购买
下载掌阅APP,畅读海量书库
立即打开
畅读海量书库
扫码下载掌阅APP

2.1 城市的能量平衡

若要分析地下空间开发对城市微气候的影响,首先就需要了解城市系统能量交换的基本原理,以及城市环境要素如何影响城市的能量平衡。

2.1.1 城市能量平衡公式

如图2-1所示,城市能量平衡一般看成局部中等尺度现象,城市区域表达为具有肌理的表面,可以用这种表面的平均属性(如空气动力学粗糙度或反照率)来描述,可以定量计算表面和大气层之间的能量转换,或模拟城市冠层以上的通量,模拟的高度充分保证这些通量可以代表整个城市区域的高度。根据以上性质,城市地区表面能量平衡的一般形式表达如下 [13]

式中,Q * 为所有波的净辐射;Q F 为人生产的热通量;Q H 为对流(或湍流)敏感的热通量;Q E 为潜热通量;∆Q S 为净储存热通量;∆Q A 为水平的净热对流。

以上能量平衡方程包括了城市表面所有可能的能量转换。

为了了解城市能量平衡的特点,还需要考虑城市能量流动的主要组成因素,以分析城市要素对城市能量流动的影响。

图2-1 城市能量平衡组成部分示意图

注:虚线围合起来的方框内的箭头代表通量,正值表示系统获得能量;指向虚线方框外的箭头代表不稳定通量,正值表示系统失去能量。

2.1.2 辐射

发生在城市建筑表面的辐射交换用以下方程表示。

式中,Q * 为净辐射平衡;K dir 为直接短波辐射(直接来自太阳的入射阳光);K dif 为扩散的短波辐射;α为城市表面的反射;L↑为从城市表面释放的长波辐射;L↓为城市表面从天空接受的长波辐射。

城市空间几何形式与不同建筑密度结合起来的综合影响,以及各种材料表面性质的差异(表2-1)、空气污染等因素,影响了城市对太阳辐射的吸收和反射,并影响了城市表面长波辐射的吸收和扩散。

表2-1 典型人造材料和自然材料的反射率和发射率 [14]

续表

1.城市形态对太阳辐射的影响

城市冠层(UCL)的主要能量来源是地球表面接受的太阳辐射。城市的几何形状以复杂的方式影响着城市冠层对太阳辐射的吸收。城市形态对太阳辐射产生影响有以下主要因素。

(1)城市密度。在建筑密度高的城市区域,楼顶反射了很大比例的入射太阳辐射,从而造成街区层峡中的多重反射效应相对比较小;在建筑密度低的城市区域,因为道路表面的反射不会受到相邻墙壁表面的干扰,所以城市表面的反射率比较高;建筑密度适宜的城市区域,对太阳辐射的吸收作用最大。

(2)建筑高度。比较高的建筑产生比较深的街区层峡,在道路宽度一定的条件下,将增加建筑表面对辐射的相互反射和吸收作用,从而减少了反射率(图2-2)。具有较深街区层峡的城市表面,白天的净辐射峰值要大于具有较低建筑高度的城市表面的净辐射峰值。

图2-2 城市表面对辐射的吸收与释放示意图

(3)城市粗糙度。城市街区的建筑高度相同(城市粗糙度低),能够减弱楼顶的反射干扰其他建筑的反射的现象。所以,低粗糙度的城市表面能够产生较高的反射率。而建筑高度差别较大时,将产生粗糙的城市表面,并吸收更多的太阳辐射。

2.空气污染对城市辐射交换的影响

空气污染对城市辐射交换的影响非常复杂,浓度较高的悬浮物质能够反射太阳辐射,从而可能降低白天的最高温度。但是,大气颗粒物也能吸收城市释放的长波辐射。由于悬浮颗粒散射太阳辐射,研究表明空气污染能够导致太阳辐射衰减达10%~20%。

2.1.3 对流的感通热量

当空气和城市建筑表面之间存在温差时,感热通过空气和建筑表面之间的对流进行转换。城市表面能量平衡对流分量的大小取决于两个因素,即温差的量及空气和城市表面之间的热转换阻力。对流热通量通过以下方程表达。

式中,Q H 为对流热交换率(W·m -2 );h c 为对流热转换系数(W·m -2 ·K -1 );T s 和T a 分别为表面温度和环境空气温度( K )。

