



通信和硬件技术的发展也是推动边缘计算技术的核心驱动力之一。我们可以看到,最近几年连接到网络的设备除移动电话和PC外,还有各种工业自动化设备、机器人、智能家居、智能电器、智能交通设备、安防和监控系统等。这些设备本身和这些设备附带的传感器会产生大量的数据,同时设备也需要云端和边缘设备提供各种功能。物联网中接入设备的数量在迅速增长。另外,其中的这些终端设备本身对计算能力、存储能力和带宽的要求也大大提高了,尤其是增强现实(AR)/虚拟现实(VR)还有人工智能技术的发展和应用,对边缘计算能力提出了更高的要求。尽管现阶段,一些技术还要进一步地发展和改进,但是这些技术正在成为下一轮技术投资和研发的热点。
我们在边缘计算系统中有可能使用到从数据中心的大型刀片服务器,到野外部署的小型嵌入式设备在内的各种规格的计算机硬件。边缘计算项目中会涉及各类硬件的研发或选型,不过在大多数的场景中,我们需要考虑的主要还是低功耗的通信技术及小型的计算设备。
首先,通信领域为迎接物联网和边缘计算的爆发做好了准备。随着5G网络标准和技术的成熟,从2018年年底开始,全球各大电信运营商就开始了对5G网络的规划和布局。从2020年开始,5G网络的大规模建设开始启动。5G本身只是数据通信网络的服务,并不是万能药。但是,其高带宽、低延迟及能够对不同应用类型服务分层的特点,对物联网和边缘计算技术的应用起到了非常关键的促进作用。
其次,各种边缘硬件设备也逐渐发展成熟起来。比较常见的如Arduino、树莓派、Intel NCS2、Google Coral USB Accelerator、NVIDIA Jetson Nano等。这些设备的功能覆盖了从边缘数据分析、AI处理、通用计算到数据存储等各方面的能力。专用边缘设备普遍是低能耗、设计简单、成本低廉的小型系统,并且使用和部署有非常强的灵活性。
对物联网设备的分类和性能指标的制定也非常重要,但是在这个领域中还没有通用的参考标准。尽管如此,这个方向还是有一些比较前沿的研究,这些研究对设计未来的物联网设备、边缘设备,还是有很大的参考价值的。
中国科学院计算技术研究所的研究报告Ecosystem of Things: Hardware, Software, and Architecture提出把物联网设备根据大小尺度分成五种类型:极小型(直径小于1毫米)、毫米级、厘米级、分米级和米级的。这种分法其实有些过细,而且在实际的应用中可能并不适用,其实只要分为微型(边长在小于1毫米到数毫米级别的)、小型(边长在厘米到分米级别的)和大中型(边长在几分米到几百米级别的)即可。另外,这个研究报告还提出了一个大的分类法,把物联网设备分为简单设备和复杂设备。
另外,有必要提到一个名词的使用。在涉及物联网的英文版文献中,都会把各种物联网相关的设备用Thing这个单词来表述。事实上,物联网的物包括了各种人造和非人造的物体,是一个非常宽泛的概念,而设备其实通常指的是能够实现某种功能的人造系统或机械。如果只是使用设备来描述这个Thing,其实并不完全准确,可能用物体比较好,但是这样又很难让读者理解。总体来说,对于物联网的研究和开发,我们主要还是针对狭义上设备的控制及数据收集、处理、分析和利用。所以,本书中除了特别需要提到的地方,对于Thing和Device的中文名称都统一用设备来描述。表1-1列出了根据不同特征划分的物联网设备的类型和参数。
表1-1 根据不同特征划分的物联网设备的类型和参数
对于特别微小的设备,现在出现了新的名词,叫作Internet of Nano Things(IoNT)。对于这类设备的网络,其实还处在非常早期的研究阶段,本书不做过多叙述。在生命科学和医疗方面,这种微型设备未来会有很广泛的应用。
另外一个影响物联网设备的重要指标是能量利用效率。由于不同的物联网设备会有不同的使用环境,在很多实际的使用场景中,设备的能源供应是有限的,并不能确保随时都能给边缘设备不间断地供电。很多边缘设备需要依靠自带的电池工作很长时间,因此综合能效也是边缘设备非常重要的指标,在很多领域中,我们希望能够有高能效比的设备。在边缘设备领域中,我们用“算力/单位功率”来度量设备的能效。
