



遥感的首要任务是信息获取。所谓信息获取是指运用遥感技术装备接收、记录地物目标电磁波特性的探测过程。信息获取所采用的遥感技术装备主要包括遥感平台和有效载荷,它们一起构成了遥感信息探测系统。遥感平台和有效载荷的多种组合,为现代遥感技术提供了多样化的信息获取手段。其中,遥感平台构成了遥感系统的整体结构,承载着载荷及其支撑载荷工作的子系统(如电源系统、姿态控制系统、遥测及跟踪系统、通信系统等)。目前常用的遥感平台有气球、飞机和人造卫星等。有效载荷则是执行遥感任务的仪器和设备,其核心就是用来探测目标电磁波特性的传感器。传感器的性能高低体现遥感技术的水平。常用的传感器包括照相机、扫描仪和成像雷达等。
遥感信息获取的主要产品是图像,其质量既与电磁辐射能量大小、大气条件等因素有关,还与载荷平台、传感器特性,以及太阳辐射源、地物目标、载荷传感器的几何关系等众多因素有关。下面重点介绍遥感载荷平台和传感器特性。值得注意的是,遥感传感器涉及被动式传感器和主动式传感器。本书在内容安排上将以光学遥感为主,因此将对光学被动式传感器的相关知识进行重点介绍。至于主动或被动微波遥感,其载荷和成像过程与光学遥感完全不同,本节对相关知识只作简单介绍。
对任何遥感系统而言,探测目标与载荷平台之间的距离决定了传感器获得信息的详细程度。就目前广泛应用的航空平台和航天平台而言,航空平台飞行高度较低,主要包括飞机、氢气球等飞行在大气层中的飞行器。航空平台的特点是机动灵活,而且不受地面条件的限制,但航空平台的稳定性和成像的大倾角等会造成图像几何失真等问题。相对于航空平台,航天平台飞行高度较高,主要包括卫星、宇宙飞船、空间站等,其突出的特点是覆盖范围宽、探测能力强,但大气层的干扰因素强,直接影响成像质量。就航空平台和航天平台相同传感器所提供的图像数据而言,其主要差别一般是有效的空间分辨率。相比较而言,航天遥感距离地面目标较远,空间分辨率相对较低,观测细节信息能力弱;航空遥感空间分辨率较高,观测目标细节信息能力强。
无论何种遥感平台,其传感器都由收集器、探测器、处理器和输出器4个部分组成,如图1-20所示。
图1-20 传感器结构
收集器收集来自于地物目标的电磁辐射能量,并将其聚焦至探测器。不同传感器使用的收集器不同,例如,光学器件可以是透镜、反射镜等;微波成像可以是天线等。多波段遥感成像系统的收集器还包括分光器件,如棱镜、分光镜、滤光片等。
探测器的主要功能是实现能量转换,测量和记录接收到的电磁辐射能量。光学系统实现的是光电变换,例如,光电敏感元件通过光电效应把探测的电磁辐射能量转换为电信号。
处理器主要是对探测器探测到的化学能或电能信息进行信号加工和处理,如电信号的放大、增强、模数转换等。
输出器以适当的方式输出所获得的数据或者数字图像。
在遥感领域,传感器工作在可见光波段、近红外波段、中红外和热红外波段的遥感技术统称为光学遥感。光学遥感是目前遥感图像的主要成像方式,从传统相机成像到扫描仪成像,有多种形式。对于扫描仪成像方式,构成一幅遥感图像的二维像素网格通常包括:沿着平台轨道(顺轨)的运动方向和与轨道运动的垂直(交轨)方向。图像网格顺轨方向的间隔由控制平台运动速度决定,交轨方向的间隔由传感器采样率决定。典型传感器与地面成像区域的几何关系如图 1-21 所示,传感器视场(field of view,FOV)定义为垂直于轨道所能覆盖地球表面的可视角度范围。当传感器以这个角度投影到地表时,其相应的地面覆盖范围称为地面投影视场,通常定义为扫幅宽度,它决定了图像每行覆盖地面的宽度,即图像一行大小。传感器瞬时视场(instantaneous field of view,IFOV)定义为一个探测器件在光学系统轴向的角度,它决定了在给定平台高度下观测的地面尺寸,体现的是传感器最精细的角分辨率。
图1-21 典型传感器与地面成像区域的几何关系