对流热转换系数h c 的规模不仅受到气流性质(如气流速度和湍流比)的影响,还受到城市建筑几何形状、建筑表面特征、建筑和空气之间温差的影响。由于城市冠层及其之上的粗糙子层不均匀,且较大城市表面由建筑、街道、树木和其他元素组成,因此当城市表面层通过吸收太阳辐射而升温时,在城市表面之上的冷空气会吸收城市表面层的热量,在湍流作用下与更高层的空气混合起来。粗糙的城市表面肌理会对风的流动产生障碍,不仅导致了气流的不稳定性,而且还减少了气流的平均速度,从而使接近地面的风速最低,随着高度的增加,风速不断增加(图2-3)。在城市表面层里,风速不是以线性方式而是以系统方式随着空间高度的增加而增加;垂直的风速廓线呈对数曲线形状。

图2-3 不稳定气流与城市表面层热量的影响关系示意图

同质表面层中的感热通量的密度Q H (W⋅m −2 )通过如下公式计算。

式中,ρ和c p 分别为空气的对应密度(kg·m -3 )和热(J·kg -1 ·K -1 ),k为冯·卡门常数(取0.4);u * 为摩擦速度;T * 为定标温度。在一个时间间隔和表面层内,假定摩擦速度u * (m·s -1 )和定标温度T * (K)随高度变化,它们均由表面粗糙状态和当时状态决定。

城市表面感热通量密度定量计算的一般方式是涡度相关法(eddy covariance method),同时对空气温度(T)和湍流风流量(w)做高频率的测读。

其中,ρ和c p 为空气的对应密度(kg·m -3 )和热(J·kg -1 ·K -1 );w’为垂直气流和T’为温度。

摩擦速度可以通过对数风速廓线加上表面粗糙度参数来计算,表面粗糙度参数紧密依赖于建筑物的三维几何形状和构成城市表面的其他粗糙元素。

2.1.4 潜热通量

城市环境和自然环境之间的主要差异之一是地面暴露的程度。由于蒸发的缘故,地面吸收降水或丧失水分,有效的水分影响到潜热通量的大小;反之,潜热通量可以影响辐射从而能影响气温上升的程度,植物的蒸腾也对能量和水分之间的平衡产生影响,城市与自然环境存在差异的主要原因之一就是城市相对缺少植被绿化。

1.蒸散和城市水平衡

蒸发(evaporation)是一个液态转换成为气态的物理过程,蒸发到大气层中的水来自水体表面,潮湿的土壤和植物的蒸腾。土壤蒸发和植物蒸腾在自然界是同时发生的,这两个过程不易区分。所以,在描述水从生长植物的土地表面转移到大气层中的整个过程时,国外一般使用蒸散(evapotranspiration)作为术语(简称ET.或E)。

城市水收支的总量由城市冠层和土壤下一定深度下的水一起构成,其方程式如下。

式中,p为降水;I为城市的管道供水;F为人为活动如焚烧所致的水蒸发;E为蒸散;r为排放的水;∆A为这个体积中水分的净对流;∆S为给定时期的水储备变化。

水平衡通过E(即蒸散)与能量平衡连接起来,潜热通量Q E 的同等质量如下。

式中,L v 为蒸发的潜热,或蒸发一个单位质量液体所需要的能量。L v 是一个物理属性,它随水的温度和压力而变化,在30℃和100kPa时,L v 等于2.43 MJ (0.675kW·h)/kg。这样,每小时1ml的水蒸发等于675 W·m -2 潜热通量。

