



针对窄带MIMO雷达发射波束赋形的波形设计方法主要分为两类:一是两步法,首先合成波形协方差矩阵,进而求解满足一定约束的波形 [6-8] ;二是直接合成波形 [9-11] 。本节针对第一种两步法设计展开研究。目前,最常用的方法是首先通过最小化ISL等准则合成波形协方差矩阵,再利用基于最小化波形协方差矩阵估计的均方误差准则设计满足一定约束的波形。然而,任意MIMO雷达发射波束赋形设计,可能导致波形模糊函数性能恶化,如多普勒容忍度或脉冲压缩特性较差等 [12] ,不利于动目标或微弱目标检测。因此,为兼顾MIMO雷达发射波形模糊函数与方向图性能,本节在发射波束的优化问题中,首次引入了波形相似性约束 [13] ,折中考虑了波形模糊函数与发射波束性能。
本节首先通过最小化方向图ISL准则得到最优波形协方差矩阵,提出恒模与相似性约束下的最小化波形协方差矩阵的均方估计误差问题。然后提出一种基于CD算法的MIMO雷达波形优化算法,并通过理论与仿真分析验证所提CD算法的有效性。
考虑MIMO雷达发射阵列为均匀线阵,天线个数为 N T ,间距为半波长,如图4.1所示。其中每个发射天线发射独立波形,其窄带离散基带信号的形式表示为 s n ( m ), m =1,2,3,…, M , n =1,2,3,…, N T , M 是发射波形的采样数。为简化分析,忽略传播衰减等影响,则在目标方向 θ 处的基带信号表示为 [8]
其中,
为第
m
个采样时刻
N
T
个发射天线的发射波形,满足关系
。
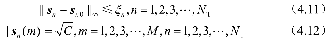
a
T
(
θ
)为
N
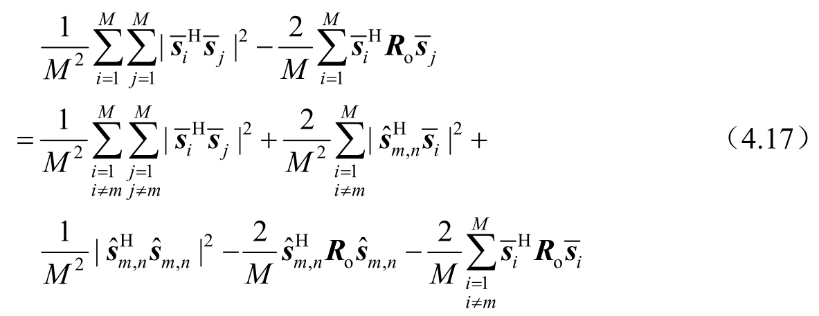
T
×1维的发射导向矢量,具体形式为
其中, λ 是工作波长, d T = λ /2为阵元间距。
图4.1 窄带MIMO雷达发射阵列示意图
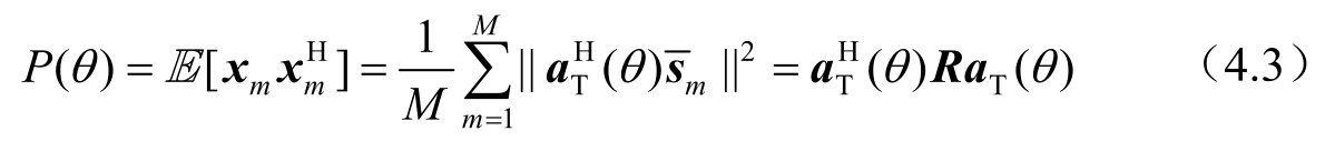
根据式(4.1),MIMO雷达位于 θ 方向处的目标接收功率可表示为
其中, R 为发射波形协方差矩阵,具体形式为
其中,
表示发射波形矩阵。需要说明的是,式(4.3)给出了一般发射波束方向图的表达式。当MIMO雷达发射相干波形,即
R
的秩为1时,式(4.3)表示相控阵方向图,即能量聚焦于某个方向。如果MIMO发射相互正交的波形,即
R
为单位阵,则式(4.3)为
P
(
θ
)=
N
T
,表明各个方向辐射的功率相等,实现了空域全覆盖。若MIMO雷达发射相关波形,则发射波束形状取决于发射波形的具体形式。
首先将MIMO雷达的探测空域分成主瓣区域 Θ m 与旁瓣区域 Θ s ,定义发射波束方向图的ISL为
