购买
下载掌阅APP,畅读海量书库
立即打开
畅读海量书库
扫码下载掌阅APP

新发现
——谐振能存在的报告

摘要:

1993年2月曾凡昌工程师通过对共振、共鸣和谐振的现象研究,经过对无功补偿节电不同效果的分析,并通过多次试验发现电路谐振产生新能量——谐振能(物理能、或再生能)。

新发现在国家杂志多次发表,1995年10月内部出版节电新学说——《电子力学》。

黄有银教授级高级工程师:他做的无功补偿工程节电率为30-50%,在无功补偿中发现电能增大一倍的现象,在小试验中做出输出大于输入的结果。

谐振能是节电的总开关,新发现必然产生新发明。《谐振节电器》、《阻性加热谐振节能装置》、《直流节电器》和《一种智能三相电子节电装置》等五项,分别都获得国家实用新型专利。

中国人发现谐振能的存在,发明各种谐振节电器,是对全人类的重大贡献!

关键词:有功功率因数,自然品质因数,谐振品质因数、内电动势、谐振能。

1.0 引言 :

毛主席说:“社会的发展到了今天的时代,正确地认识世界和改造世界的责任,已经历史地落在无产阶级及其政党的肩上”。

1.1 研究的项目:电路谐振是否产生新能量?

1.2 研究的背景:

(1)在电信技术中把视在功率当成总电能。在电信技术中利用调谐电路选择信号,做出千万种发明。如果不利用谐振现象,就没有今天的现代化和自动化。

(2)在电力系统中利用无功补偿节电,虽然已经推广到全世界。但因节电效果从书中找不到答案,节电发明专利得不到重视,电能增大一倍多的奇迹,宣传不出去。

(3)在当代节电与窃电分不清楚,节电效果不论有多大,找不到鉴定单位。有许多人把节电效果当成窃电反对,打节电官司,现在电工理论与实践的矛盾发展到了顶点。

弱电与强电的矛盾,理论与实践的矛盾,解决办法只有一个:根据实践现象,探讨新理论,反映电能增大的本质。如果视在功率代表总电能,那么一切矛盾都解决了。

1.3 研究的目的:利用谐振能增大电能,解决能源和环保中存在的问题。

1.4 假设电路谐振产生新能量——谐振能。

1.5 发现谐振能存在的意义?谐振是一种物理现象,谐振能是成本最低,容量最大,最清洁,最方便的能源,可称为“最理想的新能源”。

应用谐振能是解决能源和环保问题的关键,为全人类创造幸福!

2.0 研究方法:

毛主席说:“研究任何过程,如果是存在着两个以上矛盾的复杂过程的话,就要用全力找出它的主要矛盾。捉住了这个主要矛盾,一切问题就迎刃而解了”。

科学研究好比医生治病一样,必须认真调查病人的症状,了解生病的原因,再通过一定的检测方法。生病的原因找到了,对症下药就会治好病。

谐振能是否存在?必须利用毛主席写的《实践论》和《矛盾论》的哲学观点研究,这两论就是科学研究的“放大镜”、“显微镜”和“透视镜”,研究结果再应用五统一检验法验证。

电能增大1% 与增大100倍原理是相同的,研究的方法如下:

2.1 科学研究,必须选择正确的参照物。

2.1.1 谐振产生能量:调谐电路具有选择信号的能力,称为第一参照物。

(1)在电源和负载不变时,选择信号必须谐振与不谐振输出能量不相同。

(2)选择信号必须在谐振时输出能量增大。

因为无功补偿电路与调谐振电路基本相同,调谐电路在谐振时比不谐振输出增大上百倍,无功补偿时谐振比不谐振增大1-3倍是正常现象。

2.1.2 无功功率做功: 无功电流在电流表中产生转矩,称为第二参照物。

(1)在交流电路中有两种负载,不同负载需要能量不相同。电阻性负载,需要热能做功,利用电阻大的材料做导体。电感性负载需要电磁能做功,应用电阻小的材料做导体。

(2) 电流表好比是微型电动机,电动机好比是巨型电表。无功电流在电流表中产生转矩,同理在电动机中也会做功。因为无功功率会产生电磁埸能,所以能做功。

两个参照物是公认的,都与谐振能有联系,利用“放大镜”就会看到谐振能的存在。

2.2 科学研究,必须依靠试验结果证明。

不论研究什么问题,不能利用开会的方法解决,都是通过科学试验结果说明,对于研究谐振能是否存在,更要利用试验结果证明。

2.2.1 第一次:输出增大试验:输入电源串联灯泡,主要是与大电网隔离。

(1) 试验设备:在100伏安的变压器前边,串联220伏60W电灯泡。在变压器的输入端并联适当的电容器。在变压器的输出端接一个220伏20瓦的灯泡。如电路图所示

(2) 试验方法:①将电容器调到容量最小位置好比断路,此时接通电源,输出灯泡不太亮。用电流表测:一次电流为:0.32安,二次电流为0.5安。

②将电容器的容量调到适当位置,即容抗等于感抗,发现输出电灯泡比原来亮。再测一次电流0.25安,二次电流0.6安。

③ 对试验分析:输入电流减少:(0.32-0.25)÷0.32=21%;从电源输出的功率不会增大。输出电流增大:(0.6-0.5)÷0.5=20%,

因输出灯泡电流增大20%,亮度增强,说明输入功率不变,输出功率会增大。

2.2.2 第二次:输出大于输入试验。科技论坛网友外行13试验,试验电路图不变: 其中,R 1 =1千欧姆,R 2 =1欧姆,C=0.5微法。

(1) 并联电容前:原边电流为0.08安,电压为160伏,视在功率约为12.8伏安,有功功率为8.1瓦。输出端电流为2.75安,电压为2.75伏,功率约为7.56瓦,

(2) 并联电容后:原边电流为0.06安,电压为174伏,变压器输入电流:0.087安,视在功率约为15.138伏安,有功功率9.6瓦。输出端电流2.97安,电压2.97伏,输出功率8.82瓦。

(3) 对小试验结果分析:安装电容器后输出8.82瓦,大于安装前输入8.1瓦,

因为8.82 > 8.10,所以输出大于输入。输出增大证明有新能量产生。

外行13是退休大学教授,不相信电能会增大自己做试验,试验结果证明电能确实会增大。他是一个品质高尚的人,发表与自己观点不同的结果。

2.2.3 第三次:电能增大10倍多的试验。

(1) 无电容器输出接电阻炉:功率因数0.337,电流0.465安,输出功率21.4瓦。

(2) 串联电容器10微法:功率因数0.45,电流0.998安,输出63.8瓦。

(3) 串联电容器40微法:功率因数0.903,电流3.10安,输出390.0瓦。

(4) 串联电容器50微法:功率因数0.830,电流2.84安,输出333.0瓦。

试验结果对比:无电容器输出21.4瓦,安装40微法输出390瓦。

(390-21.4)÷21.4=17.22倍;电能增大创世界记录。

三个试验是谐振能是否存在的“显微镜”,检测结果证明,电路谐振能确实存在。

2.3 电能增大,三种节电案例。

2.3.1 电感负载无功补偿电能增大一倍案例:

节电专家黄有银在混凝土搅拌站项目上试运行本产品,经测算:

(1)节电前:负载做功功率28.8千瓦,有功功率因数0.31;

(2) 节电后:负载做功功率63.2千瓦,有功功率因数0.98(因为电源电压不变,输入的电流减小,输入的电能不会增大);

(3)电能增大计算:(63.2-28.8)÷28.8×100%=119.44%。

2.3.2 电感负载治理有害谐波节电50%案例:

在电工论坛中发的文章:《治理谐波不但可以减少污染,还可节电》:

我们对中山市的一家塑料厂进行的治理就证明了这一点。结果是谐波的含量从80%下降到8%。波形也明显改善。供电公司对治理后进行了测量,结论是谐波含量达到国家标准。这个厂的电费也从每月22万下降到10万左右。(22-10)÷22×100%=54%;(原来的电费是治理后的2倍多)。

二种节电案例,说明谐振能已经在实践中利用,并且节电效果很大。

2.4 对无功补偿,节电不同效果的研究。

2.4.1 负载做功不变的无功补偿:

在电感负载电路中并联适当的电容器,输入电流减小 电路中的有功功率因数提高,减少总电路中的有功损耗,稳定电源电压,提高设备的利用率,负载做功大小不变。

负载不变的无功补偿也有新能量产生——表现输出无功电流。只是好处不在用户,在供电。只要有好处,必然会有新能量产生。

2.4.2 负载做功增大的无功补偿:

为什么无功补偿负载做功会增大呢?电网好比是大海,支路负载好比是小河,谐振能好比是下大雨。天上下雨不论有多大,海水水位不会提高,但天上下雨会使小河涨水。

同理在支路中并联电容器输出的电能,不会提高大电网中的电压,但会使负载支路中的电压升高,在负载中产生电流电压和功率三增大。

2.4.3 用户电费减少的无功补偿:

用户电费减少必须有两个条件:第一个是电容器安装在支路中,与大电网不直接相通,负载做功会增大。第二是收费电能表远离电容器,不受谐振电路的影响。

教授级高级工程师何建源做过无功补偿试验:电能表安装在电容器附近,没有测量出节电效果,在远离电容器的供电站看电能表有节电效果。

内因是变化的根据,外因是变化的条件。不同条件产生不相同结果。不能利用自己不节电的现象,否认其他人做出的节电效果(实际电能增大案例千万个,只举2个代表)。

2个参照物正确+3次试验增大+2种增大案例+2样节电效果=谐振能的存在。

3.0 为什么电能增大一倍左右奇迹宣传不出去?

邓小平讲:“一个党,一个国家,一个民族,如果一切从本本出发,思想僵化,迷信盛行,那它就不能前进,它的生机就停止了,就要亡党亡国。”

3.1 迷信电工理论,把节电效果当成窃电反对。

3.1.1 没有新能量产生,节电效果就不存在。

在电工书中讲感抗不消耗电能,无功功率不会做功,电路谐振不会产生新能量。在电源和负载不变的条件下,根据哲学和力学理论分析,没有新能量产生,节电效果就不存在。

3.1.2 节电与窃电分不清楚,打节电官司。

电工论坛网友学员说:他们单位的电度表是电业局的人安装的,表的读数是电业局的人抄的,但是电业局的人说他们偷了电,(安装电容器后消耗电量减少)要罚款。

单位不同意,就去打官司,电业局输了!

3.1.3 迷信电工理论,把节电效果当成窃电反对。

电工理论有失误,把节电当成窃电,其害无窃大,两位网友的发言是真实的写照。

(1)退休教授回复中说:老先生说“推动无功补偿节电的大发展”是一个错误的说法,给人以错觉!特别是给用电用户一个错觉,认为并联电容器可以少交电费30%,那是绝对不可能的,……,是自欺欺人而已!

(2)又有的电工网友说:如果老先生要宣传、大力发展无功补偿可以产生“新”电能,那就是一种误导,如果是明知故犯,那就是一种欺骗。

通过上面三个问题可以看出 ,否认谐振能的存在,就顚倒黑白,阻碍节电的发展。

3.2 迷信权威,节电文章审稿失误。

毛主席说:“判定认识或理论之是否真理,不是依主观上觉得如何而定,而是依客观上社会实践的结果如何而定。真理的标准只能是社会的实践”。

3.2.1 审稿者利用不正确的假设,否认电能增大事实。

《××××》杂志编辑部不采用通知:2013年06月08日13:31 (星期六)

您的来稿《新发现——利用谐振现象节约电能》,我们已聘请有关专家进行了审读,认为不适合本刊发表,敬请谅解。

审稿意见:

(1) P1页:倒数第10行,文中说:负载做功大小与负载中的电流和电压成正比,……“这也是本文论述的主要根据。P=IUCOS¢, 电压U,电流I,功率因数角 ,均是变数,所以不是U(或I)成正比。当谐振频率使 时,无论I有多大,P也为“0”,属基本概念错误,不刊。

(2) 重点说明:谐振能量仍取至电源,这里并没有节能。

3.2.2 谐振能鉴定方法不正确,产生审稿意见失误。

审稿与科学成果鉴定是一样的,科学技术成果必须利用检测方法做鉴定。审稿人没有做试验,也没有调查节电效果是否存在,根据书中理论做鉴定,所以产生失误。

(1) COS¢功率因数是不变的,不能假设。

①电功率公式:P=IUCOS∮,式中电流I,电压U,功率因数COS ∮,都是变数,是指没有确定负载和电源的情况下,都是变数。

②当负载和电源电压确定后,负载中的R和Z的值是固定的,所以COS¢功率因数是不变的,不变的参数是不能假设的。

③电功率计算公式:P=IUCOS¢,负载中的电流I和电压U是变数,可以假设,但也要符合电流和电压的变化规律。不能假设为零,如果是零就是没有接通电源,也不应当假设减小,因为在无功补偿时负载中的电流不变或增大,绝对不会减小。