此模型将标准气候数据和地表水属性的详细描述推论出来,根据此模型,可把城市地表分为以下三种类型。

(1)不透水表面。如道路、停车场和建筑,此类表面被认为下雨时是湿饱和的,而晴天时是干燥的。

(2)自然透水表面。如开放的无人管理的公园区,具有从全湿到全干的水分状态。

(3)人工透水表面。如草坪和花园,此类表面假定总是潮湿的。

蒸散对城市能量平衡的影响特别重要,存在以下两种可能的条件。

①当表面是湿的或土壤水分具有田间持水量时,普里斯特利和泰勒(Priestley and Taylor,1972)提出 [15] ,以可能速率发生的蒸发表达如下。

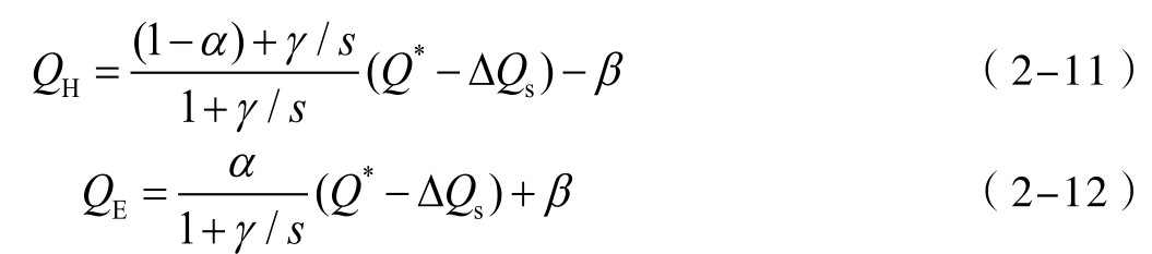
式中,E为蒸散;L v 为蒸发的潜热;s为饱和蒸发压与温度曲线的斜率;γ为焓湿常数;Q * 为净全波长辐射通量密度;∆Q s 为子表面(净储存)热通量密度;(无量纲)系数α为在最小对流条件下从湿表面蒸发到平衡蒸发的比例,平衡蒸发为潮湿表面蒸发的下限(α值由经验决定,在郊区,α值为1.2~1.3)。

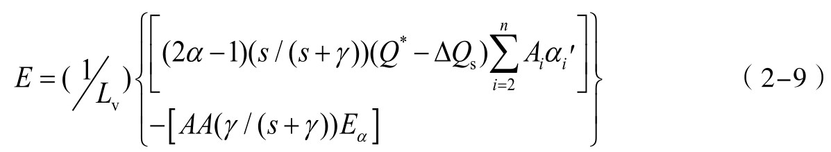
②当表面是潮湿或干燥时,蒸散限制在有效水的范围内,使用布鲁沙尔特和斯特里克(Brutsaert and Stricker,1979) [16] 的对流-干旱调整方程来计算。

式中,A i 为第i表面类型覆盖的集水区的比例;α i 为第i表面类型的经验系数;AA为相关地区土壤潮湿状态;E α 为空气的干燥功率。

式中,C为干燥空气的热容量; 为在高度z v 下的平均饱和度和周边蒸气压; 为在高度z u 下的平均水平风速;k为冯 ·卡门常数(0.40);d为零平面位移长度;z 0v 和z 0m 为水蒸气和动量粗糙长度。

由于蒸散占年度外部水平衡(即不包括灌溉)的30%~70%,因此对接近城市地表的能量平衡具有实质性的影响。

2.感热和潜热之间的能量划分

干燥的城市表面,因为把白天获得的剩余辐射转化成储存的感热或对流的感热,从而使城市或周边空气温度升高。此外不透水的城市建筑材料能够让雨水在地表滞留一段时间,由此可能出现大量的蒸发,以消耗感热从而增加空气中的潜热。在没有对流的情况下,没有储存下来的剩余能量就会加热表面附近的空气(即增加空气中的感热成分),蒸发表面水分,增加空气中的潜热成分。如果没有有效的湿度,所有的剩余能量都将转化成感热,导致气温的大幅上升。所以,就气候反应而言,城市不透水的表面能够在短期内覆盖从“湿”到“干”的所有种类的湿度。

城市环境由于下垫面材质的不同在渗透性和湿度方面存在多样性。例如,城市中心主要由砖石、水泥、沥青和玻璃构成,而城市非中心区则存在较大的绿化植被,因此城市中心区几乎没有潜热,形成非常干燥的微气候环境,而城市非中心区则能产生比较潮湿的微气候,蒸散的效果主导了中心区和非中心区微气候的差异。

城市表面的感热通量和潜热通量用以下方程估算。

式中,s为饱和蒸发压与温度曲线的斜率;γ为焓湿常数;α和β为经验参数。无量纲参数α依赖于土壤的潮湿状态,与Q E 和Q H 及Q * −∆Q s 紧密相关;相反,β(单位为W·m -2 )与其余部分相关。

这个计算方法的精确度取决于β值和α值是否适合实际情况,而这两个值受到城市内部异质性和下垫面材质变化的影响。

3.城市蒸散率

蒸散是城市的重要热通量,一般占居住区白天全部净波长辐射的20%~40%,甚至在昼夜(24h)辐射中占有更高比例。城市的蒸散率与城市的绿化紧密相关,城市中心区由于绿化率较低,不透水表面比例大,从而蒸散率较低 [17] 。北美部分城市的场地蒸散率和植被覆盖率之间的关系如图2-4所示。

图2-4 北美部分城市的场地蒸散率和植被覆盖率之间的关系

2.1.5 热储存

储存在城市表面的热量或净储存热通量(net storage heat flux)的持续变化是构成城市能量平衡的重要部分。净储存热通量(∆Q s )占据了白天净辐射的50%。城市表面吸收、储存和释放辐射能的能力对城市微气候具有重大影响。城市建筑材料属性、下垫面属性、城市规模、空间布局都会对城市的能量储存产生影响。由于能量储存过程影响城市的表面温度,因此能量储存对于城市环境人体热舒适意义重大。