其中,
MIMO雷达发射波束赋形旨在通过控制波形协方差矩阵 R 或发射波形使得发射波形的能量尽可能集中于主瓣区域 Θ m ,同时降低从旁瓣区域 Θ s 辐射能量,以减少信号相关干扰回波返回,提高MIMO雷达回波SINR,增强系统的探测性能。因此,可通过优化波形协方差矩阵使得发射波束的ISL尽可能小,增大主瓣能量与旁瓣能量区分度,如图4.2所示。从数学优化角度看,基于波形协方差矩阵的发射波束赋形优化问题可建模为
其中, θ 0 表示主瓣区域 Θ m 中最大功率对应的方位, C 是一个正常数。约束1是主瓣3dB宽度约束 [14] ,通常用来控制主瓣区域功率衰减程度;约束2是半正定矩阵约束,该约束由 R 的定义式(4.4)决定;约束3是恒功率约束,限制了每个发射天线的功率等于 C 。
图4.2 MIMO雷达发射波束
上述问题可转换为一个半定规划问题,即
该问题可采用CVX工具箱 [15] 求得最优解( Z o , z o ),因此,式(4.8)的最优解为 R o = Z o / z o 。
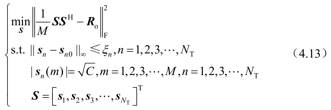
需要说明的是,最优的 R o 能够表征发射波束的ISL达到最小。因此,可通过设计波形逼近最优的 R o 以实现MIMO雷达发射波束赋形任务。这里采用最小化波形协方差矩阵估计的均方误差准则设计发射波形,其逼近程度可以刻画为
式(4.10)的值越小意味着优化的发射波束越逼近于最优的发射波束。
无约束MIMO雷达发射波束合成会引起发射波形的性质(如脉冲压缩特性和多普勒容忍度)恶化;也会导致波形幅度动态范围变化剧烈,使得雷达的非线性放大器工作在线性区,大大降低雷达放大器的工作效率,影响雷达的探测威力。为了控制波形模糊函数特性,同时让雷达发射机工作在饱和状态,这里引入了波形相似性与恒模约束 [16-19] ,即
其中, s n 0 是第 n 个发射天线的参考信号,具有良好的模糊函数特性, ξ n 是对应的相似性参数,可控制第 n 个天线的发射波形 s n 与参考波形 s n 0 之间的相似程度, ξ n 越大, s n 与 s n 0 之间的相似性越弱,反之越强。
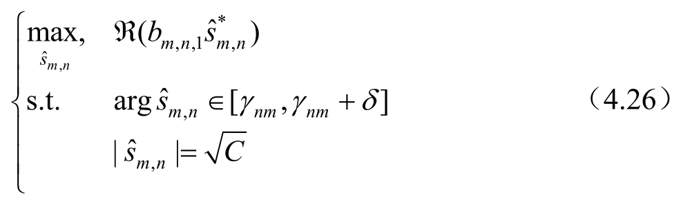
最后基于恒模与相似性约束下的MIMO雷达发射波束赋形建模为
观察式(4.13)可知,其目标函数为一个非凸的四次函数,恒模约束为一个NP-hard约束 [1,4] ,因此,上述问题属于一个NP-hard问题,无法在多项式时间内求得最优解。常用的方法是通过迭代算法在多项式时间计算复杂度内找到一个次优解。文献[9]将式(4.13)的目标函数进行了近似等价转换,即
