



推广是数学研究中极其重要的手段之一,数学自身的发展在很大程度上依赖于推广.数学家总是在已有知识的基础上,向未知的领域扩展,从实际的概念及问题中推广出各种各样的新概念、新问题.
一个数学命题由条件和结论两个部分组成,正确的数学命题揭示了条件与结论之间的必然联系.一个数学命题的条件改变了,其结论也往往随之发生相应的变化.推广就是扩大命题条件中有关对象的范围,或扩大结论的范围,即从一个事物的研究过渡到包含这一类事物的研究.在数学命题推广的过程中,所使用的主要方法是归纳和类比.从推广的方向看,有纵向推广和横向推广.学科命题在本学科内深入发展叫作纵向推广;将本学科命题移植或类比引申到别的学科中叫作横向推广.具体操作推广时,主要从考查命题的条件、结论或解题方法入手获得启发推广.
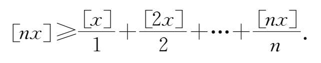
在初等数学中,我们习惯上把直线叫作一维空间,平面叫作二维空间,立体几何中所说的“空间”叫作三维空间.除此之外,“维数”还泛指未知数的个数、变量的个数、方程的次数、不等式的次数、行列式的阶数、数表的阶数等.数学家喜欢将数学问题从低维推广到高维,高维的问题往往比低维的问题要困难、复杂一些,因此将低维问题推广到高维问题也是数学竞赛命题者所喜爱的命题方法之一.
1963年第26届莫斯科数学竞赛有这样一道试题:
若 a , b , c 为任意正数,求证:
而下面的题目是流传甚广的(1988年被移用为第二届友谊杯数学竞赛题):
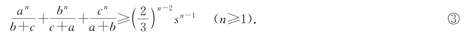
若 a , b , c 是三角形的三边,且2 s = a + b + c ,则
这样一来,通过观察①、②式的结构特点,可归纳出不等式:
【 题1 】 (第28届IMO预选题)试证:若 a , b , c 是三角形的三边,且2 s = a + b + c ,则
运用归纳、类比的方法还可将③式做进一步推广.
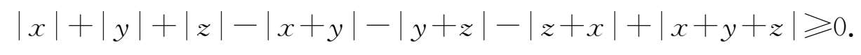
观察②式,其左边是二阶循环的形式,我们联想到,若循环一阶会有怎样的结果?通过推敲得到:
其中 x 1 , x 2 , x 3 >0.
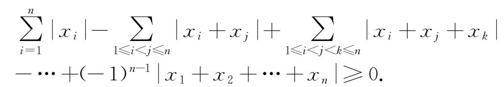
又容易联想到:
由④、⑤式归纳出更一般的不等式:
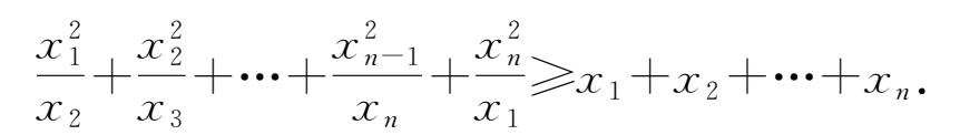
【 题2 】 (1984年全国高中数学联赛试题)设 x 1 , x 2 ,…, x n 都是正数.求证:
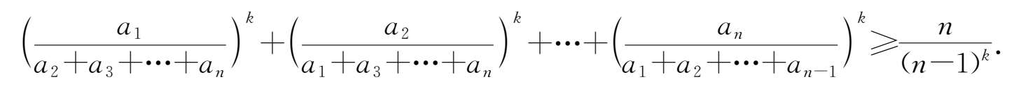
再考虑将①式从三元( a , b , c )向 n 元( a 1 , a 2 ,…, a n )推广:
若 a 1 , a 2 ,…, a n 为正数, n >1,则
⑥式左边分式都是一次的,我们猜测能否升次,于是有
【 题3 】 (第30届IMO预选题)设 k ≥1, a i ( i =1,2,…, n )是正实数,证明:
关于这个问题的进一步研究,详见《一道IMO备选题的溯源与推广 》[朱华伟.中学数学,1991 (3)].
