购买
下载掌阅APP,畅读海量书库
立即打开
畅读海量书库
扫码下载掌阅APP

4.2 紫精电致变色材料的不同结构

4.2.1 紫精的合成

迄今为止,研究者已开发出一些典型的方法来合成不同的紫精及其衍生物,简要介绍如下。

1.直接取代反应

吡啶和相应的卤代烃的直接取代反应是合成这种化合物的最简单,最常见的方法,其机理主要基于 Menshutkin 反应 [48] ,反应步骤简单,并且易于控制阴离子种类 [49]

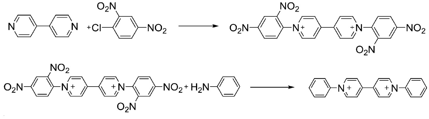
2.Zincke反应

Zincke反应也已广泛用于共轭紫精化合物的合成。该反应为合成具有共轭环的取代结构提供了一个极好的方式 [50]

(1)氧 离子盐和伯氨的反应提供了不同的N取代紫精结构

(2)吡啶分子可通过自偶联形成紫精(通常须添加钠)

(3)采用锡试剂实现紫精共轭体系的扩展 [51]

4.2.2 1,1′-取代的紫精分子

1.简单烷基取代

作为商业化材料,紫精的溶解度是关键因素。研究人员发现,自由基物种在水溶液中的溶解度低于离子物种,并且其溶解度受阳离子和阴离子的尺寸大小影响很大,因此,他们研究了具有C 1 至C 13 的简单烷基链取代的紫精的溶解度、稳定性、膜性和吸收光谱。

R基团保护阳离子不受溶剂分子的影响。通常,阴离子的半径越大,二吡啶 离子之间的静电排斥力越小,因此,这种平衡状态可使紫精系统更稳定。综合考虑,研究人员发现C 7 具有最佳的电致变色性能。此外,多氟烷基取代物种也已经有人报道 [52]

表4.2 一些典型紫精自由基阳离子的光学和比色性质 [12,47,53,54]

a:自由基阳离子二聚

从上面的表4.2,我们可以得出一个粗略的结论。被简单烷基取代的紫罗兰色自由基阳离子通常显示为蓝紫色,而被芳基取代的自由基阳离子通常为绿色 [55] 。紫精二聚体的形成会使溶液颜色变为红色。

2.酸基团取代

1999年,Bonhote [28] 首次使用TiO 2 纳米晶体电极和磷酸取代的紫精分子(图4.3)以期获得电导率更高、基础透射率更低和响应时间更短的ECD。该实验的原理是纳米晶体电极的高比表面积纳米晶体可以吸附单层离子,从而获得一种衍生化的高度多孔膜,并且纳米晶体的线性结构可以增强光吸收,从而获得光放大的效果。通过吸收光谱研究了不同结构的紫精在二氧化钛表面的吸附行为,也可以验证二聚化的存在以及不同的紫精结构对二聚程度的影响。这项工作为研究人员制作更高性能的ECD提供了新的思路。

图4.3 紫精在纳米晶电极表面的吸附 [28]

此外,由于紫精阳离子在可控的扩散速率下在阴极还原,研究人员还对TiO 2 膜厚度对透射率和器件着色效率的影响进行了后续研究 [56]

3.酯基和含氮杂环取代

通常来讲,酯基一般也具有电致变色作用,并且它们通常呈现红色。研究人员通过将含酯类物质与紫精混合,合成了在不同电压下具有不同颜色的物质(图4.4)。该物质在2.0 V 时呈现红色,在 0.8V 时呈现蓝色,虽然它们的光学对比度低于43% [57]

图4.4 酯基取代紫精结构

氮杂环物质(如吩噻嗪,吲哚,吗啉,吡咯和咔唑)是电致变色的重要阳极材料,而且其驱动电压约为2 V,比普通的紫罗兰变色电压高1 V。研究人员将此特性用作实现阴极阳极耦合材料的机会,这也可以简化器件结构 [37]

4.不对称取代

研究表明,对称的紫精具有形成二聚体的趋势,这会严重损害ECD的性能。因此一种有效抑制二聚体形成的可行方法就是合成不对称取代的紫精化合物,Moon等人 [58] 发现,基于不对称的紫精制作的ECD(苄基庚基紫精,BHV 2+ )具有较高的对比度、高的着色效率和显著的着色/漂白稳定性。

