购买
下载掌阅APP,畅读海量书库
立即打开
畅读海量书库
扫码下载掌阅APP

1.3 电致变色的关键参数

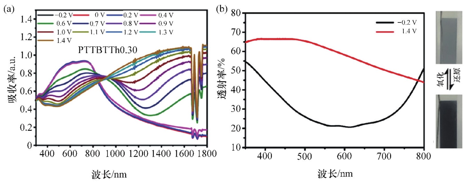
为了评估电致变色材料的性能,通常需要联用分光光度计和电化学工作站,进行原位UV-Vis-NIR光谱电化学(SEC)测量,该SEC光谱动态记录了在不同施加电压下电致变色材料的吸收率或透射率的变化,从而反映整个氧化还原过程中材料的颜色变化。例如,图1.4显示了一种黑色到透明的电致变色材料的SEC,其中图1.4(a)采用吸收率模式,图1.4(b)采用透射率模式。在实际的研究中,两种模式都得到广泛的应用。

图1.4 已报道的一种黑色到透明的EC材料的光谱电化学 [21] 吸收率模型(a),透射率模型(b)

1.3.1 光学对比度

光学对比度(Δ%T)是指EC材料在某个给定波长下的透射率变化量 [5] ,是用于表征EC材料颜色变化程度的重要参数。具体测试方法是将电化学工作站与分光光度计联用,电化学工作站施加方波阶跃电位,同时分光光度计记录EC材料在指定波长处的透射率(TM)变化曲线,最后根据褪色(TM b )和着色(TM c )状态透射率的差异计算得出的。其中,特定波长一般选择具体颜色的特征波长[如图1.5(b)所示的各个颜色的特征波长范围]。通常,此特征波长处的对比度也是该EC材料对比度的最大值(λ max )。此外,有研究表明人眼对555nm波长的绿光最为敏感 [23] ,因此还建议测量555nm波长处的对比度,以便在不同的出版物中进行比较。图1.5(a)为一个具体EC材料的对比度示例,可以看出在425nm的TM b 和TM c 分别为1%和99%,因此Δ%T计算为98%。对于智能窗户等需要明显颜色变化的应用场景,EC材料的对比度应当高于80%,许多无机EC材料及有机小分子和PEDOT系列聚合物等在褪色状态下具有较高透射率的材料可以满足该指标,其中某些已报道的小分子EC材料甚至显示出超过95%的高对比度 [24]

同时,对于某些宽吸收的EC材料,测量电致变色的相对亮度变化(Δ%Y)会比某一波长的Δ%T更能传递材料的整体颜色变化信息。例如,图1.5(c)显示了某种黑色至透明的EC材料在氧化还原过程中的亮度变化曲线,亮度值L * 从37.5 增加到60(其中L * =0 对应黑色,L * =100 对应透明),因此该材料的Δ%Y计算为22.5%。

图1.5 小分子EC材料的电致变色对比度 [24] (a),人眼的灵敏度函数V(λ)和发光效率与波长的关系(来源:Wikimedia Commons)(b),该材料从中性到氧化态的亮度值的变化 [21] (c)

除了上述用于电化学对比度测量的方法外,Javier Padilla等人还提出了考虑了光学加权值的光学对比度 [25] 。该光学对比度可反映整个可见光区域的总体对比度,更加符合实际应用情况,可由以下公式计算:

∫λmax T(λ)S(λ)P(λ)dλ λmin Tphotopic =∫λmax S(λ)P(λ)dλ λmin

其中,T photopic 是光学透射率,T(λ)是材料的透射率光谱曲线,S(λ)是6000K黑体的归一化光谱发射率,P(λ)是归一化的对人眼的光谱响应。λ min 和λ max 是测试的波长范围。

1.3.2 响应时间

电致变色材料的响应时间(t)是反映材料切换速度快慢的参数,也是采用方波阶跃电位与光学光谱相结合的测试方法。响应时间取决于很多方面,例如电解质传导离子的能力,离子在电致变色活性层上的嵌入和脱出的难易程度,电解质和透明电极的电阻,等等。通常液体电解质的电阻比固体电解质低,因此半器件和液体电解质的EC器件会比全固态EC器件的响应时间更快。同时,由于透明电极的电阻随着面积的增大而增大,所以与小型实验室样品相比,大面积EC器件(例如大型的智能窗口)的响应时间会有所增加。但是,并非在所有应用场景中都需要快速的响应时间,例如在智能窗户的应用中,明显的颜色变化过程会增加用户体验的趣味性。相反,对于一些显示的应用会要求亚秒级的响应时间。