(2)假设只有一个方面,就是假设电流和电压增大。节电文章中说:负载做功大小与负载中的电流和电压成正比,……没有错。

(3)否认节电效果,必须证明节电效果不存在的事实。文章中的试验和节电案例,是客观存在的事实,审稿人没有说明节电效果不存在的证据。

(4) 负载做功增大能量从哪来的,必须通过计算结果证明。审稿人没有说明原因,只是一句话:谐振能量仍取至电源,这里并没有节能。是无根据地下结论。

权威虽然能阻止节电的宣传,但无法改变节电的事实,只要电能增大存在,谐振能就存在。

3.3 迷信自己,用电能不变的事实否认增大的效果。

3.3.1 有的单位在无功补偿中,没有做出电能增大效果。当电容器安装在大电网附近,直接与大电网相通,负载中的电流电压和功率三不变,就没有节电效果,误认为电能增大不存在。

3.3.2 电容器不等于节电器。在当代销售的各种节电器,只有电容器不等于节电器。因为用户购买后应用,多数没有获得节电效果,因此人们对电能增大现象不敢相信。

3.3.3 迷信自己,用电能不变的事实否认增大的效果。

(1)做失败的试验很容易,做成功的试验很困难,要想获得真理必须多次做试验。

(2)有许多研究节电的人,尤其是学校和节能研究单位。因为自己试验没有做出电能增大现象,利用试验中电能不变的事实,否认别人做出电能增加大的效果。这些人有权威,宣传作用大。

迷信理论+迷信权威+迷信自己=电能增大宣传不出去。

虽然人们否认电能增大的事实,但任何人都没有提出否认增大的证据。

4.0 理论与实践相矛盾,理论必然有错误。

毛主席说:“感觉到了的东西,我们不能立刻理解它,只有理解了的东西才更深刻地感觉它。感觉只解决现象问题,理论才解决本质问题”。

在当代利用谐振现象否认谐振能的存在,产生理论与实践相矛盾。透过现象看本质,利用“透视镜”查找产生错误的原因。

4.1 在纯电感负载中,瞬时平均功率计算失误。

4.1.1 书中错误观点:从负载局部方面分析。

(1)瞬时平均功率为瞬时功率代数和的平均值:电感负载有一半时间做正功,输出电能,有一半时间做负载,消耗电能。书中认为瞬时平均功率为瞬时功率代数和的平均值,等于“零”。因为“零”乘任何数其值都是“零”,所以起名为“无功功率”。

(2)无功功率瞬时平均值为“零”,与无功功率量纲存在相矛盾,如果功率量纲是指有功功率是所问非所答。

(3)感抗不消耗电能与阻抗存在相矛盾,计算公式没有推导过程。

4.1.2 正确的新观点:从电路全局方面分析。

(1)瞬时平均功率为瞬时功率绝对值和的平均值:当电感输出能量时,电源变成了负载,消耗电能。从电路全局方面分析,任何瞬间电源没有增加,负载也没有减少,只是有一半的时间负载与电源互相转变。

(2)电感负载的瞬时平均功率为瞬时功率绝对值和的平均值,不等于“零”。有无功功率量纲存在,与实践现象相统一,消耗电能的表现:有阻抗存在,有电压降产生。

(3)电感负载一半时间输出能量,一半时间消耗能量,说明是一种保守力或称弹性力。从力学理论中看,外力对保守力做功也消耗能量,称为“保守功率”。

电感负载消耗的电能可称为“电磁功率”,可转变新的电能或机械能做功。

4.2 在电路谐振时,负载总阻抗分析失误。

从力学方面分析:时间角度与空间角度不相同,在交流电路中感抗与容抗的电流与电压相位相反,是时间角度不是空间角度,不能互相抵消,是互相利用或称合作。

4.2.1 书中错误观点:把时间角度当成空间角度应用互相抵消。

(1)在电工书中讲感抗与容抗中的电流和电压的相位相反,互相抵消,所以并联谐振时负载中的总阻抗最大,电流最小;假设此观点正确,那么在无功补偿时,负载中的电流应当与电源输出的电流相同,负载中的无功电流不存在与实际相矛盾。书中分析是错误的,结论是正确的。

(2)书中认为串联谐振电路负载中的总阻抗最小,电流最大。认为谐振现象能量从电源来。假设此观点正确,因为电流是相同的,负载阻抗是不变的,那么负载的电压大于电源电压,负载功率必然大于电源功率,能量从电源来没有根据。