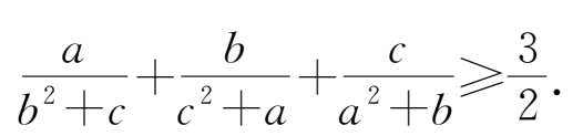
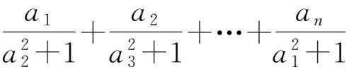
2003年IMO保加利亚国家队选拔考试有一道和不等式①、②结构类似的问题:
【 题4 】 已知 a , b , c 是正实数,且 a + b + c =3,求证:
考虑从三元( a , b , c )向 n 元( a 1 , a 2 ,…, a n )推广则有:
【 题5 】 (2007年女子数学奥林匹克试题)设整数 n >3,非负实数 a 1 , a 2 ,…, a n 满足
求
的最小值.
我们知道,平面上给定 n 个点( n ≥3),任意三点不共线,则这 n 个点中一定存在两点 A , B ,使其余 n -2个点都在直线 AB 外,这太平凡了,不过让我们耐心一点,看能否做一点推广.
若将两点 A , B 扩充为三点 A , B , C 会有什么结果呢?任意三点不共线,则是否存在三点 A , B , C 构成一个三角形,使得其余 n -3个点一定在△ ABC 之外呢?回答是肯定的.于是有
【 题6 】 平面上给定 n 个点( n ≥3),任意三点不共线.求证:在这 n 个点中存在三个点 A , B , C ,使其余 n -3个点都在△ ABC 之外.
在此基础上,再向空间推广,将△ ABC 与四面体 ABCD 做类比,有
【 题7 】 空间给定 n 个点( n ≥4),任意三点不共线,任意四点不共面.求证:在这 n 个点中存在四个点 A , B , C , D ,使其余 n -4个点都在四面体 ABCD 之外.
在平面几何中有下述结论:
AB , CD 分别是两个圆的外公切线和内公切线,且满足点 A , C 位于同一个圆上,点 B , D 位于另外一个圆上.求证: AC , BD 在两圆心的连线上的射影长相等.
对平面上的情形,这个问题是简单的,我们将这个问题推广到空间,则得到:
【 题8 】 AB , CD 分别是两个球的切线,且满足点 A , C 位于同一个球上,点 B , D 位于另外一个球上.求证: AC , BD 在两球心的连线上的射影长相等.
这道题的解答依赖于这样一个事实:两球的公切线的中点位于同一个平面上,且该平面与两球心的连线垂直.
特殊与一般是数学研究中经常遇到的一对矛盾,当解决一个特殊的数学问题之后,人们往往力图把这一结果扩展开来,从不同角度加以推广.从特殊向一般推广的主要类型有以下几种.
先找出已知命题中的条件或结论中的某个对象,把它作为类概念,然后扩展到与它邻近的种概念.
新加坡1988年有这样一道数学竞赛题(叙述略有改动):
一个梯形被两条对角线分成四个三角形.若
S
1
,
S
2
分别表示以梯形上、下底为底边且有公共顶点的两个三角形的面积,则梯形的面积
,即
将此题条件中的对象——梯形作为类概念,扩展到与它邻近的种概念——凸四边形,其他条件不变,会有什么结论呢?经过推演可得:
【
题9
】 设凸四边形
ABCD
的对角线相交于
O
,△
AOB
和△
OCD
的面积分别为
S
1
,
S
2
,四边形
ABCD
的面积为
S
,求证:
,其中等号成立当且仅当
AB
∥
CD
.
把一个仅对某种或几种特殊状态(位置)成立的命题,推广到对一般状态(位置)都成立.
2 300多年前,古希腊学者欧几里得系统地整理了当时的数学知识,写成了千古流传的名著《几何原本》.《几何原本》共13卷,包含了465条命题.有趣的是,有一条非常基本的重要命题,它没有受到欧几里得时代数学家们的注意和重视(之后的2000多年中也没有得到应有的重视).如果当初欧几里得或别的数学家重视了,几何学的历史有可能被改写,几何难学、几何解题无定法的局面早就改观了.
这是《几何原本》第6卷的命题一:
“等高三角形或平行四边形,它们彼此相比如同它们的底的比.”
这里所谓的“它们彼此相比”指的是两个三角形或平行四边形的面积比.命题中最有用的部分,是现在小学生都知道的事实,我们把它当作一个基本命题:
等高三角形的面积比等于底之比(见图1).
图1
具体地,若 P , A , Q 三点在一直线上,则对任一点 B 有:
这里△ XYZ 也用来表示三角形 XYZ 的面积.
从基本命题只要再前进一步,就得到了在平面几何中举足轻重的共边定理.