此外,不对称结构的紫精电致变色的颜色通常会由于综合因素的影响呈现灰色或者中性色,恰巧的是,如灰色这类中性色因其在各种环境的适用性而更适合用作滤镜。从结果上来讲,表现为无色至灰色/深绿色/黑色的电致变色器件由于可以很好地保护个人隐私而在电子书和智能窗等产业中非常受欢迎。Alesanco等 [59—60] 发现,不对称紫精比相应的对称紫精可以提供更多的中性色状态并保持令人满意的漂白状态(如%T b ≈70%)(图4.5,图4.6)。而这对于中性色和高透射率漂白状态需求十分高的电致变色器件产业具有重大的意义。

电位/V%Tb%TcΔ%T(a)x(b)y(b)Y(b)L*(c)a*(c)b*(c)颜色(d)off-0.5-0.6-0.7-0.8-0.9-1.2 77,5— — 0.3090.32678.4910 -2 59.717.90.3070.33764.084 -62 41.536.00.3170.35344.172 -78 31.446.10.3260.36633.164 -711 23.154.40.3350.38024.256 -815 16.660.90.3160.37018.850 -109 0.976.60.2340.5593.321 -3819

图4.5 不对称紫精器件的色坐标 [60]

图4.6 不同的器件颜色和色坐标 [60]

4.2.3 共轭环系统的拓展

1.噻唑并噻唑(TTz)单元

该工作证明,通过添加荧光基团,电致变色材料可能具有双功能特性。Walter等 [61] 以刚性噻唑并噻唑(TTz)结构为核,制备了一系列甲基、辛基和苄基取代的紫精衍生物。如图4.7所示,TTz结构的引入使紫精衍生物具有了出色的低还原电位(相对于SCE为-0.46~ -0.58V)和高荧光量子产率(Ф F =0.96)。在Bz 2 TTz 2+ 衍生物溶液中施加-0.7V偏置电压25 min后,可以观察到荧光淬灭的现象(图4.8)。这种相互影响的电致变色和荧光的相互作用被认为在传感器和生物识别应用中具有广阔的应用前景。

图4.7 H 2 TTz 2+ ,Me 2 TTz 2+ ,Oct 2 TTz 2+ 和Bz 2 TTz 2+ 的吸收和发射光谱

图4.8 荧光淬灭 [61]

2.苝二酰亚胺(PDI)单元

苝二酰亚胺是一种电致变色材料,在中性状态下呈红色,在半还原状态下呈蓝色,在还原状态下呈紫色。Moon 等 [59] 报导了基于PDI 的紫精的合成,他们合成了PDI-2V 2+ 多层膜,该膜表现出从红色到蓝色的多色电致变色现象,该多层膜是通过LBL方法制备的,该膜可以交替地用水基聚阴离子和聚阳离子涂层覆盖基材。

结果表明,PDI-2V ECD具有多种强烈的颜色,从红色到紫色,并且颜色的强度与薄膜层数成正比(图4.9)。随着扫描速率从5 mV·s -1 逐渐增加到200 mV·s -1 ,峰值电流与扫描速率呈线性关系(图4.10),证明PDI-2V 2+ 多层膜在多个循环中表现出良好的稳定性。

图4.9 多层PDI-MV设备 [59]

图4.10 多层器件在不同扫描速率下的电化学曲线 [59]

3.PBEDOT-Ph

聚合(BEDOT-Ph)是很优秀的聚合物主链,可以使紫精分子呈现多种不同的颜色,由于它在不同电位下具有不同的EC颜色,并且它们的氧化还原电位不重叠,所得的紫精的导电聚合物表现出五种不同的颜色(图4.11),作为单种材料来讲算是比较罕见的 [62]

图4.11 摄影装置的结构 [62]

4.杂原子桥接

有研究报道,有一系列硫族元素桥接和磷元素桥接 [39,63—64] 的紫精分子由于其中心的硫族元素和磷原子缺乏电子,可提供更好的ECD性能。Baumgartner等人 [64—66] 合成了一系列不同的以磷原子作为桥联的紫精分子,研究表明Π共轭体系的扩展和高效率的电子核心的结合大大降低了HOMO-LUMO带隙(表4.3)。当N上是芳基取代时其HOMO-LUMO带隙最低,有趣的是,ECD实验证实,能带带隙的改变不会影响紫精的颜色。

表4.3 硫族元素桥接紫精和通常紫精的光学和电子性质 [63]

[a]根据吸收光谱计算能隙值.[b]使用Gaussian09程序集进行计算.[c]从CV数据和光学确定的能隙计算出能级与真空能级的关系。

Gang He和他的合作者 [63] 合成了一系列具有窄HOMO-LUMO带隙的重硫属元素原子(S,Se和Te)桥联的紫精化合物,CV实验表明这些材料还原电位低,他们将这种现象归因于杂原子的引入,使其获得了更强的刚性结构和更大的共轭面积。结果表明,Se-BnV 2+ 和Te-BnV 2+ 具有所需的电子接受特性和较强的UV-Vis吸收能力,为探索可见光驱动的氢气制备提供了新的策略。Lichtenberger等 [67] 进行了详细的研究,以探索联吡啶二硫化物二价阳离子中的分子内电子转移,结果表明联吡啶部分为S—S键的还原提供了一条低能途径。此外,他们发现第一还原电位取决于两者之间的杂环的二面角,结构的平面性促进了电子离域,这为我们提供了一种通过分子修饰降低还原电位的有效方法。