4.2.2 正确新观点:感抗与容抗互相合作产生“内电动势”。

(1)感抗与容抗中的电流与电压相位相反,互相利用或称合作,因有“内电动势”产生,所以感抗增大,串联谐振总阻抗最大,电流最小。

(2)在电路谐振时从电源输出的电流减少,功率不会增加,负载中的阻抗不变,电流和电压增大,所以电功率必然会增加,负载做功增大能量从谐振中产生。

4.2.3 试验结果证明,串联总阻抗增大。技师李青试验结果:变压器1个、电磁阀线圈1个、涤纶电容若干、福禄克万用表1个、36V灯泡1个、计量插座1个。(电容两端已短接)。

(1)安装电容器前测量:电源电压220.伏,功率因数0.682输入电流0.138安;

(2) 接入谐振电容后:变压器次级电压128.1伏,电感端电压139.5伏,功率因数变为0.912,电容端电压138伏,输入电流为0.118安

(3)计算对比:输入电流减少:(0.138-0.118)÷0.138×100%=14.49%

从试验结果得知,谐振现象能量不是从电源输入增大的,是从谐振中产生。

4.3 利用自然品质因数Q计算不正确,计算不出电能增大结果。

4.3.1 错误的计算公式:书中利用自然品质因数Q,计算不出电能增大结果。

(1)品质因数Q: ,(2)谐振负载电流:

(3)因为品质因数Q 是负载中的感抗与纯电阻之比,与电路谐振现象无关系。所以计算结果等于原来的值。因为谐振时电流和电压值不变,电能增大现象计算不出来。

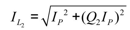
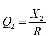
4.3.2 正确的计算新公式:利用谐振品质因数 Q 2 ,可以计算出电能增大结果。

Q 2 为谐振品质因数,大于自然品质因数Q值。

因为谐振电流和电压增大,功率因数不变,计算结果有功增大,电路谐振产生新能量。

式中 I P 代表有功电流值, I 0 代表书中谐振电流值。谐振电流与谐振前有功电流值相同。

4.4 谐振试验电路不正确,做不出电能增大结果。

4.4.1 无功补偿并联节电试验,输入端必须串联较大纯电阻。

(1) 错误的试验电路。没有串联纯电阻:因为电容器直接与大电网相通,负载中的电流、电压和功率三不变,负载做功不变,所以认为电路谐振没有新能量产生。

(2) 正确的试验电路,串联纯电阻:电容器安装在支路中,负载中的电流电压和功率三增大,就会做出电能增大的结果。所以做无功补偿试验,输入端必须串联较大的纯电阻。

`4.4.2串联谐振试验,输入端安装隔离变压器和串联纯电阻R1。

(1) 错误的试验电路,输入端没有变压器:电源串联在谐振电路中,负载中的灯泡亮度增强,分辨不出能量从哪来的。书中误认为串联总阻抗减小,电能从电源输出增大产生的。

(2)正确的试验电路,输入端安装变压器,在变压器输入端串联纯电阻R1。变压器输入电流大小和相位是由输出电流的大小和相位决定的。如果输出电流增大,输入电流必然会增加。

通过试验证明:在谐振时从电源输入的电流是减小的,灯泡亮度增强是谐振产生的能量。这种试验是书中没有的,学校没有做过的,所以误认为谐振能量从电源来。

实践证明负载中的电流是电源电流和电容电流的矢量和,并且大于原来的电流值,因为负载功率因数不变,所以电流电压增加,负载中的有功功率必然增大。

书中存在两个失误+两个不正确=否认谐振能存在无根据。

5.0 电路谐振能是怎样产生的?

毛主席说:“唯物辩证法认为外因是变化的条件,内因是变化的根据,外因通过内因而起作用。鸡蛋因得适当的温度而变化为鸡子,但温度不能使石头变为鸡子,因为二者的根据是不同的”。

共振现象产生巨大的能量,是世界公认的,流传世界的故事:一九○六年俄国首都彼德格勒(今列宁格勒)有一支全副武装的沙皇军队,步伐整齐,不可一世地通过爱纪毕特大桥。这座大桥十分坚固,纵然跑过千军万马也难以撼动。

可是正在指挥官洋洋得意的时候,突然间哗啦一声巨响,大桥崩塌了。顿时间,官兵,辎重、马匹纷纷落水,马嘶人号,狼狈不堪……。经过长期追查研究,发现并不是有人故意破坏,肇事的就是受害者自己。伤亡事故的根本原因是「共振」在作怪。

共振、共鸣和谐振是三大物理现象,共振、共鸣会产生能量,谐振是否会产生能量呢?

5.1 电路谐振现象,是怎样产生的?