若直线 PQ 和 AB 交于点 M (见图2,有4种情形),则
图2
共边定理和基本命题的共同点,都是把两个三角形的面积比化成共线线段之比.共边定理中若, B 在直线 PQ 上,就回到了基本命题.所以,它是基本命题的推广.基本命题如图1中的线段 PQ , AB 的位置变得更一般些,使 A 不在直线 PQ 上,再添上交点 M ,就成了共边定理的图形了.这一点改变很重要.欧几里得时代的几何学家们,就是没有注意到这一点改变,才失去了这条无比重要的共边定理,也错过了发现平面几何机械化解题方法的机会.
共边定理涉及平面几何构图中最常见的一个步骤:两直线
AB
,
PQ
交于一点
M
.要确定交点
M
的位置,本是一件不容易的事,它相当于解二元一次联立方程组.而共边定理却用两个三角形的面积比简单地表示出
M
在线段
PQ
上的位置.等式右端的
M
,在左端不出现了,也就是被消去了.这个事实,在几何问题的机械求解中起到了关键作用
.
1990年印度向第31届IMO提供了如下的题目(叙述及字母记号与原题略有改动):
图3
如图3,设圆 P 外接于锐角△ ABC ,且 AB ≠ AC , CE ⊥ AB ,交 AB 于 E ,交圆 P 于 D ,过 D 、 E 及边 BA 的中点 M 作圆,再过 E 做此圆的切线分别交直线 BC 、 AC 于点 F 、 G .求证: EF = GE .
据第31届IMO选题委员会委员张景中教授介绍,他利用面积方法对此题进行了如下推导:
于是
进而得
至此还没有用到条件
CE
⊥
AB
,
AM
=
MB
,因而张景中先生考虑向一般推广,将特殊位置关系:
CE
⊥
AB
,
AM
=
MB
扩展为:
CD
与
AB
相交于
E
,
M
为
AB
上一点(即
AM
=
tAB
),结论变为求
,于是有第31届IMO选题委员会向主试委员会提供的备选题:
【
题10
】 设圆内两弦
AB
,
CD
交于圆内一点
E
,在弦
AB
内取不同于
E
的点
M
,过点
D
,
E
,
M
做圆,再过
E
做此圆的切线分别交直线
BC
,
CA
于点
F
、
G
,若
AM
=
tAB
,试求比值
.
把一个仅对某些自然数成立的命题,推广到对所有的自然数成立,或者把题目的条件或结论中的某些数值扩展到更一般的情形.
《趣味的图论问题》(单墫,上海教育出版社,1980)第37页第10题为:10个学生参加一次考试,试题10道,已知没有两个学生做对的题目完全相同,证明在这10道试题中可以找到1道试题,将这道试题取消后,每两个学生所做对的题目仍然不会完全相同.
考虑更一般的情况,将数值10推广为任意自然数 n ,并将考试做题改述为乒乓球赛,就有:
【 题11 】 (1987年全国高中数学联赛试题) n ( n >3)名乒乓球选手单打比赛若干场后,任意两个选手已赛过的对手恰好都不完全相同.试证明,总可从中去掉一名选手,而使在余下的选手中,任意两个选手已赛过的对手仍然不完全相同.
有些数学问题可以从不同角度,沿着多种途径推广.
例如,很久以前有这样一道题:在边长为1的正方形内,任意放置5个点,求证:其中一定可以找到两个点,它们的距离不大于
.
设想把两点改为3点,两点之间的距离用3点作为顶点的三角形面积来代替,则有
【
题12
】 (1963年北京市数学竞赛试题)在一个边长为1的正方形内任意放置9个点,证明:在以这些点为顶点的三角形中必有一个三角形,它的面积不大于
.
设想将9点推广至101点,则有
【 题13 】 (第27届莫斯科数学竞赛试题)在边长为1的正方形中任取101个点(不一定都在正方形内部),其中任意3点不共线.证明:其中必定存在某3点,以它们为顶点的三角形的面积不大于0.01.
还可将101个点推广到2
n
+1个点,而0.01变为
.
将正方形与立方体类比,三角形与四面体类比,题13还可从平面向空间推广,把3点改为4点,三角形的面积用任4点为顶点的四面体的体积来代替,则有
【
题14
】 在一个边长为1的立方体内任意地给定25个点.证明:在以这些点为顶点的四面体中必有一个四面体,它的体积不大于
.
平面几何中有一个非常有名的维维亚尼(Viviani)定理:
【 题15 】 等边三角形内任意一点到各边的距离之和是定值(三角形的高).