其中,
为酉矩阵,不失一般性,假定
ξ
0
=
ξ
n
,
n
=1,2,3,…,
N
T
。文献[9]通过循环迭代
S
与
U
的方式提出了基于CA的波形优化算法,然而该方法每步迭代需要奇异值分解以求解
U
,计算复杂度高。另外,CA并未直接考虑式(4.13)的目标函数,无法保证式(4.13)目标函数值的单调性,逼近效果不理想,同时也未考虑相似性约束以控制波形模糊函数特性。
针对CA存在的问题,本节提出一种基于CD算法的波形优化算法。该算法以序列迭代的方式直接优化式(4.13)的目标函数,在每次迭代中,该算法将非凸高维问题转换为多个存在闭式解的一维问题,降低了计算复杂度,具有较好的逼近效果。
具体而言,问题式(4.13)的目标函数可展开为
忽略常数项
,利用
R
o
为半定矩阵,替换
,并对相似性约束进行化简
[12]
,则问题式(4.13)可等效转换为
其中,
γ
nm
=arg
s
n
0
(
m
)-arccos(1
-ξ
2
/2),
δ
=2 arccos(1
-ξ
2
/2),
。
接下来通过序列优化
使目标函数单调减少。为表示方便,用
代替
;优化
中的第
n
个元素(假定用
表示为优化变量)并保持
S
中剩余元素不变,则问题式(4.16)的目标函数可化简为
其中,
。
因此,关于
作为优化变量的问题可写为
其中,
进一步地,
可展开为
其中,
由
R
o
为半定矩阵可得到
,因此
可进一步写为
由于
,则令
忽略常数项 c -m , -n ,则问题式(4.18)最终可等效转换为
进一步地,上述问题可等效写为
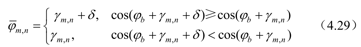
其中,
φ
m
,
n
与
φ
b
分别表示
与
的相位。式(4.27)是一个三角函数问题,其最优解
为
或
因此,问题式(4.18)的最优解
。基于上面类似的步骤,继续优化下一个波形码字,直到满足一定的退出条件。最后总结基于CD算法的MIMO雷达波束赋形算法流程如下。
为得到最优的发射波形协方差矩阵
R
o
,需求解问题式(4.8)。该问题可转换为一个SDP问题,然后利用内点法进行求解,相应的计算复杂度为
。此外,为了利用
R
o
合成满足相似性与恒模条件的波形,则需调用CD算法。CD算法的每次迭代需更新
S
(
i
)
,其中更新
S
(
i
)
的(
m
,
n
)个元素要求计算
b
m
,
n
,1
,相应的计算复杂度为
O
(
N
T
)。因此,CD算法每次迭代总的计算复杂度为
。最后需要说明的是,CA的每次迭代都需计算
S
与
U
,相应的计算复杂度为
[21]
