



集合论是现代数学的基石,其创始人是德国数学家康托尔(G.Cantor).用集合语言可以准确地表达数学概念,简洁地进行数学推理.高中阶段函数的定义域、值域,立体几何的推理符号体系,概率论中事件及其运算等都采用了集合的表示和运算形式.
其实,数学中有些问题,并不是用集合的形式呈现的,但是仍然可以用集合的思想去分析,且往往会得到简洁明快、富有新意的解法.本文拟结合具体实例,谈谈交集、并集、包含、补集和韦恩图的集合思想在解题中的应用.
所有属于集合 A 且属于集合 B 的元素组成的集合叫作 A 与 B 交集,记作 A ∩ B ={ x | x ∈ A ,且 x ∈ B }.在解题实践中,我们经常将一个数学问题的条件分解为若干子条件(以便暂时解除它们之间的制约关系),然后分别探求只满足子条件的对象的集合,再利用制约关系求出这些子条件的对象的集合之交,即为所求问题的解.这种思想方法叫作交集法.用框图表示如下:
例如,求公约数,求公因式,求函数的定义域,列方程组(不等式组)解应用题,几何作图中的交轨法等都是交集法的应用.
例1 (1)求 y =sin x +cos x +sin x cos x 的最大值.
(2)求证:
分析
(1)常见的处理思路是:设
,则
,则
,然后可求得其在
的最大值为
其实,若注意到
且
的最大值为
,
的最大值为
,且当
时,两个最大值同时取得,所以
y
=sin
x
+cos
x
+sin
x
cos
x
的最大值为
.
(2)若直接将不等式左端记作函数
f
(
x
),然后对其求导数,判断单调性,再求其最小值,并证明大于
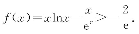
,思路着实自然,但是
f
(
x
)表达式中同时含有指数函数e
x
、对数函数ln
x
和幂函数
x
的四则运算,其导函数零点不能求出,故单调性的具体判断渺茫,策略受阻.
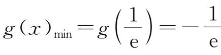
其实,若令
g
(
x
)=
x
ln
x
,则
,于是原不等式等价于证明:
.又因为
g
'(
x
)=ln
x
+1,故
g
(
x
)在(0,
)上单调递减,在(
,+∞)上单调递增,故
,于是
≥
.注意到
不能同时取到最小值,所以
评注 将原函数拆分为两个部分,再分别求其最值,然后将求出的两个最值进行运算.这与先分别求出两个集合 A 、 B ,再求交集 A ∩ B 的思想如出一辙.
所有属于集合 A 或属于集合 B 的元素组成的集合叫作 A 与 B 并集,记作 A ∪ B ={ x 丨 x ∈ A ,或 x ∈ B }.类似于交集法,在解题实践中,我们也经常将一个数学问题分解为若干简单的子问题,分别求解这些子问题,再把所有这些子问题的解叠加或求并,即为所求问题的解,这种思想方法叫作并集法,用框图表示如下:
例如,求公倍数(式),解方程,解不等式,分类讨论,几何中的形体分割法都是并集法的应用.
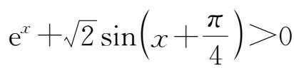
例2
求证:当
时,
证明
当
x
>
时,
f
(
x
)>
-1-1>0;
当
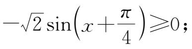
时,
f
(
x
)>-sin
x
-cos
x
=
当
<
x
≤0时,
f
'(
x
)=e
x
-cos
x
+sin
x
,
f″
(
x
)=e
x
+sin
x
+cos
x
=
,则
f
'(
x
)在
上单调递增,故
f
'(
x
)≤
f
'(0)=0,则
f
(
x
)在
上单调递减,故
f
(
x
)≥
f
(0)=0;
当
时,
f
'(
x
)=e
x
-cos
x
+sin
x
>1-cos
x
+sin
x
>0,则
f
(
x
)在
上单调递增,故
f
(
x
)≥
f
(0)=0.
综上可知,当
时,
f
(
x
)=e
x
-sin
x
-cos
x
≥0.
评注 利用区间分解
然后在每一个小区间上证得原不等式成立,进而原不等式得证.其中区间的分解方式又取决于问题的感知与分析,尤其是“式感”要敏锐.值得指出的是,若注意到 f ( x )的一些性质,区间分解方式可简化一些.这与先分别求出两个集合 A 、 B ,再求并集 A ∪ B 的思想如出一辙(这里还不止两个集合 A 、 B ,其实有四个集合).
