



根据发射天线与接收天线位置的间距,MIMO雷达可分为分布式MIMO雷达和集中式MIMO雷达,其信号模型、处理流程等基本概念如下 [1-3] 。
1.信号模型
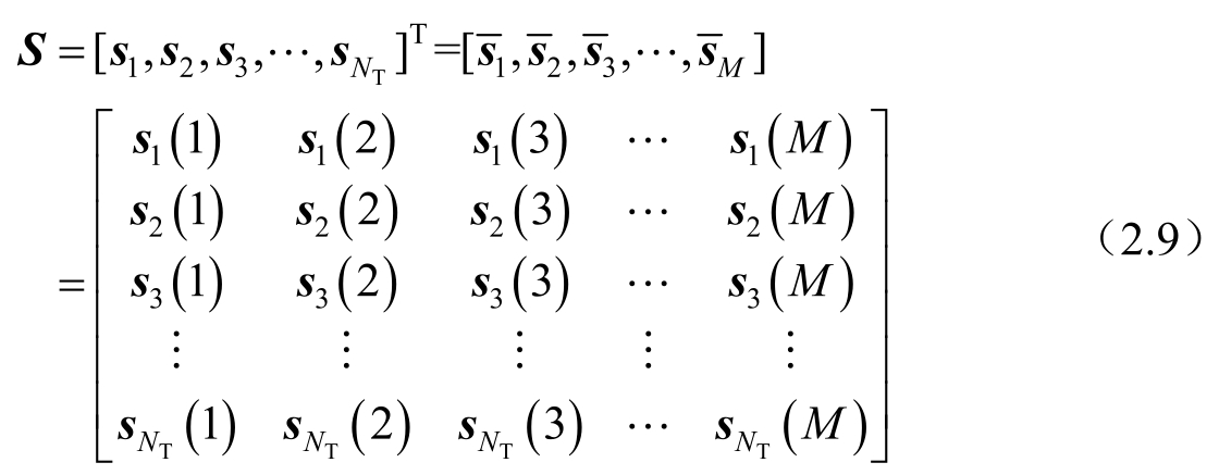
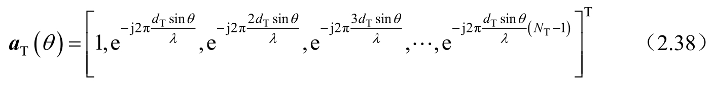
考虑如图2.1所示的集中式MIMO雷达模型,假设发射阵列与接收阵列都是均匀的线阵,天线阵元数分别为 N T 和 N R ,且阵元间距均为 d T , λ 为发射信号的波长。每个天线阵元发射独立的波形,发射的连续时间基带空时信号向量为
假设在感兴趣的距离单元内有 L 个目标,第 l 个目标接收到的信号为
其中,
是第
n
T
个发射阵元到第
l
个目标距离单元的相对时延,
为第
l
个目标相对于发射阵列的离开角(Direction of Departure,DoD),
n
T
=1,2,3,…,
N
T
。
图2.1 集中式MIMO雷达模型示意图
在远场条件下,假设发射信号是窄带的,即
,
B
为发射信号带宽,目标在不同发射阵元之间的相对时延差异可以忽略不计,则
其中, τ T 表示发射参考阵列到目标所在距离单元的传输时延。
假设目标的复增益为 β l ,第 l 个目标回波信号为
接收阵列接收的信号是 L 个目标回波信号的叠加,则第 n R 个接收阵元接收到的信号可表示为
其中,
为第
l
个目标相对于接收阵列的到达角(Direction of Arrival,DoA),
τ
=
τ
T
+
τ
R
,
τ
R
为目标所在距离单元相对于接收阵元的时间延迟,
α
l
为接收信号复增益。
则接收阵列接收到的信号可以表示为
定义发射阵元和接收阵元的导向矢量分别为
对发射信号 s ( t )进行时域离散采样,得到
其中,
为第
n
T
个发射阵元的
M
个采样点,
为第
m
个采样时刻的
N
T
个发射阵元的发射波形。
则接收信号的时间离散采样模型可以表示为
其中,
是由
N
R
个接收阵列信号的第
m
个采样点组成的
N
R
×1的向量。
将接收信号矩阵 Y 表示成向量的形式,则
其中,
s
=vec{
S
},
定义为
2.信号处理流程
集中式MIMO雷达信号处理流程可以根据发射波束形成位于信号处理流程的位置分为以下两种 [1] :联合发射波束形成与接收波束形成,联合发射波束形成与脉冲压缩。
1)联合发射波束形成与接收波束形成
该处理流程主要包括时域一维匹配滤波和综合波束形成,如图2.2所示,其中MIMO雷达发射正交波形。
时域一维匹配滤波起脉冲压缩和各发射信号分离的作用,即 N T 个时域滤波器分别与 N T 个发射信号相匹配,所以时域滤波器的权系数为
其中,
表示第
n
T
个发射信号
的共轭信号。由于
N
T
个发射信号相互正交,滤波器在实现匹配滤波的同时,也起到了对目标反射的各发射信号进行分离的作用。
综合波束形成是指对所有接收阵列信号的全部时域一维匹配滤波器的输出进行调相求和处理,波束形成的输出再进行和常规雷达相同的脉冲积累、检测等处理。综合波束形成等效于同时实现接收波束形成和发射波束形成功能,所有路接收信号的全部时域一维匹配滤波器的输出排列成一个向量时就等效于发射和接收阵列联合形成的一个虚拟天线阵列,综合波束形成即对虚拟天线阵列信号进行的波束形成操作。
图2.2 联合发射波束形成与接收波束形成
