

1.2.8.3 电阻与温度的关系

导体的电阻是随着温度而变化的,它的原因是某些导体中(如金属导体),当温度升高时,使带电质点与分子碰撞的次数增多,使导体内电阻增大,相反在另一些导体中(如电解液导体)当温度升高时,导体的单位体积内自由电子和离子数就增多,使电流增加,也就是说这些导体温度升高时电阻反而降低,也有些金属(例如锰铜、康铜等)的电阻随温度的变化而改变得很小。如表(1—2)所示。

有不少物质,当温度降低到某一数值(一般接近于绝对零度,即摄氏零下273度)时,它的电阻突然完全消失,这类现象称为超导现象,具有这种特性的物质称为超导体。近代已发现上千种超导体,在生产实践中应用范围日益广泛有远大前景。

表1-2 几种常用导电材料的电阻率和电阻温度系数

※表1—2给出的是近似值,它们随材料的纯度和成分的不同而有所改变 Oh0NyXieLEfk8/IbcApHe9JmZwAcIfHIvhNgPU9WcoNiSpXbSiGno3yMCG+ZBcgo

点击中间区域
呼出菜单
上一章
目录
下一章
×