当从遥感平台高度 H 向地球表面投影时,瞬时视场根据等效地面尺寸定义了图像最小的可分辨单元,通常称为图像像素或像元,其对应的地面几何投影称为地面投影瞬时视场,它定义了一个像素对应地面的实际面积大小。通常,瞬时视场越小,传感器能分辨的地面单元就越小,图像的空间分辨率就越高。
对于可见光-近红外遥感,它们记录的是地物目标对太阳辐射能量的反射能量,其传感器按照数据采集方式可进一步划分为摄影成像和扫描成像,如图 1-22所示 [10 , 12] ,这也是本节重点介绍的内容;对于微波雷达成像,由于其本质上完全不同于光学遥感,所以将在1.4.3节单独介绍。
图1-22 典型光学传感器的数据采集方式
目前,扫描成像方式获得了更为广泛的应用,主要原因在于:①探测范围可由传统的可见光波段,扩展到较宽的红外波段;②通过光敏或热敏探测器把收集的电磁辐射能量转换成电信号,更有利于遥感图像数据的实时传输和存储。为此,下面主要介绍3种典型的扫描成像系统。
光机扫描成像系统利用遥感平台的行进和传感器旋转扫描镜,对与平台行进垂直方向的地面目标,沿着扫描线逐点扫描,并通过 传感器的瞬时视场来记录地球表面图像数据, 如图 1-23 所示 [ 1 ] 。该扫描成像系统通常又称为物面或交轨扫描系统。
图1-23 光机扫描成像系统
光机扫描成像的几何特征主要依赖于传感器视场和瞬时视场的大小。由于假设传感器在瞬时视场的扫描持续瞬间是静态的,此时接收到的地物目标的电磁辐射能量即为传感器探测的能量,决定了图像中每个像素的灰度值大小。传感器视场FOV和载荷平台高度
一起,决定了图像扫幅方向图像列的宽度
,即地面扫描幅宽,三者关系为
(1-23)
随着遥感平台的前向运动,可以通过光栅扫描逐渐获得一个数据条带,而选择一定数量的条带即可构成图像的行长度
,进而形成一幅大小为
的遥感图像。值得注意的是,图像行(平台飞行方向)和列(传感器扫描方向)的比例尺通常是不一致的。光机扫描成像系统的特点是扫描宽幅大,但空间分辨率较低。
随着基于CCD技术的可靠探测器阵列的实用化,另一种图像获取扫描成像系统是推扫扫描成像系统。推扫扫描成像系统不用扫描镜,而用垂直于遥感平台飞行方向的线性探测器阵列来感应场景目标,如图 1-24 所示
[
1
]
,该扫描成像系统又称为像面或顺轨扫描系统。不同于光机扫描成像系统对图像一行需要扫描
列(图像一行像素数),推扫扫描成像系统一般由CCD阵列组成。如果推扫扫描成像系统的CCD阵列为
,则扫描一次就能对图像一行进行探测。显然,其扫描时间可以大大缩减。此外,传感器瞬时视场取决于CCD器件的性能,而图像的视场取决于CCD阵列的个数。随着传感器载荷平台的向前移动,CCD阵列就以条带的形式记录图像数据。
图1-24 推扫扫描成像系统
值得注意的是,CCD阵列能同时感应目标响应、同时采光、同时能量转换(光电转换)、同时成像。若CCD按线阵排列,则可以同时获得图像一行
个像素数据,再根据需要扫描
行,就可以形成一幅大小为
图像;如果CCD按二维面阵
排列,则可以同时获得一整幅图像。
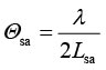
通常,二维CCD阵列也可被用于卫星成像传感器。如果该阵列以推扫方式应用,但不是记录地表目标的二维空间图像,而是通过利用一种将输入辐射能量根据波长进行分离的机制,将第三维用于同时记录每个像素的若干个不同波段,如图1-25所示,那么这样的仪器就称为成像光谱仪,它所描述的数据被称为“立方体”数据。通常用这种方式可以记录上百个通道,因此,地球表面的反射特性也可以很好地体现在数据中。
图1-25 成像光谱仪
成像光谱仪把成像技术和分光技术有机地结合起来,在获得图像二维空间信息的同时,也使图像的光谱分辨率非常高,波段数非常多(能达到上百个波段)。这种典型的成像光谱仪就是美国机载可见光/红外成像光谱仪,获得的图像通常称为高光谱图像。