当前的工业级微控制器(Micro Controller Unit,MCU)的功耗在0.5~544.5mW,能效可以达到0.735~13.89GOPS/W。在研的新型MCU,能效可以达到77~374GOPS/W。未来的边缘设备和物联网数据处理设备能够用更少的能量获得更加强大的运算能力,这将会进一步推动物联网技术的发展。
人工智能(AI)加速芯片领域,针对特定的AI加速,可以比MCU达到更高的能效水平。这对AI技术在边缘端的应用是一个非常鼓舞人心的消息。在AI芯片的研制方面,我国的寒武纪公司的产品是走在技术前列的。
在尖端高能效技术研究方面,美国国防部高级研究计划局(DARPA)和SRC公司宣布的JUMP研究项目,其中一项目标是研发3200TOPS/W的智能感知计算系统。
无论我们采用什么样的边缘网关或边缘服务架构,都需要有中央计算单元和存储器。事实上,我们在边缘计算系统中使用的技术并没有什么特别的地方。最具挑战性的是,需要在现有的OEM设备或分立模块搭建的系统基础上,确定哪一种配置和性能更适合特定场景的应用。我们必须在性能、稳定性、功耗和成本上取得一个平衡,而这些因素往往是互相制约的。如果我们足够幸运,有可能在实际的应用中直接采用双至强处理器加上512GB内存的MEC刀片服务器。但是,在绝大多数时候,我们肯定需要在各种硬件中作出选择,采用合适的硬件方案。我们在讨论计算设备时,性能永远是需要考虑的因素。对于边缘设备,性能的一个重要决定因素就是中央处理器(CPU)的处理能力,而中央处理器的处理能力又与能耗直接相关,通常性能越强的处理器能耗越高,采购和使用的成本也会更高(更多能耗,更多更贵的外围辅助元件)。
中央处理器指令集分为复杂指令集(CISC)和精简指令集(RISC)两种,在实际的应用中,我们经常能够接触到的CPU架构有Intel和AMD的X86架构和ARM架构。当然,也有一些比较少见的架构,比如MIPS、RISC-V、SuperH、Spark及PowerPC。目前来看,除X86架构是复杂指令集外,其他芯片架构都是采用的精简指令集。值得一提的是,我国国产的龙芯使用的LoongISA是基于MIPS64的精简指令集架构,并扩展了1400多条向量处理、虚拟化和二进制翻译的扩展指令。不过,从龙芯3A5000开始,龙芯中科技术股份有限公司似乎决定将彻底和美国技术切割,重新设计了所有的基础指令集系统,并内置了SM2/3/4国密算法处理模块,使该芯片成为专为我国特殊应用领域打造的完全自主产权芯片。
基于CISC的CPU能够提供更多更复杂的功能指令,比如X86芯片可以直接用一条指令读取内存和寄存器的数据并进行计算,这样执行一条指令实际上需要多个时钟周期。而基于RISC的CPU通常一条指令在一个时钟周期内就能够完成。基于RISC的CPU,通常从内存中读取数据到寄存器和寄存器中的数据进行计算会被分成两条指令来执行。基于CISC的CPU尽可能在芯片的硬件层面提供更丰富的功能。而RISC通常只会提供必要的指令,大多数的功能实现交给软件层面进行解决。由于CISC的指令数量多且复杂,因此通常其指令长度都是可变的;而RISC的指令长度一般都是固定的,以便于简单快速地存储和读取指令,同时也可以简化指令队列的设计。
另外,不同的计算系统在处理数据时采用不同的字节顺序设计,分为大数端(MSB)和小数端(LSB),指的是在系统中表示数据的二进制码最末一位是最高位(大数端)还是最低位(小数端),如图1-5所示。大多数系统只能支持其中一种,在设计时就已经确定。不过,目前很多最新的处理器在启动阶段是可以设定字节顺序的类型的。总之,编译好的程序代码必须和运行的处理器兼容才能够正常执行。在IoT系统中,我们有必要关注这一点。因为数字传感器采用的是一种顺序,而边缘服务器在处理数据时却是另外一种顺序,这时就必须使用硬件或软件进行字节顺序的转换。无论用哪种方式转换,其实都会涉及额外的计算效率损失和能量消耗,这在整体设计和软硬件选型时有必要给予充分的考虑。