这种流程是集中式MIMO雷达默认的处理流程,通过该流程也很容易对MIMO雷达形成的虚拟天线孔径和孔径扩展进行解释,但是当发射波形非完全正交而是部分相关时,该处理流程需要对时域滤波器的个数和其权系数进行相应的修改 [2] 。
2)联合发射波束形成与脉冲压缩
该处理流程主要包括接收波束形成和脉冲综合,如图2.3所示。其中脉冲综合同时实现脉冲压缩和发射波束形成功能。
为了对 θ T 方向的目标进行脉冲综合,脉冲综合要与 θ T 方向的目标回波匹配,其权系数为对 θ T 方向的目标回波进行倒序并取共轭,有
可以看出,脉冲综合不仅和时间有关,还和方向有关,所以其匹配滤波又称为时空两维匹配滤波(其中,时间一维,方向一维),脉冲综合等效于实现了对某方向目标反射的发射信号的匹配滤波,而和接收阵列没有关系,如果对不同方向的目标进行匹配滤波,则其脉冲综合权系数不同。
图2.3 联合发射波束形成和脉冲压缩
在集中式MIMO雷达模型中,由于天线间距离较近,在远场情况下可将目标假设为点目标模型,而分布式MIMO雷达模型中天线间距离较远,其从不同方向照射目标,因此点目标模型不再适用 [3-5] 。如图2.4所示为分布式MIMO雷达模型示意图。
图2.4 分布式MIMO雷达模型示意图
假设目标由无穷多个随机的、各向同性的、独立的均匀分布在矩形区域
内的散射体所构成,其中,点(
x
0
,
y
0
)是矩形目标的中心位置。
∑
(
x
,
y
)表示位于(
x
0
+
x
,
y
0
+
y
)的散射体复增益,其中(
x
,
y
)∈
X
×
Y
。将
∑
(
x
,
y
)建模为零均值的复高斯随机变量,并且假设
。
定义点(
x
1
,
y
1
)到点(
x
2
,
y
2
)之间的距离为
,传输时间为
τ
(
x
1
,
y
1
,
x
2
,
y
2
)=
d
(
x
1
,
y
1
,
x
2
,
y
2
)/
c
。
假设发射阵列和接收阵列分别由
N
T
和
N
R
个阵元组成。二维空间中第
n
T
个发射阵元和第
n
R
个接收阵元的位置表示为
和
。从第
n
T
个发射阵元发射的窄带信号
,经过目标散射后,被第
n
R
个接收阵元接收的信号为
经过变量代换后,式(2.15)可表示为
利用窄带假设,
,则有
由于
,通过近似可以得到
则
其中, c 为光速,且
在假设散射体数目充分大的情况下,利用中心极限定理,可以证明
是一个复高斯随机变量。
定义第 n T 个发射阵元相对于第1个发射阵元的相位差为
第 n R 个接收阵元相对于第1个接收阵元的相位差为
在窄带假设下,有
其中,
为第1个发射阵元相对于散射体中心与第1个接收阵元相对于散射体中心的时延之和。从而可得到
在第 n R 个接收阵元将所有发射阵元的目标信号叠加,得到
定义发射阵列导向矢量和接收阵列导向矢量分别为
定义接收的目标信号向量、发射信号向量分别为
则接收的目标信号向量可以表示为
其中, A R 和 A T 是对角矩阵,其定义为
H 是信道矩阵
如果发射和接收阵元间距满足空间不相关条件,那么,信道矩阵的所有元素都是独立同分布的、零均值、单位方差的圆对称复高斯随机变量。对角矩阵 A R 和 A T 的各主对角线元素的模值为1,因此, A R HA T 与 H 具有相同的分布。
因此,空间分集的MIMO雷达目标信号模型可以表示为
不失一般性,假设信号传输延 τ =0,于是收发分集的MIMO雷达模型的离散时间基带目标模型可以表示为
