购买
下载掌阅APP,畅读海量书库
立即打开
畅读海量书库
扫码下载掌阅APP

二、代际收入流动性的估计与方法论问题

1.代际收入弹性和相关系数的估计

研究代际流动性及其传导机制的前提是精确计算父代收入与子代收入之间的相关性。在经济学文献中,衡量这种相关性的指标主要有两个:代际收入弹性(intergenerational income elasticity)和代际收入相关系数(intergenerational income correlation)。代际收入弹性的估计方程来自Becker and Tomes(1979)的理论模型:

其中, ,代表父亲的相对收入水平,log(Y 0 )为父亲的永久收入(取对数), 为父代平均对数收入。y 1 = log(Y 1 )- ,代表后代的相对收入水平,即 log(Y 1 )为后代个体的对数永久收入, )为其平均值。由于两代收入均为对数表达式,因此其回归系数β即为代际收入弹性,而(1 -β)则衡量了代际流动性。

代际收入相关系数的估计式为ρ -(σ 0 1 )β。其中,ρ为代际收入相关系数,σ 0 和σ 1 分别为父代和子代对数收入的标准差。ρ与β的主要区别在于ρ的估计考虑了两代人收入分布的离散程度,只有该离散程度相等时,ρ与β才会相等。理论上,代际收入相关系数能够更精确地反映代际收入的传递程度,而代际收入弹性的精确性则会受到代际收入分布离散程度的影响。但是,在实践中代际收入弹性往往更容易估计,且不会因为子代收入的测量误差而产生估计偏误,因此在文献中被更多地使用。

在Becker and Tomes(1979)提出代际收入流动的理论模型之后,各国学者对代际收入弹性相继进行了许多实证研究。到目前为止,主要的研究对象集中在北美、西欧和北欧三个地区。Solon(1999,2002)对2000年以前的文献进行了综述,在此不再赘述。2000年之后比较有代表性的文献列举如下:Jäntti et al.(2006)使用美国NLSY(National Longitudinal Sur-vey of Youth)数据、英国 NCDS(National Child Development Study)数据和北欧四国(丹麦、芬兰、挪威和瑞典)的人口注册数据对六个国家的代际收入弹性和相关系数进行了估计,其中美国的代际收入弹性最高,为0.517,芬兰、挪威和丹麦三国的代际收入弹性最低,分别为0.173、0.155和0.071,挪威和英国居中,而这六个国家的代际收入相关系数也基本呈现相同特点;这表明北欧国家的社会流动性最高,西欧次之,美国最低。Ermisch and Nicoletti(2005)利用BHPS(British Household Panel Survey)数据得出英国的代际收入弹性约为0.37,由于该研究是基于跨越32年的面板数据,因此其估计结果更为精确。Leigh(2007)利用 HILDA(House-hold, Income and Labour Dynamics in Australia)数据得出澳大利亚代际收入弹性为0.2,略高于北欧国家。Vogel(2006)利用 GSEP(German Socio-economic Panel)数据估计了德国的代际收入弹性,得到的结果为0.24,低于他利用 PSID(Panel Study of Income Dynamics)和 CNEF(Cross-national Equivalent File)数据对美国得出的估计值0.34。在之前研究的基础上,Blanden(2009)对2000年之后研究跨国代际流动性的文献做了系统性的总结:绝大部分研究都显示南美国家、南欧国家和其他发展中国家的代际收入流动性较低,而北欧国家的代际收入流动性最高,美国和其他发达国家则位于二者中间;更值得关注的是代际收入流动性的高低与其他衡量收入是否平等、教育是否平等的指标存在高度相关性,从而为文献中对代际收入流动性内在传导机制的研究提供了思路。

这一领域的另一个研究方向是刻画代际收入流动性随时间变化的趋势。例如,Blanden et al.(2004)使用NCDS和BCS(British Cohort Survey)数据发现英国的代际流动性在1950—1970年有上升趋势;而 Lee and So-lon(2009)使用PSID数据并没有发现美国的代际收入弹性存在显著的变化趋势;相反,Bratberg et al.(2005)使用挪威的人口注册数据发现1950—1970年该国的代际收入弹性发生了显著下降。近年来,代际收入弹性的性别差异也成为新的研究热点。Raaum et al.(2008)认为“门当户对”的婚姻(assortative mating)和劳动供给弹性共同造成了代际收入弹性的性别差异:高收入家庭的女性后代倾向于选择高收入的丈夫,并减少外出工作的时间,从而造成女性群体的代际收入弹性低于男性。同时,该研究利用斯堪的纳维亚地区人口注册数据的分性别样本对这一理论提供了实证检验。

2.代际收入流动性估计中存在的方法论问题

理论上,对代际收入弹性和相关性的估计都是以永久收入(perma-nent earning)为基础的,因此实证研究的关键是精确估计父代和子代的永久收入。然而,既有研究受限于数据的测量误差和代际传递的非线性问题,往往无法得到永久收入的精确估计值。

第一,收入的测量误差及其解决方法。在弹性估计方程(2-1)中,子代永久收入(y 1 )的测量误差本身并不会使β的估计值产生偏误,但父代永久收入(y 0 )的测量误差则可能导致β的估计偏误。因此,父代收入的测量误差对代际收入弹性的估计来说更为重要,而导致该误差的主要原因是个体永久收入常常面临无法观测的随机冲击。