这个定理的逆命题也成立.题15可以很容易地推广到任意凸等边多边形的情况,也可以比较显然地推广到任意凸等角多边形的情况.事实上,令
A
1
A
2
…
A
n
是等角多边形(如图4,
n
=5的情形).考虑正
n
边形
,它的每条边分别与原
n
边形的每条边平行,对多边形
A
1
A
2
…
A
n
内任意一点
M
,它到
边的距离之和是个定值.
M
点到原
n
边形任意一边的距离小于该点到正
n
边形
边的距离,且两者的距离之差是个定值.因此
M
点到
A
1
A
2
…
A
n
边的距离之和是异于
M
点到
边距离之和的一个定值.因此它本身也是一个定值.于是得到:
【 题16 】 任意凸等角多边形内任意一点到各边的距离之和是定值.
图4
还可以更进一步地推广为:
【 题17 】 平面上 n 个不相同的单位向量,它们的和为0,考虑边分别与这些单位向量垂直的凸 n 边形,那么这个凸 n 边形内部的任意一点,到这个凸多边形边的距离之和相同.
关于等边三角形这个著名定理,还可以考虑推广到三维空间的情形:
【 题18 】 正四面体内任意一点到各面的距离之和是定值.
题18的逆命题也成立.
【 题19 】 正多面体内任意一点到各面的距离之和是定值.
【 题20 】 若一个多面体各面面积相等,则此多面体内任意一点到各面的距离之和是定值.
如果对于三维空间题17成立,那将是很有意思的.
1981年第11届美国数学奥林匹克第5题是一个漂亮的数论不等式:
【 题21 】 如果 x 是正数, n 为正整数,求证:
其中 x 表示不超过实数 x 的最大整数.
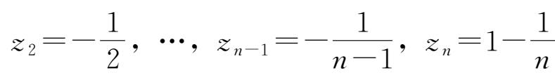
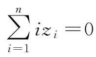
题21可以推广为:
给定正整数
n
,及实数
z
1
≤
z
2
≤…≤
z
n
满足
,证明:对任意实数
α
,有
特殊的,当
z
1
=-1,
时,即为题21.
再稍加包装,记 z i = x i - y i,则得到我提供给2008年CMO (中国数学奥林匹克)的第3题:
【 题22 】 给定正整数 n ,及实数 x 1 ≤ x 2 ≤…≤ x n , y 1≥ y 2≥…≥ y n ,满足
证明:对任意实数 α ,有
这里,
表示不超过实数
β
的最大整数.
由于推广命题的过程中,所使用的方法主要是归纳和类比,因此推广后的命题有真有假,对于假命题,一方面可考虑增加条件构造出真命题,另一方面可要求寻求反例.
及
不难想到把这个不等式推广为:
不幸的是,它甚至对于 n =4就是不成立的,一个反例是 x 1 =2, x 2 = x 3 = x 4 =-1.
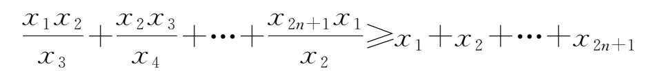
下述不等式是极为常见的:
即
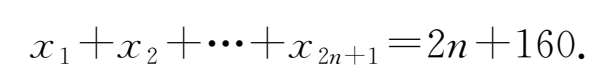
若考虑变元,将三元推广到(2 n +1)元,则有
【 题23 】 (第32届IMO加拿大训练题)设 n ≥1,对于2 n +1个正数 x 1 , x 2 ,…, x 2n+1 ,证明和否定
等号成立当且仅当 x i 都相等.
当 n =1时,不等式成立.
当 n >1时,不等式不一定成立.例如,取 x 1 = x 2 =1, x 3 =150, x 4 =3, x 5 =9,其余的都等于1,则
所以,当 n >1时,不等式不一定成立.
考虑一个很简单的平面几何命题:任意三角形至少有一条高的垂足落在相应的边上(而不是边的延长线上),把这个命题推广到三维空间就得到下列问题:
【 题24 】 任意四面体至少有一条高的垂足落在相应的面上,这个命题正确吗?
答案是否定的,反例的构造留给读者.
推广,对数学学习、数学竞赛及数学研究都十分重要.在数学学习中,推广可以加强对学生观察、分析、比较、综合、概括、归纳、类比和发现能力以及创新精神的培养,是开展研究性学习的有力助手;在数学竞赛中,推广可以产生新问题、新方法,可以加深选手对问题本身的认识和理解;在数学研究中,推广可以引导数学发现,可以产生新定理、新方法、新理论.
作者:朱华伟,张景中.原载:《数学通报》2005年第44卷第4期.