。故CD算法较CA具有更低的计算复杂度。
本节从理论上分析基于CD算法的MIMO雷达波形设计算法的收敛性。假定
表示更新
S
(
i
)
的第(
m
,
n
)个元素的目标函数值。由于问题式(4.18)存在闭式解,因此,
S
(
i
)
的第(
m
,
n
)个元素能实现最优更新,可推得
因此,序列
η
(
i
)
单调递减。另外,
,存在下界。根据收敛性定理可知,序列
η
(
i
)
单调递减至收敛。
另外,为确保最后CD算法的解是一个稳定点,可将CD算法优化的波形作为最大块提高算法 [22-23] 的输入,进一步降低目标函数值。由于最大块提高算法求得的解是一个稳定点,因此可满足局部最优性。
本节通过数值仿真说明所提MIMO雷达波形设计算法的有效性。首先利用CVX凸优化工具箱求解问题式(4.8)得到最优的 R o 。设定相似性参考信号为一组正交的LFM信号(LFM信号具有好的多普勒容忍性),即
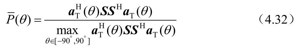
给定一个发射波形矩阵 S ,定义归一化发射波束方向图为
另给定一个协方差矩阵 R = SS H / M ,定义 R 的均方根误差(RMSE)为
首先分析不同相似性参数下发射波束方向图的性能。假定MIMO雷达发射天线 N T =15,采样数 M =64, C =1,感兴趣的空域主瓣为 Θ m =[-10°,10]°,空域旁瓣范围为 Θ s =[-90°,-10°)∪(10°,90]°。
图4.3(a)和图4.3(b)分别给出了 R 的均方根误差随着迭代次数与CPU时间的变化曲线。从图中可知均方根误差随着迭代次数与CPU时间增加而单调减少,图中的数值证明了CD算法的单调性。另外,相似性参数越大,波形优化自由度越大,使得均方根误差越小。当相似性参数 ξ =2时(仅考虑恒模约束),可观察到CA算法的均方根误差大约为0.049,然而CD算法的均方根误差大约为0.003,因此CD算法获得的均方根误差较CA降低1个数量级,更加趋于0。最后需要指出的是,相比CA,所提算法能够以更少的计算时间获得更小的均方根误差。
图4.4展示了ISL随迭代次数的变化结果。从图中可以看出,迭代次数与相似性参数越大,ISL越低。针对 ξ =0.5,1,1.5,与CA相比,CD算法获得了更低的ISL。然而,当 ξ =2时,CD算法与CA获得了接近的ISL值,且靠近于最优的ISL。
图4.3 波形协方差矩阵的均方根误差变化结果
图4.4 ISL随迭代次数的变化结果