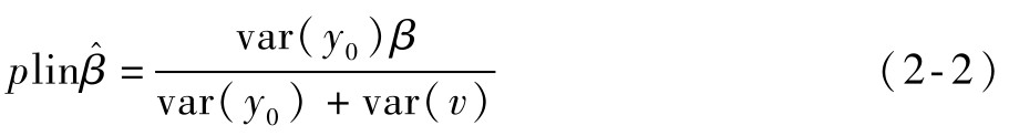
Solon(1992)首先证明,如果随机冲击是一个白噪声(white noise),那么代际收入弹性β的估计值 存在向下的偏误。令扰动 v 为白噪声,y 0 为回归方程(2-1)中定义的父代收入,那么偏误的大小为:

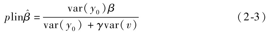
其中,var(y 0 )和 var(v)分别为相应变量的方差。进一步,Solon(1983,1992)证明如果随机冲击 v 为一阶自回归过程[ AR(1)],令 v t =δv t-1 +u,则偏误的大小为:

其中, 。由此可知,减轻系数估计偏误的第一种方法是对收入 y 0 进行 T年平均,因为平均之后能够减少随机冲击的扰动程度。而对于不同的数据,最优 T 值也不同,可以通过数值模拟求出。Solon(1992)和 Mazumder(2005)证明经过 T 年平均之后,(2-2)式和(2-3)式中的偏误系数分别为 ,偏误明显变小。Mazumder(2005)在一阶自回归冲击的假定下,通过数值模拟得出使回归偏误最小的T值在20和30之间。

由于许多既有数据无法覆盖如此长的期限,另一种减轻估计偏误的方法是选择特定年份的数据作为个人永久收入的近似。其理由在于,永久收入是平滑一生中不同年份收入而产生的,某些年份的收入值可能会更接近于平滑后的永久收入值,因此以该年收入为基础的β估计值的偏误会更小。Haider and Solon(2006)证明,如果第 t 年的子代和父代收入与各自的永久收入关系如下:

其中u和v分别为白噪声冲击,μ t 和θ t 分别为子代和父代第 t 年收入与永久收入的比例系数,那么代际收入弹性估计值的偏误为 。显然,如果μ t t =1,则偏误系数与(2-2)式相同;而当二者不等时,则需要选择合适的 t值,使该年收入与永久收入的比例值尽可能接近1。基于美国 HRS(Health and Retirement Study)数据,Haider and Solon(2006)利用截尾模型(censored model)来估计μ t 和θ t 。结果表明,对于该数据而言,父亲最接近于永久收入的年龄为40岁左右,而子女最合适的取值年龄则为20—30岁。Bohlmark and Lindquist(2006)也使用相同方法估计了瑞典收入税(income tax)数据中的参数值,他们的估计结果表明,μ t 在一个人20多岁时较小,在30岁和40岁之间接近1,之后又逐渐下降;对于θ t 而言,在30岁和40岁之间其值达到最大,接近于0.6。以上研究结果为我们在无法观测到永久收入的情况下选择特定年龄对其进行近似分析提供了依据。

第二,代际流动性研究中的异质性问题。在对代际收入流动性的估计中,研究者经常会面临异质性问题的困扰。该问题是指父代与子代之间的收入相关性在不同收入分位数上呈现非均匀分布的特征。对此,文献中往往使用过渡矩阵(transitory matrices)或分位数回归(quantile re-gression)处理。过渡矩阵将父代收入和子代收入分别分为 n 个等分组,矩阵元素P ij 表示当父代收入处于第 i组时,子代收入处于第 j组的概率,即P ij (y 0 ,y 1 )-Pr(j-1≤y 1 ≤j,i -1≤y 0 ≤i)/Pr(i -1≤y 0 ≤i)。 [1] 依据对美国、英国和北欧四国(丹麦、芬兰、挪威和瑞典)代际收入过渡矩阵的估算,Jäntti et al.(2006)发现当父代收入处于低分位时,英国和北欧国家的代际收入流动性比较接近,均高于美国的数值;但当父代收入处于高分位时,美国和英国的代际收入流动性比较接近,均高于北欧国家的数值。Bhattacharya and Mazumder(2007)基于美国 NLSY 数据发现,过渡矩阵显示黑人与白人的代际收入流动性差别小于传统的均值回归结果,这意味着黑人群体可能并不像之前研究所估计的那样缺乏代际收入流动性。以上研究显示,相对于线性回归对代际收入弹性的估计,过渡矩阵更能够捕捉到代际收入流动的异质性特征。需要承认的是,过渡矩阵方法同样面临收入测量误差的问题:O'Neill et al.(2007)通过数值模拟发现,如果只有子代收入出现测量误差,则过渡矩阵中的代际收入流动性会被高估,且低分位的高估程度较大;而如果子代收入与父代收入均出现测量误差,则代际收入流动的估计偏误取决于两种误差的相关性——当误差相关性较高时,代际收入流动性会被低估,反之则被高估。

另一种处理收入分布非线性问题的方法是分位数回归。 相比过渡矩阵,分位数回归直接估计不同分位上的代际收入弹性和相关系数。例如,Eide and Showalter(1999)使用 PSID 数据和分位数回归发现,1968—1992年,美国父代收入分布的底部所得到的代际收入相关系数更大,在分布顶部的相关系数更小。这意味着收入越高,代际收入流动性越大。

[1] 另有一类研究[如 Bhattacharya and Mazumder(2007)]将过渡矩阵的元素定义为子代收入分位超过父代收入分位(向上流动,upward mobility)的概率,即P ij (y 0 ,y 1 )=Pr(y 1 ≥j|y 0 ≤i),j∈[0,n-i]。虽然具体数值不同,但两种方法在比较代际收入流动的非线性特点上是等效的。 Tuv5iY4sP2JtGMUSz/TFD91Dv35bIUa6JBfrq+HrKwKc5ofPWPkcEFKOvtDUZxCS

点击中间区域
呼出菜单
上一章
目录
下一章
×

打开