通常,响应时间与对比度的测量一样,也在λ max 或555nm处评估。因此,有两种响应时间,一种是电化学响应时间,如图1.6(a)所示,这是电流密度在两个恒定电压之间变化90%或95%所需的时间,同时氧化和还原过程的响应时间可以从该曲线估算出来;另一个是光学响应时间,如图1.6(b)所示,它定义了透射率改变90%或95%所需的时间。相应的,在该测量中记录了着色响应时间(t coloration )和褪色响应时间(t bleaching )。值得注意的是,电位阶跃的脉冲长度会影响透射率,如图1.6所示,较短的电位阶跃将获得较小的对比度,而较长的电位阶跃将使EC材料在着色和褪色状态下均达到固定的透射率值。但是经过一定长度后,持续增加脉冲长度并不会提高对比度,因此,刚达到最高对比度的脉冲长度将用于切换时间以及对比度测试。

图1.6 EC材料的电化学响应时间 [21] (a),光学响应时间 [26] (b)

但是,上述响应时间的测量方法是一种经验测量,在不同的研究组中都有差异,例如透射率变化的百分比不同(90%或95%)。因此,很难比较不同课题组之间的响应时间数据。近年来,Javier Padilla及其同事提出了一种计算电致变色响应时间的标准方法,他们将对比度值作为脉冲长度的函数拟合到以下指数增长的函数中

ΔTM(t)= ΔTMmax(1 -e-t/τ)

其中,ΔTM max 表示在长脉冲长度下获得的最大对比度,而τ是时间常数。如果响应时间t等于τ,则达到最大透射率变化的63.2%,在2.3τ时,切换了90%的ΔTM max ,同样,切换了95%和99%的ΔTM max 对应于3τ和4.6τ。

因此,对于一个新的EC材料,应测量吸光度响应,并将其与上述公式拟合,并从拟合中获取ΔTM max 的最大值(对应于最大对比度)、时间常数τ以及相应的回归系数R 2 。之后,可以计算出切换时间t 90% 或t 95% 。这种方法可以直接比较不同的报道的响应时间值。

1.3.3 着色效率

着色效率(CE)在评估电致变色过程中的电荷利用效率时起着基本作用。它将EC材料在给定波长下的吸光度变化(ΔA)与诱导其完全转换(Q d )所需的注入/排出的电化学电荷的密度相关,CE值越高,表明在一个较小的电荷注入下可以实现的透射率变化越大,即可以更有效地利用注入的电荷。CE值可以使用以下公式计算

CE = ΔAQd =lg (ToxTneut)Qd

其中T ox 和T neut 分别是在氧化态和中性态下的透射率,Q d 表示每单位面积的注入/排出电荷,这可以从电压切换过程中电流密度曲线的积分面积获得(图1.7)。

图1.7 Q d 的计算 [26]

与之前提到的参数对比度和响应时间非常相似,CE 值也取决于选择的确定波长。如图1.8所示,图中显示了相同EC材料的几种CE值:在大多数报道的文献中,CE的计算采用达到最大对比度的特征波长(λ max ),即最大CE值(CE max )。另外,由于人眼在555nm处的最高灵敏度,计算了555nm处的CE值,可用于不同出版物的比较。以及基于光学透射率的光学CE,它考虑了在380~780nm波长范围内的光透射率,该波长范围已通过人眼的光谱灵敏度进行了归一化处理。因此,研究者应测试多个CE值,而不是单一CE值,以提供有关EC材料性能的更多信息。

图1.8 相同EC材料的不同类型的CE值 [5]

此外,当深入了解每单位面积的注入/排出电荷Q d 时,人们发现它实际上包括三个部分:与掺杂/去掺杂相关的法拉第电荷Q F ,由于EC器件的电容性质而产生的电容性电荷Q C 以及与电解质/杂质反应相关的寄生电荷Q P 。其中,法拉第电荷实际上是导致氧化铬变化的氧化还原活性的来源,因此,Fabretto等人报道了一种通过从总电荷中提取法拉第电荷来测量CE的新方法,并计算了唯一的基于法拉第电荷的CE值 [28] 。正如以上所讨论的,总电荷流只是三个单独电荷流的加和而得出