图1-5 大数端和小数端的区别
目前比较主流的内存技术包括DRAM(DDR)、Low Power DDR(LPDDR)和Graphics DDR(GDDR)。这些内存技术在芯片层面的本质都是一样的,只是在速度、功耗和价格上有区别,如表1-2所示。
表1-2 主流内存设备的参数
未来的DDR6的性能会更强,能够达到目前DDR5的两倍左右。在一些对数据计算可靠性要求高的场合,如服务器和重要的边缘计算系统中,可以采用ECC技术的内存芯片,其加入了错误校验和恢复的功能。由于在机房和很多边缘计算的环境下,电磁环境比较复杂,电磁干扰也比较严重,因此加入ECC功能能够确保数据计算的正确性和系统的可靠性。
部署在边缘设备上的长时间存储设备通常是固态硬盘(SSD)这样的固态闪存存储系统,这是因为这种存储设备的随机读写性能较高、能耗低、数据密度大、对振动不敏感,非常适合移动设备和小型边缘设备使用。不过,闪存的存储部件是由NAND芯片组成的,芯片的擦除和写入寿命是有限制的(表1-3)。而且一旦芯片损坏,数据无法恢复。因此,对于这些固定的存储设备,必须用有效的手段进行监控,并每隔一段时间对数据进行备份,更换存储模块,以确保系统能够长期稳定地运行。
表1-3 闪存单元种类和特点
由于边缘计算工作环境的多样性,以及边缘设备的部署数量有可能是巨大的,因此如何给设备提供持续稳定的能源常常也是边缘计算中的重要问题和挑战。在不久以前,并没有太多可靠的技术可以为偏远地区的大量边缘设备提供有效的电力支持。如今,微型化的电池技术、能量采集技术和高密度储能技术的发展和应用,为边缘设备的大规模部署和应用提供了可靠的保障。
能源管理涉及的范围比较广,我们仅对物联网和边缘计算相关的能源供应技术进行介绍。边缘计算能源管理需要考虑的方面有:传感器能量的供应,数据采集的频率,无线通信的信号强度和范围,计算设备处理器的性能和工作主频,能源的泄漏和低效的供电,伺服器和电机的储能,等等。
边缘计算领域常用到的能量存储目前主要是以锂电池为主,从大型的集装箱式储能装置到嵌入设备中的小型电池单元都会用到锂电池技术。当然,广义上很多其他类型的储能技术,包括物理储能技术,在某些情况下也有可能被使用,但是这些内容过于庞杂,而且在边缘计算领域中并不主流。
电池的供电电压和剩余电量之间的关系不是线性的,因此配置或开发合适的电池管理系统(BMS)常常是整个储能系统的关键所在。在设置整个边缘计算系统时,需要考虑整个系统需要的电能供应量和供应方式,然后再考虑功能和成本,设计出合适的综合供能方式。
1.电池技术
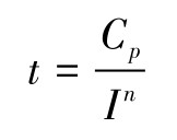
电池的容量单位用安培小时(Ah)来表示,简单的电池剩余使用时间预测公式如下。
式中,C p 表示Peukert电池容量;I表示放电电流;n为Peukert指数,通常在1.1到1.3之间。铅酸电池的容量变换特性如图1-6所示。当然,Peukert指数的值也会受到输出温度、湿度等外界因素的影响。Peukert效应描述了电池在高放电速率下容量减小的现象,即电池在高电流下放电时,其可用容量通常比在低电流下放电时要小。总体来说,锂电池受Perkert效应的影响比铅酸电池要小。
图1-6 铅酸电池输出电流和可用容量的关系
另外一个用于衡量电池性能的指标是电压和电池容量的关系,最好的情况是电压不会因为电池当前容量的变化而变化。但是,实际上是不可能的,电压和电池容量的关系绘制成图形都是一条曲线。没有放电之前的电压最高,放电后的电压最低,而且在电量将要用完之前,电池电压往往会有一个阶跃式的下降,这会对电池性能造成很大的影响。因此,大多数情况下,电池管理系统应该在电压到某个阈值时就切断电流。如图1-7所示,不同类型电池的容量和电压特性曲线的区别非常大。