5.联噻吩桥接

通过氧化还原过程调节光致发光颜色的材料称为电致变色材料。联噻吩桥接的紫精是典型的电致变色荧光材料,可通过电化学开关淬灭荧光。

2014年,Beneduci课题组 [68] 在含有N-季铵盐基团的4,4′-联吡啶和长烷基链取代基之间引入了联噻吩基团。所得化合物具有独特的离子液晶性质,并具有电致变色和荧光性质(图4.12)。在氧化还原状态下,它具有高达80%的荧光对比度和较短的切换时间(<3.5 s)。同时,在各向同性液体上施加电位偏压会导致晶体结构变为近晶相,并在荧光光谱中表现为明显的红移。这种完全可逆的现象可以调节荧光的颜色。但是,这种材料的荧光转换需要在高温(>100℃)下完成,所需的高温工作环境限制了它们在室温设备中的直接应用。

图4.12 三电极液晶盒(a);在不同电位下SmA相的吸收光谱和图片(b) [68]

在同一年,Benedduci小组 [69] 改进了硫代紫精分子,将其制成了聚合物凝胶。通过改变凝胶中荧光基团的百分比,可以有效地实现室温下可见光范围内荧光强度的调节(图4.13)。

图4.13 对含有质量分数为10%的硫代紫精的凝胶施加不同电压时的荧光光谱(a);630 和529nm处的荧光对比度以及不同电压下的图像 [69] (b)

4.2.4 含有紫精的聚合物

1977年,研究人员开始采用聚合策略来合成新的紫精化合物,因为通常来讲常规的紫精ECD属于溶液型ECD,ECD的响应时间容易受到紫精分子扩散速率的影响;此外,溶液型ECD在实际使用中会有泄漏的危险。因此,一种解决方案是通过电聚合将含有紫精的高分子膜固定在电极上。含紫精的聚合物具有以下3个优点:

(1)聚合物基ECD具有更高的安全性和更好的性能。

(2)聚合物易于批量生产。

(3)基于紫精的聚合物融合了紫精和聚合物的特性,有望以较低的驱动电压呈现出更丰富多彩的颜色。

从所处位置的角度来看,聚紫精可以分为主链和侧链聚合物。

1.紫精在侧链上的聚合物

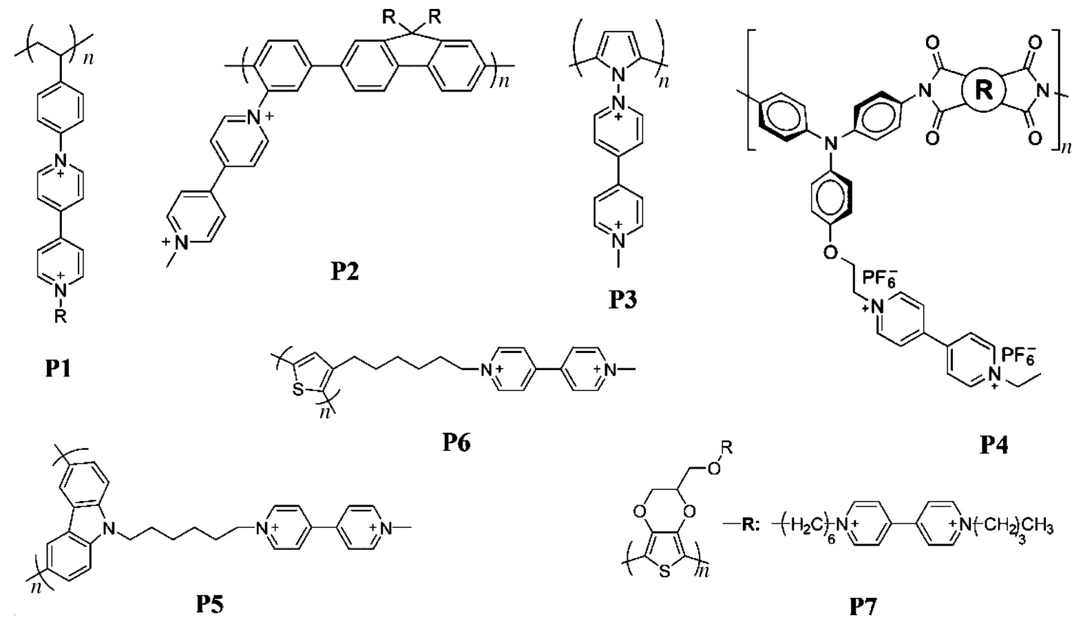
与主链聚紫精相比,通过合适的化学手段将紫精附着到导电聚合物主链上的情况更为普遍。值得注意的是,Zincke 反应是将紫精引入聚合物骨架的最常用方法 [70—71] 。如图4.14 所示,聚合物主链基本上是聚乙烯 [72—73] (P1),聚亚苯基 [71] (P2),聚吡咯 [70] (P3),聚酰亚胺 [74] (P4),聚咔唑 [75] (P5),聚噻吩及其衍生物 [76—77] (P6,P7)。