Qd = QF +QC +QP

与其他两个相比,如果寄生电流是一个很小的分量(大约<;2%),因此可以忽略不计,那么随时间变化的总电流可以描述为

Id(t)= IF(t)+IC(t)= nFAc0D1 2π t-1/2 +I0e-t/RC = kt-1/2 +I0 e-t/RC

其中n是每个分子转移的电子数,F是法拉第常数(96500C·mol -1 ),A是电极面积(cm 2 ),c 0 是本体溶液中物质的量浓度(mol·cm -3 ),D是表观扩散系数(cm 2 ·s -1 ),t是以秒为单位的时间,I 0 是t=0时的最大电流,R是电池电阻,C是双层电容。然后将实验数据拟合到该方程式,并代入常数k,获得时间-演化法拉第电流的图,并可以计算出相应的经法拉第校正的CE。通常,法拉第校正后的CE大于未校正的结果,因为总电荷进/出(即Q d )大于法拉第电荷(即Q F )。

1.3.4 光学记忆效应

EC材料的光学或电致变色记忆效应(optical memory)可以定义为材料在消除外部偏压后保持其氧化还原/有色状态的倾向。通常,在薄膜状态的EC材料(例如共轭聚合物)中能较多观察到记忆效应,这些材料能很好地粘附在电极上,因此限制了电子的移动。相反,某些基于溶液状态的电致变色器件(例如紫精)会表现出自擦除效应,这意味着在没有施加电压的情况下,由于电子在这种类型的器件中自由扩散,有色状态迅速消失。记忆效应对于节能设备很有用,也可以用于数据存储。图1.9显示了光学记忆效应的测试,在形成开路状态600 s之前,通过施加2 s的电位脉冲来研究短期存储;同时监测423nm处的透射率变化[图1.9(a)]。然后通过施加2s的电位并去除1h的偏压来研究长期记忆效应[图1.9(b)],在没有施加电压的情况下,EC共轭聚合物仍然很好地保持了初始透射率对比,显示出良好的光学记忆效应。

图1.9 423nm处0.1mol·L -1 TBAPF 6 /ACN中喷涂在ITO涂层载玻片上的PBOTT-BTD的光学记忆测试:短期(a)和长期(b)记忆效应

1.3.5 稳定性

在大多数的实验室研究中,研究人员记录了EC材料的电化学循环稳定性,即在没有明显性能衰退情况下的最大循环次数。引起不可逆氧化还原的原因主要是EC材料与电解质中的水或氧气发生副反应。通常,电化学稳定性测试的方法为在电化学循环10 4 ~10 6 圈下记录的电荷密度Q d 的变化,如图1.10(a)所示,掺杂Ti的V 2 O 5 EC膜的电荷密度在循环了2 ×10 5 圈后仍然没有变化,展现了较好的电化学稳定性 [22] 。同时,在连续循环过程中特定波长处的透射率变化对于描述EC材料的稳定性也很重要,例如图1.10(b),ECD的透射率在2×10 5 个周期内保持稳定。实际上,经过多次循环后的着色效率的变化也可用于评估EC材料的长期稳定性,因为它既包含透射率信息,又包含电荷密度信息。

图1.10 ECD的电荷密度 [22] (a)和透射率(b)随循环次数的变化曲线,k:1000

但是,如果考虑到电致变色设备在建筑物窗户中的实际应用,对于耐用性和可靠性则有更严格的条件。例如,必须要有超过10 6 个循环周期才能达到20年的使用寿命,极端气候条件(例如低于-20℃和高于40℃的温度)对EC材料和电解质以及其他降解因素均构成巨大挑战,例如高的太阳辐射水平、快速的温度变化、不均匀的温度分布和附加应力、雨水、湿度、机械冲击和干燥。因此,在1998年,卡尔·兰伯特(Carl M.Lampert)提出了针对电致变色的商业化应用的标准测试指南 [27] ,如表1.1所示。最近,国际标准化组织(ISO)还发布了一个国际标准《建筑玻璃 电致变色嵌装玻璃 加速老化试验和要求(ISO 18543:2021)》。

表1.1 外部建筑应用EC窗户的推荐测试准则 [27] 97mHXR3B0xXh+bfKtdmvrJgFszdNrB8BMft8fmIY0195NtGCbG+fy3LiHD1gsIQ8

点击中间区域
呼出菜单
上一章
目录
下一章
×

打开