可以看出,由随机元素构成的信道矩阵包含了目标的散射信息,由于目标散射的随机性,目标的角度等相干信息在统计MIMO雷达模型中完全丢失。
分布式MIMO雷达因为利用了多信道信号传输,并且各信道具有独立性,可以有效地对抗目标的雷达横截面闪烁,有利于提高雷达对目标的检测和参数估计等性能。
MIMO雷达的发射波形更为灵活,既可以发射相互正交的波形,又可以发射相同的波形,还能发射非正交信号。通过设计不同的发射波形可以使MIMO雷达具有更灵活的工作模式,以应对更加复杂的工作环境 [6-7] 。
MIMO雷达的工作模式切换取决于不同的任务需求 [8] 。MIMO雷达不同波形、工作模式和形成效果如表2.1所示。
表2.1 MIMO雷达不同波形、工作模式和形成效果
当需要雷达系统进行全空域同时搜索时,MIMO雷达发射正交波形,此时空域形成全向的发射波束方向图,在接收端形成多波束覆盖搜索空域范围,但此时探测威力不如相控阵雷达。当搜索到目标后,转成相控阵模式进行跟踪;当需要雷达系统进行远距空域搜索时,采用相控阵模式发射相同的波形,形成高增益单波束进行搜索;当对指定空域进行搜索时,采用部分正交模式,形成对指定空域覆盖的宽波束;当对已搜索到的多个目标进行跟踪时,也采用部分正交模式,形成多个指向的波束,并且根据不同指向目标的大小,有选择地进行发射能量分配。
假设集中式MIMO雷达发射阵列为均匀线阵,天线个数为
N
T
,间距为
d
T
,发射信号波长为
λ
。每个发射阵元发射独立的波形,采样点数为
M
,则其窄带离散基带信号形式为
。其中,
为第
n
T
个发射阵元的
M
个采样点,
为第
m
个采样时刻的
N
T
个发射阵元的发射波形。
为简化分析,忽略传播衰减等影响,则在目标方向 θ 处的基带信号表示为
其中, a T ( θ )为 N T × 1维的发射导向矢量,具体形式为
MIMO雷达位于 θ 方向处的目标接收功率可表示为
其中, R 为发射波形协方差矩阵,具体形式为
如果MIMO发射相互正交的波形,即 R 为单位矩阵,则 P ( θ )= N T ,表明各个方向辐射的功率相等,实现了空域全覆盖。在相控阵模式下,雷达发射相关波形,此时 R 为 N T × N T 的全为1的矩阵,方向图随着角度变化,能量可以聚焦于某个方向。此时,相比于相控阵雷达,MIMO波束的主瓣功率增益降低了 N T (发射阵元个数)倍。
由雷达原理可知,距离发射阵元 R 处的功率密度为 [9]
其中, G A 为发射阵列功率增益; G S 为发射子阵功率增益; P T 为发射峰值功率。根据上述分析可知,当发射正交波形时,MIMO雷达的发射功率增益为相控阵雷达的1/ N T ,即在同一距离处,MIMO雷达的功率密度只有相控阵的1/ N T 。
在不考虑雷达采取其他抗截获措施的情况下,雷达的截获概率因子与雷达的空间功率密度相关。在相同发射功率、相同天线、发射正交波形的情况下,MIMO雷达的截获距离为传统相控阵雷达的
,而且发射阵元越多,抗截获性能越好。
MIMO雷达与相控阵雷达速度分辨率对比的前提是它们具有相同的探测威力。
根据雷达方程可以得到雷达的探测距离 R m 为
其中,
P
T
为雷达发射机峰值功率;
G
T
为雷达天线发射增益;
G
R
为雷达天线接收增益;
λ
为雷达发射电磁波波长;
σ
为目标雷达散射截面;
为雷达系统接收灵敏度,其中