5.1.1 感抗和容抗都是保守力。

感抗和容抗都是保守力,有一半时间消耗电能,有一半时间输出电能,输出等于输入,它们本身不消耗电能。

5.1.2 感抗和容抗中的电流电压相位相反。

(1)感抗中的电流滞后电压90度。

(2)容抗中的电流超前电压90度。

(3)因为电流与电压的相位差是时间角度,感抗与容抗不能互相抵消。

5.1.3 两个相反保守力相结合,必然产生新能量。

(1)在含有电感和电容的电路中,当通电瞬间感抗最大,电流最小。电源向电容器充电,此时感抗不消耗电能。

(2)当充电结束电容器开始放电,此时感抗最小,电源和电容器共同向电感输入电能,电源不消耗电能。也就是通过电容器的储电功能,把电源和电感的反作用力转变为作用力,产生“内电动势”,输出新的能量。在电工书中称为“电磁振荡”。

(3)“内电动势”是感抗与容抗共同产生的,因为电感是做功的,电容器是为了负载多做功安装的,所以把电感产生的能量计算在电容器中,“内电动势”用电容表示。

(4)电网中的总电能是“内电动势”与“电动势”的矢量和。不论人们是否承认谐振能的存在,在电工书中是这样计算的。内电动势+电动势=输出增大。

(5)谐振与共振共鸣相同,都是物理现象,都是将原来的反作用力转变为作用力产生的,此种现象与能量守恒定律没有关系,不能利用永动机不存在,否认谐振能的存在。

5.2 两个新定律:因为有新发现,所以总结出两个新定律。

5.2.1 视在功率守恒定律:

(1)在电网中电源(包括内电动势)输出的总视在功率,与负载消耗的总视在功率相同。

(2)电感负载中输出机械能或电能功 率,等于输入的视在功率。如变压器 I 2 U 2 = I 1 U 1

说明:①当电感负载总阻抗和纯电阻不变,负载中的功率因数也不变,可称为“常数”。

②磁埸强度计算公式: ;式中H代表磁埸强度,单位 ,I代表有效电流值,N代表匝数,Le代表导体长度。电动机中的转矩不是热能转变的是磁能转变的。

③电动机功率利用有功功率表示,主要是为了计算收电费,在运行中是检测视在功率。

5.2.2 电路谐振定律:并联谐振和串联谐振计算公式相同。

(1)在交流独立电路中,同时含有感抗和容抗时,因为它们的电流与电压相位相反是时间角度,不能互相抵消,可以互相合作。当感抗等于容抗时发生电路谐振产生“内电动势”,输出新的电能。此能量产生属于物理现象(物理能或再生能),因为是谐振现象产生的,所以称为“谐振能”。

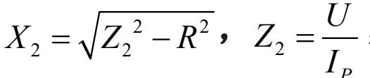
(2)电感负载谐振时的电流与谐振时感抗X2成正比,与原来的纯电阻R成反比。

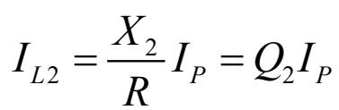
计算 公式: ;因为有功电流很小,略去不计。谐振品质因数: ,式中 ,式中:U原来电源电 压值,R为原来纯电阻, I P 原来有功电流。

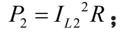
(3)电感负载的有功 功率为谐振电流的 平方与纯电阻的 乘积。计算公式:

注意:①新谐振公式只适用感抗=容抗,在独立电路中应用,是谐振电流电压的极限值。在电网的支路中应用必须适当的修正参数,当电容器直接与大电网相通不适用。

②电路谐振时负载中的电流和电压同时增大,电工书中讲一个增大一个不变是不正确的。

通过以上分析:谐振能产生是把原来的反作用力转化为作用力产生,因为作用力增加,所以电能会增大。这是一种物理现象,与能量守恒定律和永动机不存在没有关系。

两个保力结合+两个新定律+新计算公式=谐振产生能量。

6.0 利用谐振能做出的五项发明获得国家专利

习近平主席说:“科技创新,就像撬动地球的杠杆,总能创造令人意想不到的奇迹。当代科技发展历程充分证明了这个过程”。

6.1 《谐振节电器》:专利号:ZL 2013 2 0408166.8,发明人曾凡昌。

(1)节电原理的突破:利用谐振能,负载中的电流电压必须比原来增大。

(2)节电设置的突破:独立变压器+电容器+串联电感器+自动控制器。

(3)节电效果的突破:线路节电+电感负载节电,对用户和供电都有好处。

(4)节电计算的突破:因为X和R都是谐振前的参数,计算结果谐振前后电流或电压值不变,计算不出电流或电压的增大值。Q可称“自然品质因数”,与谐振现象无关。谐振节电器新的计算公式:并联谐振时负载中的电流为:电源输入的有功电流与电容器输入的无功电流矢量和; ,因为Q 2 是谐振时的品质因数,大于自然品质因数Q,所以能计算出并联谐振后的电流增加值。又因为电流增大,所以能计算出有功功率增加值,计算结果与实际节电效果相统一。