合成孔径雷达是一种主动式微波遥感雷达传感器。合成孔径雷达首先是雷达,其本质就是无线电探测与测量,通常利用脉冲压缩技术很容易获得较高的距离分辨率。“合成孔径”的主要用途是改善雷达图像的方位分辨率,其概念是相对雷达真实孔径提出来的,主要原理是在运动平台上安装一个具有较短天线的雷达,运动平台上的雷达通过较长时间连续发射波束来“观测”同一目标。同时,雷达天线也连续接收地面目标的后向散射回波信号,并对接收的不同时间累积信号进行合成相干处理,通过“合成孔径”得到一个比物理天线尺寸更长的虚拟天线,进而提高雷达图像的方位分辨率
[13]
。图1-26所示为典型合成孔径雷达成像几何示意
[
9]
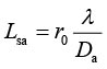
。其中,雷达平台沿着方位向或者轨迹方向运动,电磁波传输方向称为距离向,二者形成了合成孔径雷达图像的二维坐标维度,其扫幅宽度代表了距离向上的图像大小。
为斜距,
为方位波束宽度,
为传感器运动速度。
图1-26 典型合成孔径雷达成像几何示意
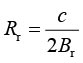
此时,合成孔径雷达的距离分辨率可以表示为
(1-24)
式中,
为光速;
B
r
为发射脉冲信号频域带宽。
可见,合成孔径雷达的距离分辨率主要取决于信号频域带宽(或时域信号脉冲宽度),信号频域带宽越宽,距离分辨率也就越高。较宽的信号频域带宽意味着信号在时域需要较窄的脉冲信号,这样其探测精度越高。这种窄脉冲信号的发射功率是有限的。因此,在具体应用中常采用大时宽的宽频带信号(如线性调频信号),其调制的目的就是增加频域带宽或者实现“脉冲压缩”。
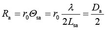
理论上,合成孔径雷达的方位分辨率取决于天线波束宽度,波束宽度又与天线尺寸成反比。如果要提高其方位分辨率,就要压缩其波束宽度,也就是增加天线尺寸。合成孔径的波束宽度为
(1-25)
式中,
为雷达工作波长;
为合成孔径长度,可以表示为
(1-26)
式中,
为雷达到目标的(斜)距离;
为实际雷达较短的天线长度,则合成孔径雷达的方位分辨率为
(1-27)
由式(1-27)可以看出,合成孔径雷达的方位分辨率只与雷达天线的尺寸有关,而与运动平台的高度等参数无关。天线的尺寸
越小,合成孔径雷达的方位分辨率越高。
值得注意的是,不同于光学成像,合成孔径雷达成像获得的原始数据不是图像,而是在不同方位上具有不同延迟的一维距离像,通常原始数据称为原始回波。因此,如何从这些观测的原始回波生成可视化合成孔径雷达图像的成像算法,是合成孔径雷达成像研究的关键技术,其成像性能直接影响合成孔径雷达图像的应用。通过典型RD成像算法进行合成孔径雷达成像过程主要包括两步:第一步是在距离维方向上把发射的线性调频信号压缩成一个窄脉冲。在算法实现中,并不是直接在时域进行卷积,而是直接在频域进行乘积。这样,每个距离维行在频域乘以线性调频信号频谱的复共轭(该信号也称为参考信号),其结果就是距离维压缩的图像。第二步是方位维压缩,此时也是与一个参考信号进行卷积,只是所选择的复共轭需要考虑地面一个点目标的响应。可以证明,方位向信号也是一个线性调频信号,其瞬态方位维频率随着时间线性变化,具有反比于距离的斜率,此时的方位维频率也称为多普勒频率。从信号处理的角度,合成孔径雷达数据的成像过程可以理解为分别沿着距离维和方位维在频域的匹配滤波,其目的就是要把接收的大时宽频宽信号压缩成窄脉冲。所谓匹配滤波就是以输出最大信噪比为准则的最佳滤波器,此时其滤波器的频率响应为输入信号频谱的复共轭。根据卷积定理:频域两个函数相乘等于这两个函数时域的卷积,因而频域的匹配滤波也相当于在时域信号与滤波器冲激响应的卷积。本书对合成孔径雷达成像原理和成像过程只作简单介绍,具体详细内容读者可参考文献[9]。