地面吸收或释放能量的速率不仅由外部力量决定(即驱动表面能量平衡而进入的能量),也由材料本身的热属性决定,即导热性能(K)和热容量(C=ρ p , ρ为密度, C ρ 为比热)。表2-2为常见典型土壤和城市下垫面材料的热属性 [18]

表2-2 常见典型土壤和城市下垫面材料的热属性

资料来源:Oke(1987)。

由此可见,城市环境的大量不同属性的下垫面材料及建筑材料对城市的微气候产生了复杂的影响。

城市街区每一种表面类型按照它的相对面积加权,采用目标迟滞模型(OHM)累计计算整个区域的热储存。

为了使用目标迟滞模型(OHM),要求每一种表面类型都具有适当的系数α 1 、α 2 、α 3 ,表2-3列举了在目标迟滞模型中用来描述若干种表面储存热通量的参数值 [19]

表2-3 在目标迟滞模型中用来描述若干种表面储存热通量的参数值

2.1.6 人为热

无论是交通、建筑供暖(或降温)还是各式各样的人类活动都需要能量。使用的能量数目不仅取决于气候,而且取决于城市布局、交通类型、建筑采暖或降温,技术和照明采光的效率。

人为产生的热通量的大小可以通过下面基本成分的分解分析而得到评估。

其中,人为热通量Q F 等于车辆产生的热通量Q V 、建筑产生的热通量Q B 和人体新陈代谢产生的热通量Q M 之和。

除车辆、建筑和工业这三个主要的人为热量排放外,人体的新陈代谢也释放出热。大规模的人上下班运动,特别是在市中心区域,会影响新陈代谢所产生的热的空间分布,但是一般城市区域人体新陈代谢仅仅构成人为热通量的2%~3%。

在没有城市热源详细数据库时,相同地方人为热通量可以通过场地的植被率与整个城市地区的平均通量计算。

其中,Q F(0) 是植被率R g 等于0时释放的人为热的密度(植被率是植被面积与整个场地面积之比)。

人为热主要受到以下三方面的影响。

1.城市人口数量

不同城市的人为热在数量上差异很大,主要受人均能源使用量和人口密度的影响,此外气候状况、工业活动的程度和类型,城市交通系统的类型也对人为热排放产生一定的影响。

2.城市空间变化

城市区域的热通量在空间上存在差异,城市中心区的人为热的热密度比整个城市的平均值高5~10倍,反映了高密度城市和人类活动的高度集中性方面的影响。在高密度市中心,寒冷气候下的人为热的热通量达到1500W·m -2 ,低密度市区的人为热的热通量可能只有l~5W·m -2 ,城市平均的人为热的热通量为25W·m -2

3.时间变化

人为热释放与人的活动水平是一致的,人为热释放具有日、月和季节性的循环。三种基本人为热组成部分存在不同的时间模式,一般大部分城市存在相同的人为热释放昼夜规律:人为热释放白天高晚上低,其中白天热量释放是晚上的2倍以上。

其中,人的新陈代谢产生的热在整个城市人为热排放中所占比例相对比较小。但是,在人口密度高的区域类型,如大型集会、大型商场、交通枢纽及城市综合体,则会产生不能忽视的局部热源。

2.1.7 对流

大部分城市都是高度多样性的,土地使用模式、建筑密度和植被覆盖面积等因素都影响着表面能量平衡,产生了相对热和相对冷的区域,这些区域常常紧密相邻,这就引导热和水分从一个位置向另一个位置转移。由此形成的对流会对一定空间范围内的微气候造成影响。

实地研究显示,假定为均匀的郊区居住区的能量通量仅在100~1000m的范围内即可达到40%的不同 [20] ,这些差异在量上与城市和郊区的差别相同,因此,平均流的垂直湍流能量通量的水平变化会引起对流现象,这意味着“小对流”可能对城市局部的能量平衡具有重要影响。这些研究揭示出,净辐射通量在空间上的变化相对较小,而人所产生的热可能在空间和时间上具有很大的变化性。此外,表面铺设和植被的差别,特别是在土壤湿度方面的差别,都引起了感热通量和潜热通量比例和储存的热在局部位置上的差别。 ytXJUEmGimhWNFD2D9fhdj0XoHEzRwGnHVykyUVkKlXTEH48VbnhP0UGGP3lVRNH

点击中间区域
呼出菜单
上一章
目录
下一章
×

打开