



遥感影像是根据不同地物在各波段的光谱特征进行地物探测与记录的数据,因此,充分利用地物在遥感影像不同波段光谱特性的差异,结合遥感器本身的波段设置、地面物体的几何特征,在地物分类方案与尺度要求的基础上进行波段的筛选和组合,可以有效识别影像上的各种地物。由于某些地物类型(如湿地)的丰富多样性和复杂性以及分类体系等部分基础工作尚未统一,完全的计算机分类方法受到限制,这些地物识别分类的主流模式目前还是与计算机分类相结合的半自动模式。比较常用的技术方法包括应用多波段复合、地物景观与季相差异的多时相复合以及多遥感平台间的复合等多源遥感数据融合方式。
遥感数字图像预处理是指用计算机对遥感数字图像的操作和解译,它是遥感应用分析中十分重要的部分。数字图像是由一系列像元组成,每个像元有一数字(digital number,DN)表示,称为像元的亮度值或灰度值。通常,我们用x和y方向上的像元数、光谱波段数以及用来记录每个波段及像元的灰度级所需要的比特数来概括一幅遥感数字图像。
遥感图像处理涉及的内容很宽泛,包括许多较复杂的数学模型、算法和软件,并与应用目标紧密相关。主要内容包括辐射校正、几何校正、数字图像镶嵌和图像统计等。其中,辐射校正包括遥感器校正、大气校正以及太阳高度和地形校正。几何校正需要根据图像中几何变形的性质、可用的校正数据、图像的应用目的,来确定合适的几何纠正方法。当研究区超出单幅遥感图像所覆盖的范围时,通常需要将两幅或多幅图像拼接起来形成一幅或一系列覆盖全区的较大图像,这个过程就是数字图像镶嵌。图像统计是对多光谱遥感数据进行基本的单元和多元统计分析,通常会为显示和分析遥感数据提供许多必要的有用信息。它是图像处理的基础性工作。这些统计分析通常包括计算图像各波段的最大值、最小值、亮度值的范围、平均值、方差、中间值、峰值,以及波段之间的方差、协方差矩阵、相关系数和各波段的直方图。
遥感卫星是地球大数据的重要载体。遥感卫星影像数据类别多,同物异谱、异物同谱等问题增加了影像分类的难度,如何解决多类别分类识别,并满足所获取的地球空间信息及其动态变化规律达到理想的分类精度,成为当前遥感卫星影像分类方法研究中的一个关键问题,也是人们关注的焦点。早在20世纪70年代,人们就开始探索如何利用计算机基于卫星遥感图像进行地物识别和分类。总的来说,目前的遥感分类方法可以归结为以下几大类。
(1)人工目视解译
20世纪70年代,人们利用计算机进行卫星遥感图像解译研究,主要方法就是遥感图像目视解译(或称目视判读)。人工目视解译是指专业人员通过直接观察或借助判读仪器在遥感图像上获取特定目标地物信息的过程,这是一种传统的遥感分类方法。这个过程主要由解译人员借助直接判读标志(如色调与颜色、形状、大小、阴影、纹理、图案、位置等)或间接解译标志(如目标地物与周围环境的关系、与成像时间的关系、相关指示特征等),依据地物分类体系对图像进行判读,从而获取土地利用/土地覆被的分类。
目视解译方法操作简单,但是耗时费力,而且很大程度依赖于解译人员经验和水平。在计算机分类方法出现之后,该方法往往和自动分类技术结合使用,即人机交互目视解译,能够很大程度提高遥感分类效率。
(2)基于统计理论的分类方法
20世纪80年代,主要的分类方法是利用统计模式识别方法进行遥感图像的计算机分类,这种方法的特点是根据图像中地物的光谱特征对影像中的地物进行分类。根据分类前是否需要获得训练样本类别作为先验信息,可将本方法分成两大类——监督分类和非监督分类。