图4.14 紫精位于侧链的聚合物

聚(3,4-乙撑二氧噻吩)(PEDOT)和紫精均为阴极着色材料(即在氧化态下为透明,在还原态下着色),有望获得协同电致变色作用。Lee等人 [77] 验证了这一假设,他们首先将紫精单元掺入到乙二氧基噻吩(EDOT)单体中,然后通过电聚合形成PEDOT-V 2+ 膜。结果表明,与单一PEDOT聚合物相比,PEDOT-V 2+ 的对比度得到了提高(在610nm下,ΔT=65%)。

研究人员一直希望解决紫精的聚集和二聚化的问题并提高电子传输的效率。如图4.15和图4.16所示,研究人员发现,在高支化甘油分支末端连接紫精可以实现此目标 [78] 。在此过程中,高相对分子质量紫精分子在紫外线甚至是自然光下均表现出光致变色特性,但低相对分子质量紫精则无光致变色现象,这种变色过程可被 O 2 漂白。

图4.15 树枝状聚合物紫精的吸收光谱 [78]

图4.16 可逆光致变色光谱 [78]

2.紫精在主链中的聚合物

通常通过Menshutkin 反应合成的主链聚紫精,需要卤代烯烃或电活性单体。Oyaizu和其合作者 [79] 通过Menshutkin反应将聚乙二醇与3,3′-二甲基-4,4′-联吡啶共聚合成了聚紫精,如图4.17所示,在联吡啶中引入甲基取代基会导致pp堆积的构象改变,使该聚合物呈现蓝色并且具有较快的反应时间。而且,结果表明这种修饰可以有效地抑制EC显示器中的颜色残留,为聚紫精的密集商业化创造了条件。

图4.17 通过Menshutkin反应合成聚紫精 [79]

Khokhlov等人 [80] 开发了含有三芳基胺(TAA)的阴极-阳极互补电致变色共轭聚紫精。该聚合物具有多种优点:① 在聚合物基质中包含高浓度的电致变色基团;②制成聚合物后提高了溶解度和玻璃化转变温度;③ TAA和紫精的氧化还原电位不重叠,从而增强了对比度和多重电致变色。

紫精是一种氧化还原组件,在目前的研究中有一种潮流是将其放置在共轭或刺激相应性的聚合物主链中,以期得到性能更好或者功能更多样的ECD。

Jang等人 [81] 通过一锅聚合反应合成了含有聚(2-异丙基-2-恶唑啉)(PiPO x -v)的紫精,该PiPO x 被称为热敏聚合物。他们制作了一个简单的三明治结构ECD,结果表明,该ECD在不同电压和温度下可以呈现四种不同的颜色。

还有研究者通过Stille偶联反应和Menshutkin反应合成了主链上具有紫精的聚噻吩 [82] 。该共轭聚合物同时具有p和n掺杂单元,具有很高的电稳定性。

如图4.18所示,研究人员设计了一种基于聚(NIAPM-DAV)离子液体凝胶的热致变色(TED)和电致变色器件 [83] 。基于热致变色和电致变色双响应聚离子液体电解质的智能窗系统既显示出可调的透射率,又具有电致变色特性。更重要的是,可以同时观察到热敏和电致变色行为(图4.19)。尽管该聚合物在响应时间(3~5 s)和循环稳定性(100个循环)方面不是很理想,但这种双功能器件在智能车窗和高级传感器中具有巨大的潜力。

图4.18 聚(NIPAM-DAV)离子液体凝胶和聚(NIPAM-BVIm-DAV)凝胶的合成 [83]

图4.19 热致变色和电致变色效应 [83]

图4.19 续 DX0ao9abzZnR9WyhIO0Z+oGSVLJAZnlu+TfD2l6GycZ6rdhnAGIROXUbDl2/L2p8

点击中间区域
呼出菜单
上一章
目录
下一章
×