B
R
、
T
R
分别为雷达接收机带宽和等效噪声温度,
F
R
为雷达接收机噪声系数,
为雷达系统能检测到目标所需的最小信噪比;
L
S
为雷达系统损耗(包括极化、传输、接收等损耗)。
考虑雷达接收机的匹配处理增益 D R = N p B R T p (其中, N p 表示相参脉冲积累数, T p 为脉宽),则探测距离 R m 为
如果MIMO雷达发射相互正交的波形,通过对雷达发射波束方向图的分析可知,相控阵雷达的波束主瓣功率是MIMO雷达的 N T 倍,为了达到相同的探测威力,MIMO雷达的积累脉冲个数将提高 N T 倍。则相控阵雷达和MIMO雷达速度分辨率分别为 [9]
其中, f r 为脉冲重复频率, λ 为波长, N p 为相控阵雷达的积累脉冲个数。因此,MIMO雷达的速度分辨率提高了 N T 倍。
雷达的距离分辨率与信号的带宽有关,若MIMO雷达每个通道发射不同频道的信号,则MIMO雷达的带宽主要由单个信号带宽和发射通道间的频率间隔决定。MIMO雷达的带宽为多子带合成的带宽,相比于相控阵雷达具有更大的带宽,因此距离分辨率比相控阵雷达要高 [10] 。
MIMO雷达测角可以联合使用发射和接收天线两端处理,而传统的相控阵雷达只能使用天线接收端处理,其测角精度只和接收天线孔径有关。MIMO雷达测角精度的提高或天线孔径的扩展和以下两个因素有关。
1)收发天线位置
不同的天线收发位置得到的虚拟天线孔径不同,所带来的天线孔径扩展也不同。如图2.5和图2.6所示分别为集中式MIMO雷达2发4收和4发4收及其等效阵列。可以看出,图2.5的天线孔径扩展为1倍,其测角精度也会提高1倍;图2.6的天线孔径扩展看似接近1倍,其实为大约40%,因为虚拟天线的中间阵元幅度较大(由较多的阵元合成)、两边阵元幅度较小(由较少的阵元合成),等效于进行了幅度加权,其孔径会有一定损失,所以该收发结构的MIMO雷达测角精度大约提升40%,这种结构是一般雷达天线中常用的收发天线共用等间距线阵结构,这也正是人们常说的MIMO雷达测角精度会提升40%的根源 [1] 。
图2.5 集中式MIMO雷达2发4收天线及其等效阵列
图2.6 集中式MIMO雷达4发4收天线及其等效阵列
2)发射波形的相关系数
在其他条件都相同的条件下,MIMO雷达的测角精度随着其发射波形的相关系数改变而变化,在正交波形时其测角精度最高,等效于天线孔径扩展最大,随着波形相关系数的增加,测角精度会下降,在波形完全相关(常规相控阵雷达)时,测角精度最低,等效于没有天线孔径扩展。
传统相控阵雷达通常发射窄波束,也可以根据情况发射赋形波束。由于相控阵雷达可控的只有相位,控制自由度有限,因而获得复杂的发射波束方向图较为困难。MIMO雷达各个发射通道的发射波形可以分别控制,因而其可控自由度远大于传统相控阵雷达,可以根据需要通过优化设计发射信号矩阵产生多个虚拟阵元,最终形成优化的方向图。
在发射和接收天线共用的情况下,MIMO雷达导向矢量为接收导向矢量和发射导向矢量的克罗内克积(Kronecker积)的形式,表示为
E ( θ R , θ T )中元素的个数为 N T N R ,即总阵元的个数。事实上,根据阵元布阵方式的不同,有效阵元数不同,通常情况下虚拟阵元有重叠,有效阵元数一般小于 N T N R 。对于发射和接收共用的情况,有效阵元数为相控阵雷达的2倍,最理想的情况为 N T N R 倍。