图1-7 不同类型电池的容量和电压特性曲线
从图1-7中可以看出,锂电池在电压性能(工作电压较高)和电压平稳性(曲线比较平直)上比铅酸电池和镍铬、镍氢电池都要优良很多,只是在放电过程末端会有一个比较大的电压下降。根据目前的电池技术,在条件允许的情况下,使用锂电池作为电源是比较好的选择。另外,虽然电压和电池容量不是线性关系,但是可以通过训练非线性模型来估算电池的剩余电量。不过,不同厂家、不同批次,甚至同一批次的电池由于保存状况或使用次数的不同,它们的容量和电压特性曲线都不一样。因此,要比较准确地估计电池的剩余电量,必须通过观察记录该电池多次完整的充放电周期,才能获得比较精确的曲线,从而较准确地估计剩余电量。
2.能源采集
能源采集指的是通过收集环境中的能量,来为设备提供电力。在环境中,有很多能量可以转换成电能,比如温度差、光能、电磁场等。这些能量是很多低功耗边缘设备或物联网设备的主要或辅助供电来源。这种需要采集环境能量的系统,通常都需要比较高效的能源管理系统来捕获和存储电力,同时在不需要用电的情况下关闭设备的非必要功能以节省电力。
目前比较常见的能量采集方式有太阳能、压电效应、热能、无线电射频等。有大量的低功耗物联网和边缘设备适用于通过采集额外电能来延长工作时间,甚至在生命周期中一直保持电能供应。通常,100mW以下的单独模块或硬件都能够受益于能源采集技术,包括GPS定位、蓝牙传输、微型传感器、遥控设备、射频识别(RFID)标签、小型计算器、实时时钟、处于待机模式的微处理器等。
太阳能是一种非常重要的新能源类型,在当今世界的能源体系中发展特别快。事实上,低功耗边缘设备可以使用的光源类型不只有太阳能,任何自然或人工的光源都是可以利用的。半导体光伏效应是光能采集的技术基础,太阳能采集是将巨大的半导体阵列板放置在能够接收到太阳光的地方,从而产生电能。在比较偏远但是日光资源比较丰富的地区,太阳能是非常好的电力解决方案。
不过,由于太阳能的不稳定性及昼夜的变化,在配置太阳能接收和转换设备的同时,也必须采购和安装储能装置,以便将电能错峰平谷。我国相对偏远并且人口密度较低的西北和东北等地的太阳能资源比较丰富。因此,如果是这些地区的项目,其实可以考虑将全部或部分能源采集自光能。
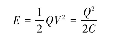
压电效应也是获取环境能量的技术手段之一。压电效应是指一些电介质材料在沿一定方向受到外力的作用而变形时,其内部会产生极化现象,同时在它的两个相对表面上出现正负相反的电荷。如果反复不断地给予压力,则能够通过电路采集到电流并存储能量。因此,各种运动、振动甚至声压产生的机械张力都可以通过压电效应转化为能量。能量收集设备可以将机器、道路和其他基础设施产生的振动、压力和机械能转换成电能。这些能量来源可以产生毫安级的电流,适用于一些有能量存储的极小型边缘设备和系统,产生毫安级电流的过程可以使用微电子机械系统(MEMS)、静电或电磁系统来完成。压电能量收集的原理公式如下。
式中,Q为平面恒定电荷的大小,V为恒定电压,C代表压电材料间的电容。能量E的大小与产生的平面恒定电荷平方Q 2 成正比,与压电电容C成反比。图1-8所示是压电能量收集器件的原理,图1-8(a)采用的是双层压电材料,图1-8(b)采用的是单层压电材料。
图1-8 压电能量收集器件的原理
温度差形成的热能也可以作为一种辅助的能量获取手段,能够被边缘设备利用的热能转化手段,主要是利用塞贝克效应的热电转换器件完成的。热电转换器通常被称为热电偶或热电发生器(TEG)。塞贝克效应又称为第一热电效应,是指由于两种不同的电导体或半导体的温度差异而引起两种物质间的电压差的热电现象。这种原理也可以用在给可穿戴设备供电上,人体温度和空气温度就能够形成一定的温度差,从而产生能量给设备供能。