如果集合 A 中任意一个元素都是集合 B 中的元素,就称集合 A 为集合 B 的子集,记作 A ⊆ B .在解题实践中,我们经常从一个数学问题的必要性或充分性出发,将问题的条件进行特殊化或者一般化处理,求得一部分结果后,再争取证得其充分性或必要性,也即先必要后充分或者先充分后必要的思维模式及处理策略,这种思想方法叫作包含法,用框图表示如下:
包含法就是利用集合之间的包含关系去分析处理数学问题.包含法可以应用在分析方程的增失根、轨迹问题、曲线与方程、充要条件的判定等方面.
例3 已知对任意的实数 x 均有 a cos x + b cos2 x ≥-1恒成立,求 a + b 的最大值.
分析 若按照常规思路,将 a cos x + b cos2 x ≥-1变形为:
令
t
=cos
x
∈[-1,1],则
f
(
t
)=2
bt
2
+
at
-
b
+1≥0恒成立,再讨论二次函数开口方向及对称轴
与区间[-1,1]的位置关系,思路自然但过程曲折繁杂,得到
a
+
b
的最小值更是难上加难.
但是,若先考虑必要条件,取特殊的
x
0
,使得cos
x
0
=cos2
x
0
<0,于是由
a
cos
x
0
+
b
cos2
x
0
≥-1可得,
,再验证充分条件,即验证存在
a
,
b
,使得
a
+
b
取得最大值
,即可获得原问题的圆满解决.具体地:
令cos
x
0
=cos2
x
0
<0,即2 cos
2
x
0
-cos
x
0
-1=0,则cos
x
0
=
或cos
x
0
=1 (舍去),则
a
+
b
≤2.
令
=
-1≥-1恒成立.
所以, a + b 的最大值为2.
评注 先利用必要条件得到 a + b ≤2,再通过充分性说明 a + b 可取到最大值2.这与通过证明两个集合 A 、 B 相互包含于对方而证得 A = B 的思想如出一辙.
全集
U
中不属于集合
A
的所有元素组成的集合称为集合
A
相对于全集
U
的补集,记作
={
x
丨
x
∈
U
,且
x
∉
A
}.在解题实践中,当直接求解某问题有困难时,我们经常用补集法考虑其对立问题,从而达到化难为易、化繁为简的目的,这种思想方法叫作补集法,用框图表示如下:
补集法可以用来转化命题,即当直接求解某问题有困难时,我们可以用补集法考虑其对立问题,从而达到化难为易、化繁为简的目的.反证法、容斥原理、排列组合中的排除法和几何中的补形法都是补集法的具体运用.
例4 甲有 n +1枚硬币,乙有 n 枚硬币,双方投掷之后进行比较,求甲掷出的正面数比乙掷出的正面数多的概率.
分析 若直接处理,则需按照甲掷出的正面数 k ( k =1,2,3,…, n +1)进行分类,而且,对给定的 k ,乙抛出的正面数可以是0,1,2,…, k -1,则原问题的概率计算必然涉及复杂的求和问题.
其实,若将事件“甲的正面数>;乙的正面数”记为
A
,则
表示“甲的正面数≤乙的正面数”,但是考虑到条件中甲只比乙多1枚硬币这一特殊条件,则
也表示“甲的反面数>;乙的反面数”.再由硬币的对称性,显然
P
(
A
)=
,再由事件
A
与
互为对立事件,即
P
(
A
)+
=1,可得
评注
先构造事件
A
的对立事件
,然后又注意到甲只比乙多1枚硬币的隐含条件,结合硬币的对称性,推得
,故
这与先求出集合
(或得到关于它的等式条件)再求出集合
A
的思想如出一辙.
韦恩图是研究集合的重要工具,韦恩图法就是将集合用韦恩图表示,利用韦恩图的直观性,使抽象的问题直观化,使得问题易于求解.
例5 已知集合 A , B , C (不必相异)的并集
求满足条件的有序三元组( A , B , C )的个数.
分析
因为集合
A
,
B
,
C
中元素可重复,于是若直接着手构造集合
A
,
B
,
C
,使得其并集为
,再计算其总个数则会相当烦琐.
其实,可以反客为主,考虑将集合
中每一个元素如何分配到
A
∪
B
∪
C
中.
如下图所示,集合
A
,
B
,
C
的韦恩图交出了7个区域.要使得
A
∪
B
∪
C
=
,只需将1,2,3,…,2022分别填入这7个区域中,每一种填法均对应着一种满足条件的三元组(
A
,
B
,
C
).因为每个数有7种填法,故满足条件的三元组(
A
,
B
,
C
)共有7
2022
个.
评注
将原来先有集合
A
,
B
,
C
,再有其并集为
的思路迅速摒弃调整,转化为如何将
分配到
A
∪
B
∪
C
中,这类似于“信投邮筒”的经典分步乘法计数问题,而且借韦恩图以形助数,格外简洁.
作者:朱华伟.原载:《中学数学》1990年第8期.