6.2 《一种智能三相电子节能装置》等三项专利:专利号:CN 2008 20113625.9,CN 2007 20080005.5,还有“一种单相电子节电装置”,三项发明人黄有银。

(1)节电原理:电路谐振产生新能量——谐振能(申请原理是利用谐振现象)。

(2)节电效果:节电率30-50%,节电50%就是电能增大一倍。

6.3 《直流节电器》是超前发明。专利号: ZL20112044578.6;发明人曾凡昌。

6.3.1 发明原因:(1)在当代汽车污染城市限制汽车运行,国家补贴推广电动车。推广电动车存在两大问题:一是成本高,二是行程短。

(2)直流节电器如果把电能增大2倍以上,就会解决电动车存在的难题。电动车和电动摩托车需要的直流节电器,数量是无限大的。

6.3.2 发明原理:电路谐振产生新能量,是《谐振节电器》和《阻性加热谐振节能装置》相结合的发明。是交流节电器的特殊电路,因为在直流电路中应用,称《直流节电器》。

6.3.3 节电试验:

(1)输入功率:0.280×11.94=3.34瓦。(2)输出功率:0.163×67.2=10.95瓦。

(3) 输出与输入对比:(10.95-3.34)÷3.34×100%=227%,增大一倍多。

因为条件不具备,没有做出实用的《直流节电器》,等待后人去研究。

6.3.4 直流节电器的特点:一个是独立的小电网,二个是不受频率限制。

节电专利在实际中应用,取得电能增大1-3倍的效果,证明谐振能确实存在。

7.0 《电子力学》与《电工学》的关系?

毛主席说:“新陈代谢是宇宙间普遍的永远不可抵抗的规律。

蒙田《随笔全集》:“人间总有那么多出其不意的突变,很难说我们怎样才算是到了穷途末路,人只要一息尚存,对什么都可抱有希望”。阻碍节电发展的理论,一定会向前发展!

7.1 《电工学》是《电子力学》的基础。

7.1.1 在电工学中实践和计算公式绝大多数是正确的

(1)在电工学中虽然理论中有重大失误,在实践和计算公式中绝大多数都是正确的,具有应用价值。在电信技术中没有提出功率因数问题,是把视在功率当成总电能。

(2)在电力系统中理论上说感抗不消耗电能,在计算中当成消耗电能计算。总阻抗为感抗与阻抗的矢量和,视在功率是有功功率与无功功率的矢量和。

(3)无功功率不会做功,感性负载应用电阻小的材料做导体也是正确的。

(4)理论上说谐振能不存在,在实践中利用奖罚办法推广无功补偿节电。

(5)在负载运行测量中,是测量负载中的电阻、电流和电压值,是把视在功率当成总电能,在运行中很少测量有功功率的值。

(6)电能计量按有功功计算是正确的,无功功率从电容器中输出成本低,可以不计算。

通过上面问题得知:书中理论与实际不符合,实践与理论不相同,是负负得正的做法。

7.1.2 《电工学》中的理论是人们对电能感性认识。

(1)感性认识的特征:负负得正法:在理论上讲感抗不消耗电能,实际按消耗电能计算。

(2)感性认识的危害:在无功补偿中电能增大一倍多的节电效果,是天大的好事,应当评为世界科技最高奖,但因没有正确理论根据,找不到鉴定单位,任何节电奖都没有获得。

是否评为“世界科技奖”,不是个人或一个单位的小事,是关系到全人类幸福的大事!

