



基于Becker and Tomes(1979)的理论框架,我们首先建立一个收入代际传递的基准模型——三期世代交叠(OLG)模型。模型中的每一个个体都经历了人生中的三个时期:少年期、中年期和老年期。个体在少年期只接受教育而不工作;在中年期从事工作以获得收入,并需要做出消费、储蓄和教育子女等决策;在老年期停止工作,并利用中年期的储蓄进行消费。在基准模型中,我们考虑父母对子女的人力资本投资及其对社会流动性的影响,但暂时忽略人力资本自身的直接代际传递。
在以上框架下,个体的主要决策都在中年期作出。因此,我们建立一个典型父母在中年期的期望效用函数:
其中,上标p代表父母,上标c代表子女,u(·)为即刻效用(instantaneous utility)函数,符合u′(·)>0、u″(·)<0的常规性质。t 期时,该个体正值中年,取得收入yt,根据自己的期望效用决定其在t期的消费
及储蓄
,同时要对子女进行人力资本投资
。在t+1期(即老年期),该个体利用t期储蓄的本金及利息总和(
进行消费
,同时其子女依靠少年期人力资本的积累获得收入
。子女的收入直接反馈于父母的效用函数,是研究家庭人力资本投资与代际流动性的常见假设(Solon, 2002)。在此种假设下,父母的效用被称为“利他主义效用”,而参数α被称为利他系数,反映了子女收入对父母效用的影响程度。参数β为贴现因子。
根据以Becker(1993)为代表的人力资本理论,我们假定个体在 t 期取得的收入
取决于其自身的人力资本积累(
):
其中,γ<1表示人力资本的边际收益率递减。同时,个体人力资本的形成依赖于其自身的天赋(
)和少年时期其父母对该子女的人力资本投资(
):
(3-3)式中,0<σ<1,保证人力资本投资的边际回报率递减。
我们假定子女的天赋
由随机因素决定,其对数形式服从正态分布:
其中,
为
的均值,ε
t
~N(p,v
2
)。由于天赋只有经过教育才能完全确认其实现值[见(3-3)式],因此在 t 期父母将根据自身的天赋以及(3-4)式所刻画的人力资本形成过程得到对子女天赋的条件期望,决定对子女的最优教育投资水平。
仿照现有文献(Solon,2002),我们对 u(·)取对数函数这一特殊形式,则父母的决策问题可以描述为:
其中,(3-6)式和(3-7)式分别为父母在t期和t+1期的预算约束,(3-8)式代表子女收入的决定过程并间接反映出父母对子女进行人力资本投资的动机。
求解上述问题,得到下列一阶条件:
(3-9)式说明在最优决策下,父母在 t 期和 t +1期消费的边际效用相等。
(3-10)式说明在最优决策下,父母的消费和人力资本投资带来的边际效用相等。
由于(3-6)式和(3-7)式均为有效约束(binding constraint),其各自等号均成立。那么,基于(3-6)式、(3-7)式、(3-9)式、(3-10)式四个等式可以得到最优人力资本投资的表达式:
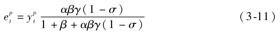
通过对(3-11)式进行比较静态分析,可以得到如下命题:最优人力资本投资受到父母收入
、利他系数α、折现因子β和收入决定方程系数γ的正向影响;受到人力资本形成函数中参数σ的负向影响。
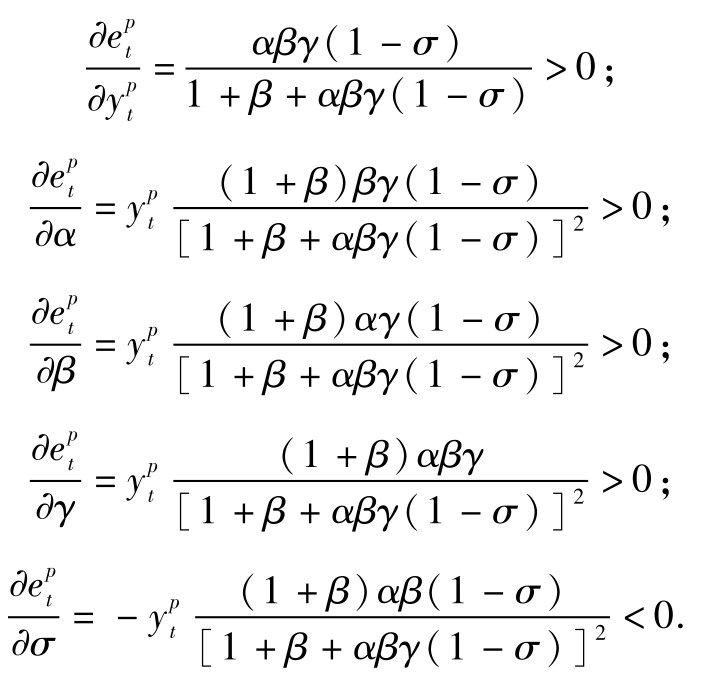
证明如下:对(3-11)式各变量求偏导,易得
该命题的经济含义是十分明显的:人力资本投资是父母收入的线性函数,因此父母收入
