



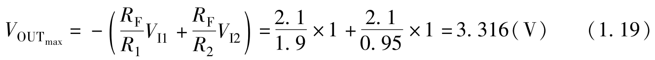
对图1.41中电路,当电阻 R 1 和 R 2 取-5%容差、 R F 取+5%容差时输出电压最大,最大值为
最坏情况仿真设置及其输出最大值的设置如图1.51和图1.52所示,输出电压最大值仿真结果如下:
当 R 1 和 R 2 取95%、 R F 取105%时输出电压最大,最大值约为3.316V,与计算值一致。
对于图1.41中电路,当电阻 R 1 和 R 2 取+5%容差、 R F 取-5%容差时输出电压最小,最小值为
最坏情况仿真设置输出最小值如图1.53所示,输出电压最小值仿真结果如下:
图1.51 最坏情况仿真设置
图1.52 最坏情况输出设置:输出最大值
图1.53 最坏情况输出设置:输出最小值
当 R 1 和 R 2 取105%、 R F 取95%时输出电压最小,最小值约为2.714V,与计算值基本一致。
电阻容差越大,最坏情况下输出电压偏离正常值越大,读者可以自行仿真验证。