常用的热电转换元件能够在5℃的温差上产生3V、40µW的电能输出。现代主流热电转换装置一般都是采用N型和P型的碲化铋半导体,一端电极接触或靠近热源,另一端连接绝缘底座。如图1-9所示,P型半导体在冷端产生带正电的空穴,而N型半导体在冷端产生带负电的电子,然后用导线将两电极连接起来,就产生了电流。
图1-9 热电效应电能收集元件的原理
这一部分主要涉及的是与边缘计算有关的无线通信技术,这是因为在边缘计算领域中,无线通信技术更为适用,而且更加普遍。当然,在一些特殊的领域中,有线通信技术仍然占非常重要的地位。但是,从物联网和边缘计算的角度来看,尤其在架构和技术选型方面,对于无线通信技术的选择和使用更加复杂,也更加重要。关于边缘计算通信技术相关的内容,会在后面的章节详细介绍。这里只是做一个简单的分类,使读者能够对边缘计算涉及的通信技术要求和特点有一个了解。
到目前为止,通信技术的发展主要还是集中在解决人与人之间通信交流的问题。不过,随着边缘计算技术和各个行业信息化的发展,机器与人及机器与机器之间的通信需求变得更加普遍。虽然这个领域已经有大量的可用技术,但是还没有形成一个比较完整的体系和技术标准。这里主要介绍一下通信技术分类和在边缘计算中的适用性。
总体来说,无线通信技术根据传输距离可以分为无线个人局域网(WPAN)、无线局域网(WLAN)和广域网(WAN)几类,有时我们可能会把Internet从WAN中单独拿出来。在分析和处理技术问题时,遵循奥卡姆剃刀原则是比较有效率的方式。
WPAN是一种通过低功耗无线通信技术,用于在个人工作空间内互连电子设备的计算机无线网络。WPAN是IEEE 802.15工作组的名称,用于拟定和发布相关的标准。目前这个工作组已经更名为无线传感器网络(WSN),名称的改变也说明WPAN包含的内容其实已经超出了无线个人网络领域,其包括近距离(通常15米以内)办公场所、家庭及公共设施等网络连接。
整体上来看,TCP/IP协议在信息传输和交换领域中占据了主导地位。尽管如此,还是有许多通信技术,尤其是在WPAN和WLAN领域中没有使用TCP/IP协议。后面会将目前使用的WPAN技术大致分为基于IP和非IP两种进行介绍。通常,不使用TCP/IP协议的原因是,保持通信配置简单、降低数据报文处理性能要求、降低能耗、减少通信冗余等。
非IP的WPAN技术标准主要是在前面提到的IEEE 802.15工作组的标准体系下定义的。主要的技术有蓝牙(Bluetooth),体现在标准IEEE 802.15.1和IEEE 802.15.2中;ZigBee技术,IEEE 802.15.4定义了其PHY层和MAC层的标准。ZigBee的完整体系是由ZigBee联盟负责维护和发布的,同时这个联盟也负责协议认证和授权。如果开发使用ZigBee协议的设备和元器件,必须取得该组织颁发的授权。Z-Wave是另外一种非IP的WPAN技术,与ZigBee非常相似。不过,其工作频率为900MHz,因此带宽远远低于ZigBee,且一个网络支持的接入设备数量也只有232台。
基于IP的协议主要是应用了6LoWPAN相关标准,这是基于IPv6的低功耗个人区域网络,优点是能够加入基于IP的比较成熟的路由,具有安全及其他网络管理机制,同时也能符合低能耗的要求。Thread协议就是基于6LoWPAN的,其原生支持高级加密标准(AES)。另外,常见的Wi-Fi技术是基于IEEE 802.11协议的,在边缘网络中也经常会用到。虽然Wi-Fi技术本身并不包括TCP/IP相关的内容,但是在大多数情况下,Wi-Fi无线路由器都普遍采用了TCP/IP传输层,因此也常被看作基于IP的协议。
WAN广域长距离的通信要求在边缘计算的应用中也很常见。很多边缘计算的设备和传感器都分布在非常广的地理空间,因此一些低能耗、安全和稳定的广域网通信技术也是边缘计算领域非常重要的通信技术基础。WAN的解决方案主要有两种,一种是基于现有移动通信网络技术的,另一种则是通过自组网或脱离传统移动通信网络的技术。非移动通信网络的WAN技术主要有LoRaWAN和Sigfox,这两种技术在后面通信相关的章节会详细介绍。