增加将导致最优投资增加;人力资本投资的增加将提高子女的工资,子女的对数工资在父母效用函数中的权重为利他系数,因此利他系数α增加将导致最优人力资本投资的增加;折现因子β的增加表示父母更看重自己未来的消费和子女未来的收入,前者导致人力资本投资的减少,后者导致人力资本投资的增加,总效果是人力资本投资增加;收入决定方程系数γ的增加提高了人力资本对收入的边际贡献率,也将导致父母对子女的人力资本投资的盈亏平衡点增大;人力资本形成函数中的参数σ增加表明人力资本投资的边际回报率在任何投资额度上都减少,因此最优人力资本投资将随之下降。
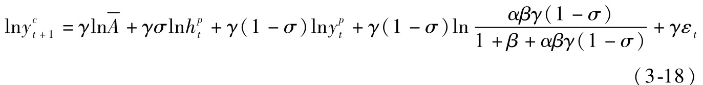
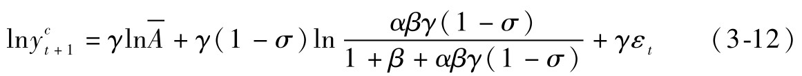
由于本章的关注重点并非最优人力资本投资,而是收入的代际传递系数。因此我们将(3-11)式代入(3-8)式,进而可得到收入的代际传递方程:
对照收入代际传递方程的常见回归形式(Becker and Tomes, 1979;Jäntti et al., 2006),(3-12)式可以整理为以下形式:
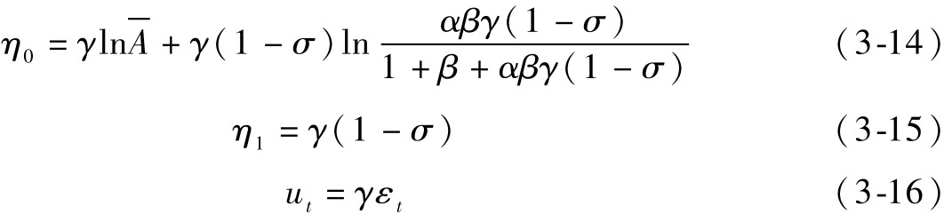
其中,
在(3-13)式中,我们重点关注系数η t ,即代际收入传递弹性。由(3-15)式可知,该弹性的大小取决于人力资本投资的边际回报率和人力资本对收入的边际贡献率。当这两个参数增大时,父母对子女的人力资本投资动机也相应增加,从而提高了收入的代际传递弹性,降低了代际社会流动性。
上述基准模型在常规假设下可推导出收入代际传递方程的表达式。在扩展模型中,我们引入人力资本的直接代际传递,并关注其对社会流动性的影响。首先,大量文献显示,人力资本自身存在代际传递的现象:父代的人力资本与子代人力资本可能直接相关,体现为受教育程度较高的家长更加重视对子女的培育,并通过言传身教和代际遗传等渠道直接提高子女的人力资本水平。在这种机制的作用下,人力资本的代际流动性表现为两代人的受教育程度高度相似,代际教育弹性和代际教育相关系数显著为正。例如,Hertz et al.(2007)估计了42个国家的代际教育相关系数和弹性,结果表明各国教育相关系数一般在0.4—0.6。Chevalier et al.(2004)通过比较欧洲和美国的教育代际流动性得出相似的结论,同时也证实教育的回报率与收入的代际传递弹性具有正相关关系:教育回报率越高,高收入家庭的父母就越有动机将更多的资源投资于子女的教育,导致其后代的人力资本和收入处于更高水平。
将上述人力资本的直接代际传递引入基准模型,子女人力资本的形成方程变为:
与(3-3)式相比,(3-17)式中子女的人力资本不仅取决于其自身的天赋(
)和少年时期父母的人力资本投资(
),同时还直接受到其父母人力资本(
)的制约。参照文献中的常规假定,
和
依据柯布道格拉斯(C-D)函数形式对子女的人力资本产生影响,体现了直接渠道(
)和间接渠道(
)在人力资本代际传递中的相对贡献率。
在引入人力资本的直接代际传递机制后,我们重新求解父母的决策问题(假定模型的其他设定不变),得到最优人力资本投资
的表达式仍然不变[同(3-11)式],因此各主要参数对最优人力资本投资的影响保持不变。根据扩展模型,可得到新的代际收入传递方程,如下所示:
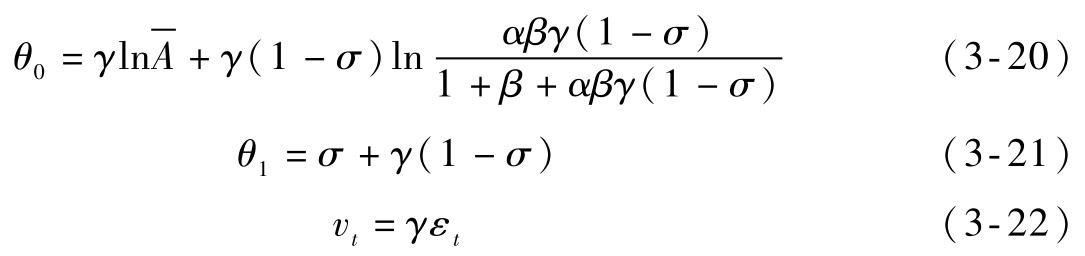
仿照基准模型中的方法整理(3-18)式,可以得到:
其中,
对比(3-15)式和(3-21)式可知,在考虑人力资本的直接代际传递后,收入的代际传递弹性不仅取决于人力资本投资的边际回报率和人力资本对收入的边际贡献率,还受到人力资本形成机制中两种制约因素相对贡献率的影响。由于0<σ<1,系数θ 1 大于基准模型中的传递弹性η 1 ,即基准模型低估了代际传递系数。在以下实证分析中,我们将对这一结论进行检验,并直接检测人力资本在我国的代际传递情况。