购买
下载掌阅APP,畅读海量书库
立即打开
畅读海量书库
扫码下载掌阅APP

3.5 卫星无线电导航业务

3.5.1 卫星无线电导航业务简介

卫星无线电导航业务(Radio-navigation-Satellite Service)是用于无线电导航的卫星无线电测定业务(Radio-determination-Satellite Service)。《中华人民共和国无线电频率划分规定》(2023年)为卫星无线电导航业务划分了15个频段,全部为主要业务频段,见表3.6所示。表中,每个频段采用“频段[次]”“(频段脚注)”“[业务脚注]”和“( x y )”编码,表中没有“频段[次]”字段表明全部为主要业务;“(频段脚注)”“[业务脚注]”字段部分有脚注标记写在括号内,无脚注标记则缺省,“( x y )”字段表示(空对地)(空对空)或(地对空),脚注解释请查阅《中华人民共和国无线电频率划分规定》。例如,表3.3中1164~1215MHz、(5.328A)、[5.328B]和(空对地)(空对空)各字段的意义分别是:1164~1215MHz频段为主要业务;“5.328A”表示在1164~1215MHz频段内卫星无线电导航业务的电台应按照第609号决议(WRC-07,修订版)的规定运行;“5.328B”表示无线通信局于2005年1月1日以后收到完整的协调或通知资料的卫星无线电导航业务的系统和网络,在使用1164~1300MHz、1559~1610MHz和5010~5030MHz频段时,应采用《无线电规则》第9.12款、第9.12A款和第9.13款的规定;该频段服务为(空对地)(空对空)。

表3.6 卫星无线电导航业务频段划分

目前,国内外提供卫星无线电导航业务的典型应用系统为全球导航卫星系统(Global Navigation Satellite System,GNSS),提供GNSS服务的系统包括GPS(美国)、Galileo(欧盟)、GLONASS(俄罗斯)、北斗(中国)、QZSS(日本)和NavIC(印度)。GNSS的发展开始于20世纪60年代,1994年由24颗卫星组成的美国GPS卫星星座布设完成,并实现全球覆盖;2010年,GLONASS覆盖俄罗斯全境,2011年实现全球覆盖;2016年11月,Galileo提供初始服务;2018年12月,北斗三号基本系统完成建设,并提供全球服务;2018年,印度导航星座NavIC(Navigation with Indian Constellation)的全部卫星发射完成,该卫星导航系统进入应用阶段;2018年3月,日本准天顶卫星系统QZSS(Quasi-Zenith Satellite System)完成在轨测试。GNSS作为空间信息技术的基础设施,不仅能在全球范围内全天候为用户提供精确定位(Positing)、导航(Navigating)和授时(Timing)服务,简称PNT服务,还具有短报文服务功能,并已在交通运输、农业渔业、救灾减灾和公共安全等领域得到广泛应用。同时,GNSS与地理信息系统(Geographic Information System,GIS)、遥感(Remote Sensing,RS)、电波传播和互联网等融合将有利于提升无线电管理水平。例如,云南大学电波传播预测系统(本书6.5.4节)和民用航空无线电监测系统 [14] ,提出了基于夜间灯光数据的无线电监测覆盖预测方法 [15] ,实现了无线电地图的高精度重构(本书6.5.3节)。

3.5.2 GPS

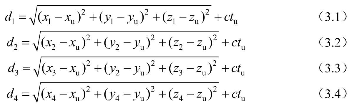
全球定位系统(Global Positioning System,GPS)是美国国防部从20世纪70年代开始研制,于1994年全面建成的具有全方位实时三维导航与定位能力的系统。GPS由地面控制部分、用户设备部分和空间星座3部分组成,如图3.8所示。其中,地面控制部分包括卫星监测站、主控站和信息注入站;用户设备部分是各类GPS接收机;空间星座由GPS卫星组成,主要提供星历和时间信息,向用户发送伪距、载波信号和其他辅助信号。GPS定位原理如图3.9所示,假设在 T + t u 时刻卫星1、卫星2、卫星3和卫星4分别发射广播信号,电波经过传播时间 t u 后同时到达GPS接收器,GPS接收器与卫星之间的伪距分别为 d 1 d 2 d 3 d 4 ,且计算公式为

图3.8 GPS的组成

图3.9 GPS定位原理

式中,( x 1 y 1 z 1 )、( x 2 y 2 z 2 )、( x 3 y 3 z 3 )、( x 4 y 4 z 4 )和( x u y u z u )分别是卫星1、卫星2、卫星3、卫星4和GPS接收器的空间位置; T 是GPS无线电信号离开卫星的时间。通过求解上述4个非线性方程组即可确定GPS接收器的空间位置( x u y u z u )和时间 t u 。GPS建成后获取了巨大的成功,随后世界主要国家均开始建设功能类似于GPS的卫星无线电导航定位系统。

目前,全球的导航定位系统已呈现百花齐放的局面。截至2022年1月,在轨运行的导航卫星数量已达134颗,并且拥有丰富的信号频谱资源,导航卫星运行情况如表3.7所示 [16] 。从表中可见,GPS、GLONASS和Galileo的星座均由中轨道卫星(MEO)组成,而BDS创新性地使用了包含GEO卫星、倾斜地球同步轨道(Inclined Geo Synchronous Orbit,IGSO)卫星和(Medium Earth Orbit,MEO)卫星的混合异构星座。当前,北斗系统(包括BDS-2和BDS-3)共有45颗在轨卫星,可为全球用户提供PNT服务。

表3.7 导航卫星运行情况

最近,利用北斗系统的短信报文功能,华为推出了支持双向北斗卫星消息的手机,市场销售获得了巨大的成功。2023年12月21日,国家广播电视总局在武汉大学设立“移动广播与信息服务国家广播电视总局实验室”的批复引起了学界的关注,批复要求“实验室围绕北斗卫星导航系统在广播电视领域深度融合应用,重点对北斗定位、短报文等在应急广播系统应用的关键技术、解决方案、标准规范等开展研究,助力构建高可靠的应急广播系统”。 0ZmwLTsQGshsKBT+IiGW2bv9XKQ8t9mEtwELm6Quiz6jRrXy4c2nKD1oC6hGw+Nu

点击中间区域
呼出菜单
上一章
目录
下一章
×