7.2 《电子力学》有重大突破,是《电工学》的新发展。

7.2.1 《电工学》最治命的弱点,阻碍节电的发展。

(1)电工理论失误,电能增大现象无法解答。对无功功率认识失误,形成错误的科学体系。但不论否认电能增大的人有多少,权威有多大,都改变不了电能增大的事实。

(2)《电工学》治命弱点,阻碍节电的发展。应用有失误的电工书做教材,培养出的大学生和研究生是反对节电的人才,在电工论坛中把节电效果当成窃电反对,就是最好的证明。

7.2.2 《电子力学》最大亮点,是推动节电的发展。

(1)继承《电工学》中的正确理论和实践,电流电压和功率计算公式没有改变。从物理方面讲视在功率代表总电能,从计量方面仍然利用有功功率代表总电能。

(2)找到《电工学》中失误的原因,总结出新的理论,形成新的科学体系。应用《电子力学》做教课书,培养出的大学生和研究生是节电人才,必然会推动节电的发展。

谐振能+谐振定律+谐振新公式+节电专利+电能增大试验+电能增大效果=《电子力学》。

8.0 研究谐振能存在的结论:

习近平主席说:“知识就是力量,人才就是未来。……必须大力培养造就规模宏大、结构合理、素质优良的创新型科技人才”。从科学发展历史上看创新人才的特征:

一是一个疯子:研究常人不敢想的问题;二是一个傻子:为了社会不怕牺牲自己;

三是一个痴人:选择一个项目奋斗终生;四是一个怪人:做出常人不敢信的奇迹。

8.1 应用五统一分析法检验,谐振能确实存在。

(1)理论与实践相统一:谐振能存在与输出电能增大相统一。即输入+谐振能=输出增大。

(2)理论与计算相统一:感抗和容抗互相合作与产生“内电动势”输出无功电流相统一。利用谐振品质因数 Q 2 ,可计算出谐振电能增大结果。

(3)局部与全局相统一:感抗属于电路的局部,电源和负载是电路的全局,感抗是否消耗电能必须从全局方面分析,应用瞬时功率绝对值和的方法计算瞬时平均功率值,不等于零。

(4)微观与宏观相统一:在宏观重力是保守力,消耗能量,同理在微观感抗也消耗电能。

(5)强电与弱电相统一:在弱电中视在功率代表总电能,在强电中也应当是总电能。

8.2 承认谐振能,是解决能源环保的关键。

8.2.1 否认谐振能存在,不能开展节电竞赛。

(1)竞赛是做好工作的最好办法,当代世界经济危机,急需要开展节电竞赛。

(2)因为否认谐振能存在,节电效果无法鉴定,所以世界各个国家都没有开展节电竞赛。

8.2.2 承认谐振能存在,就会开展节电竞赛。

(1)因为有谐振能存在,节电效果就有正确的理论根据,制定出鉴定的方法。尤其是在纯电阻负载和直流节电器,可制定评比标准,现场表演。电网负载可自报项目,主办竞赛单位负责检测。

(2)承认谐振能的存在,世界各个国家可开展节电竞赛,树立节电英雄,节电就会大发展。

8.2.3 承认谐振能存在,就找到理想的新能源。

(1)是最清洁的能源:谐振能是利用物理现象产生的,没有任何排除物,对人体没有损害。

(2)成本最低的能源:只有设备费,没有运行费,一次投资,年年受益。

(3)容量最大的能源:在没有承认谐振能存在的情况下,增加的电能为总发电量之和,可以称为是取之不尽用之不完的新能源,当承认谐振能之时,电能增大必然会有更大的发展。

(4)应用最方便能源:安装变压器、电感器和电容器,要比安装发电机方便多。

(5)运行最稳定能源:在半载情况下运行,可运行10年左右。

通过分析得知:踏破铁跬无寻处,得来全不费功夫,当代最理想的能源就是谐振能。

8.3 研究谐振能,节电发展无止境。

8.3.1 感性负载:利用串联电抗器和电容器方法,提高节电效果。

8.3.2 阻性负载:串联较大电抗器,变成感性负载,应用谐振能增大电能。因为阻性负载还没有利用谐振节电产品。所以在阻性负载中应用,将会把总发电量增大一倍发上。

8.3.3 直流负载:研究制造实用的《直流节电器》,提高逆变器的频率400左右,电能增大5倍左右,在电动车和电动摩托车中应用,会推动全社会生产力的发展,为实现中国梦做出重大贡献!

8.3.4 太阳能发电:在逆变器输出端串联较大电抗器和电容器,输出电能最少增大一倍左右。降低太阳能发电成本。尤其对独立用电的轮船,飞机电动车中应用意义更大! ZbFMuKtTYNckIIyFg3nYnuqp2nkrcQ/Q0Ls2JcXPLTtz5oa2l5tP/0KxcKzkMADJ

点击中间区域
呼出菜单
上一章
目录
下一章
×