图4.5给出了不同相似性约束下的归一化发射波束方向图。仿真结果表明,两种算法的方向图能量均集中于主瓣 Θ m =[-10°,10]°附近,方向图在旁瓣区域 Θ s =[-90°,-10°)∪(10°,90]°的电平较低。随着相似性参数变小,方向图的旁瓣电平明显增高,这由拟合的 R 的均方根误差增大所导致;当 ξ =0.5,1,1.5时,与CA相比,CD算法的方向图始终保持更低的峰值旁瓣电平(Peak Sidelobe Level,PSL)。在 ξ =2时(仅考虑恒模约束),CD算法的方向图几乎与最优的 R 重合,但CA的方向图在主瓣区间存在能量损失,且不满足3dB主瓣宽度约束要求,因此CD算法优于CA。最后需要指出的是,尽管在某些相似性参数下,数值结果表明CA或CD算法能够保证3dB主瓣约束。从优化角度来看,两种算法优化的波形却无法从理论上满足3dB主瓣约束要求。
图4.5 不同相似性约束下的归一化发射波束方向图
图4.6分析了不同相似性参数下,由CD算法优化得到第一个发射天线的波形模糊函数图,可知相似性参数越小,优化波形的模糊函数与LFM模糊性能越接近。当 ξ =2时(无相似性约束),可明显观察到模糊函数的斜脊型消失。结合图4.5可知,方向图性能提升是以牺牲波形模糊函数性能为代价的,因此可通过合理地设置相似性参数 ξ ,折中方向图与模糊函数之间的性能。
图4.6 不同相似性参数的波形模糊函数图
图4.7分析了 ξ =2时不同发射码片数 M 条件下的发射波束方向图性能。结果表明针对所有的 M ,CD算法的方向图始终与最优方向图保持重合,CA的方向图在主瓣区间存在拟合损失。图4.8分析了 ξ =2和 M =64时不同发射天线个数 N T 下的发射波束方向图性能。可知针对所有的 N T ,CD算法的方向图始终与最优方向图保持重合,但CA的方向图主瓣在 N T 较大时存在拟合损失。
图4.7 不同波形码片数下的发射波束方向图
图4.7 不同波形码片数下的发射波束方向图(续)
图4.8 不同发射天线个数下的发射波束方向图
图4.8 不同发射天线个数下的发射波束方向图(续)
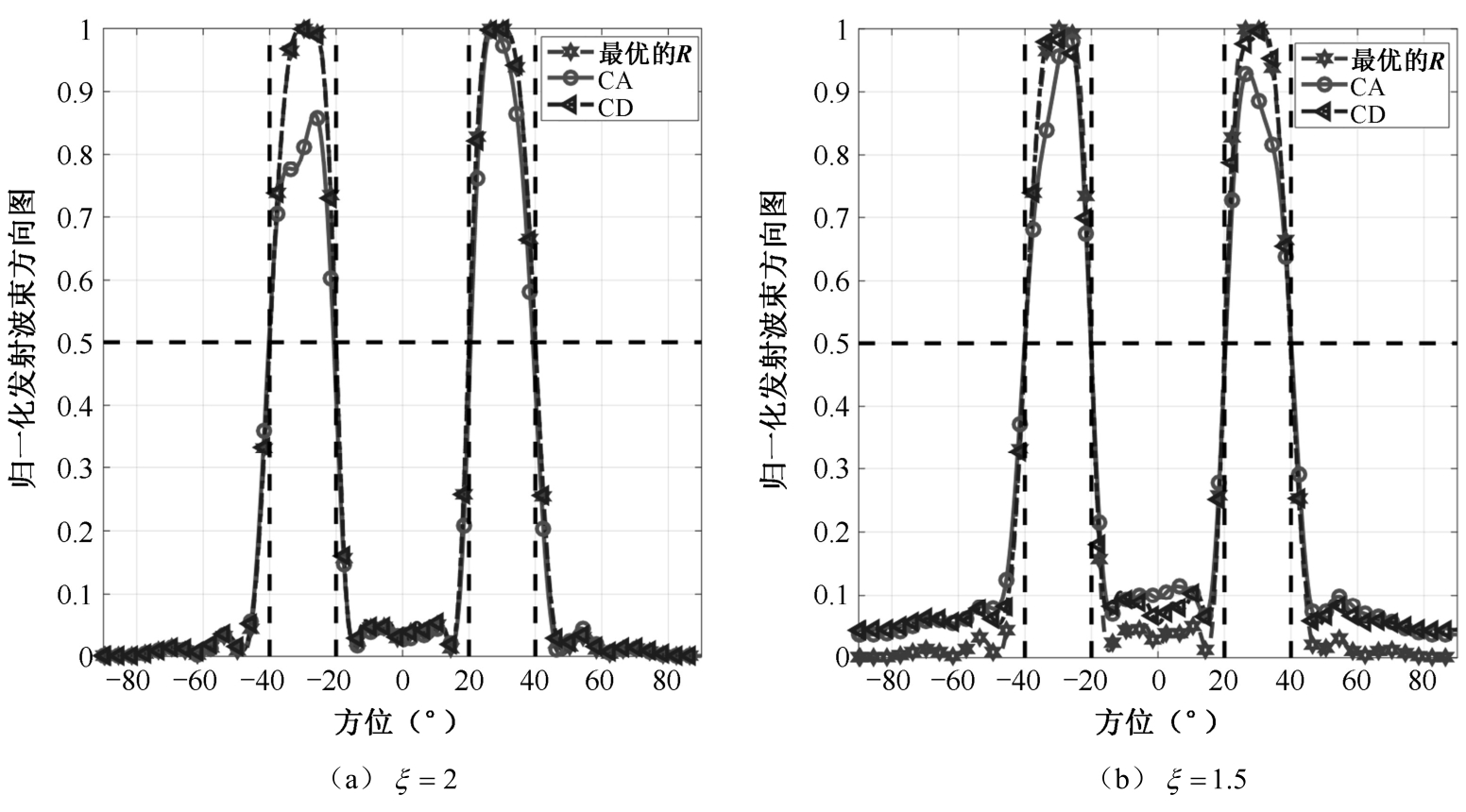
最后分析两个主瓣条件下不同相似性参数的方向图性能。首先假定主瓣区域 Θ m =[-40°,-20°]∪[20°,40]°,旁瓣区域 Θ s =[-90°,-40°)∪(-20°,20°)∪(40°,90]°。图4.9展示了两个主瓣情况下的发射波束方向图性能。从图中可知,当 ξ =2时,CD算法优化的方向图仍然与最优的方向图重合,然而CA的方向图在主瓣区间仍存在拟合损失。另外,不同相似性参数条件下,相比CA,CD算法始终能获得更低的方向图旁瓣电平。
图4.9 两个主瓣情况下的发射波束方向图
图4.9 两个主瓣情况下的发射波束方向图(续)