监督分类是指在训练样本类别已知的情况下,从训练集出发得出各个类别的统计信息,然后根据这些统计信息结合一定的判别准则对所有像素进行判别处理,使具有相似特征并满足一定判别准则的像素归并为一类。常用的监督分类方法包括最大似然法、最小距离法、马氏距离法、平行六面体、波谱角等。
非监督分类是在没有先验知识的情况下,通过计算机采用一定的聚类算法对图像进行聚类统计分析的方法,如ISODATA算法、K-means算法等。
(3)人工智能分类方法
人工神经网络(ANN)是以模拟人脑神经系统的结构和功能为基础而建立的一种数据分析处理系统,具有对信息的分布式存储、并行处理、自组织、自学习等特点,通过许多具有简单处理能力的神经元的复合作用而具有复杂的非线性映射能力。
决策树分类方法最早产生于20世纪60年代到70年代末。该方法首先进行数据处理,利用归纳算法生成可读的规则和决策树,然后使用决策对新数据进行分析。本质上,决策树是通过一系列规则对数据进行分类的过程。
专家系统分类方法是一种智能化的计算机程序或软件系统,能够像专家一样分析和解决复杂的实际问题。专家系统分类的关键是知识的发现和推理技术的运用。
遗传算法(GA)是由美国密歇根大学John H. Holland教授于1975年首先提出的。遗传算法抽象于生物体的进化过程,通过全面模拟自然选择和遗传机制,形成一种具有“生成+检验”特征的搜索算法。
(4)面向对象的分类方法
面向对象的分类方法是一种面向对象的影像分割技术,其最重要的特点就是分类的最小单元是由影像分割得到的同质影像对象(图斑),而不再是单个像素,可以实现较高层次的遥感图像分类和目标地物提取。面向对象的分类方法不仅利用地物本身的光谱信息,而且充分利用地物的空间信息,包括形状、纹理、面积、大小等要素,因此可以提高信息提取的准确性和可靠性。
(5)多源信息复合分类法
随着遥感和计算机信息技术的飞速发展,航空航天遥感传感器数据获取技术趋向于“三多”(多平台、多传感器、多角度)和“三高”(高空间分辨率、高光谱分辨率、高时相分辨率)。因此,多源信息复合分类法可以充分利用已有遥感信息资源,是提高遥感分类精度的有效方法。多源信息复合分类法主要包括基于影像纹理信息结构的分类法、基于时相信息的频谱分析法、基于多角度信息的分类法、基于多分类器的分类法、基于地学专家知识的分类法。
另外,遥感分类方法还包括分层分类法、模糊数学分类方法、支持向量机(SVM)方法等。
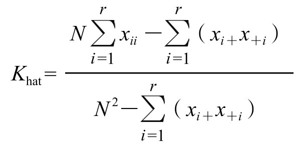
对遥感影像完成分类后进行分类精度评价,主要指标包括分类精度和Kappa系数。利用分类精度(包括总体精度、用户精度或制图精度)这种统计指标对分类结果进行评价的缺点是像元类别的小变动可能引起其结果发生较大变化,运用这种指标的客观性依赖于采样样本以及采样方法。Kappa系数分析采用另一种离散的多元技术克服以上弱点,其评价指标被称为K hat 统计,它是一种测量两幅图之间吻合度或精度的指标(赵英时,2003),计算公式为:
其中,r是误差矩阵中总列数(总的类别数);x ii 是位于误差矩阵中第i行、第i列上的像元数量(正确分类的数量,在本书中定义为采样点的数量);x i+ 和x +i 分别是误差矩阵中第i行和第i列的总像元数量(采样点数量);N是总的用于精度评估的像元数量(采样点数量)。
在村镇社区生态要素信息提取与分类领域,分类方法众多,各类算法各具特点,一些新的分类技术相比于传统方法在分类精度上有一定提高,但同时也存在一些不足之处。因此,继续探索先进方法以提高遥感影像的分类精度仍然存在广阔的研究空间。此外,单一采用某一种方法往往达不到理想的效果,通常会根据遥感监测的目标,结合两种或者多种分类方法进行分类,以提高分类精度。