购买
下载掌阅APP,畅读海量书库
立即打开
畅读海量书库
扫码下载掌阅APP

2.6 多目标优化方法的评价指标

根据相关研究 [31,169-170] ,目前有多种衡量多目标优化算法性能的评价指标,主要用来评估多目标优化算法的收敛性和多样性性能。当前研究中的多目标评价指标主要包括世代距离(Generational Distance,GD) [171] 、反世代距离(Inverted Generational Distance,IGD) [30,172] 、超体积(Hypervolume,HV)、多样性指标(Diversity Measurement,DM) [173] 、豪斯多夫距离均值(the Averaged Hausdorff Distance, Δ p [174] 和均匀性(Spread, Δ [12,175] 、多样性对比指标(Diversity Comparison Indicator,DCI) [176] 、修正的世代距离(Modified Generational Distance,GD+)和修正的逆世代距离(Modified Inverted Generational Distance,IGD+) [177] 、平均运行时间实现函数(the average Runtime Attainment Function,aRTA) [178] 、支配关系指标(Dominance Measurement,DM) [179] 等。

本书主要用到上述最常用的6种评价指标,即世代距离、反世代距离、超体积、多样性指标、豪斯多夫距离均值和均匀性。下面主要针对上述6种评价指标展开详细介绍。不同的评价指标衡量优化算法的性能侧重点不同:反世代距离和豪斯多夫距离同时衡量了优化算法的收敛性与多样性;均匀性可以衡量优化算法获得的近似帕累托前沿的均匀性,反映了优化算法的多样性性能;世代距离和多样性指标分别是优化算法的收敛性和多样性评价指标;超体积主要衡量优化算法的收敛性且具有帕累托依从性。具体而言,帕累托依从性是一种顺序质量指标,反映了由帕累托支配关系扩展到集合所施加的顺序,具体定义如下。

定义2.1: 帕累托依从性 [180-181]

一个一元指标 (其中 Φ 是所有近似帕累托前沿的集合)是帕累托依从的,如果满足以下条件: 。其中, 代表集合之间的优胜关系,具体见定义2.2。不失一般性,该指标值越小,说明近似集质量越高。如果 ,则称该指标是弱帕累托依从的。

定义2.2: 集合之间的优胜关系 [180]

。不失一般性,该指标值越大、集合的质量越高。设 APF 是近似帕累托前沿、 PF * 是当前优化问题的真实帕累托前沿,则GD、IGD、DM、 Δ p Δ 如定义2.3至定义2.8所示。

定义2.3: 世代距离

世代距离(GD)衡量了近似帕累托前沿APF与帕累托前沿PF * 的平均距离,即

其中, d i 是近似帕累托前沿中的每个向量与PF * 的欧几里得距离。GD值越小,近似帕累托前沿APF距离当前优化问题的真实帕累托前沿PF * 的平均距离越近,说明优化算法的收敛性性能越高。

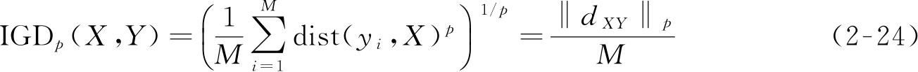
定义2.4: 反世代距离

反世代距离(IGD)衡量了近似帕累托前沿APF与帕累托前沿PF * 的反世代距离,即

其中, d i 是近似帕累托前沿中的每个向量与PF * 的欧几里得距离。IGD值越小,近似帕累托前沿APF距离当前优化问题的真实帕累托前沿PF * 平均反世代距离越近,说明优化算法的收敛性和多样性性能越高。

定义2.5: 多样性指标

多样性指标(DM)考虑了从帕累托前沿PF * 到近似帕累托前沿APF的最小距离的点。假设当前标记点为 x ∈APF,那么对应的DM( x ,PF * )为

来自PF * 的不同标记点的总数超过PF * 的大小即多样性指标DM值。DM值越大,近似帕累托前沿的多样性越好,从而说明当前优化算法的多样性性能越高。

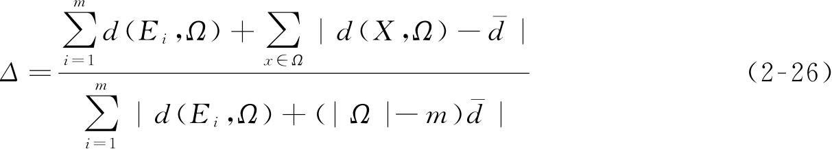
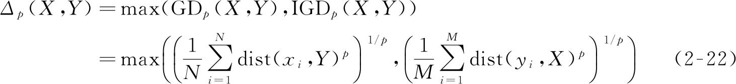
定义2.6: 豪斯多夫距离均值

豪斯多夫距离均值综合了GD p 和IGD p 指标。设 X ={ x 1 x 2 ,…, x n }和 Y ={ y 1 y 2 ,…, y m }为有限非空集,则 Δ p X Y )为

其中,GD p 和IGD p 的定义分别如式(2-23)和式(2-24)所示。这两种指标分别是改进的GD和IGD指标,取值均为非负且两者都具有帕累托依从性。

上述定义中的集合 X Y 代表近似帕累托前沿。 Δ p 值越大,说明当前优化算法获得的近似帕累托前沿的收敛性、多样性越好,从而说明优化算法性能越高。

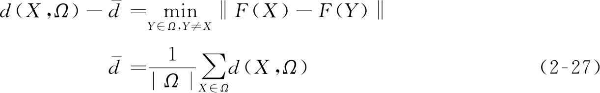
定义2.7: 均匀性

均匀性用来衡量优化算法获得的非支配解的分布程度,具体为

其中, N 是当前算法获得的非支配解数; d i 是当前算法获得的非支配解的相邻解的欧几里得距离: d i 的均值;参数 d f d l 分别为当前算法获得的非支配解中极值点之间和边界点之间的欧几里得距离。

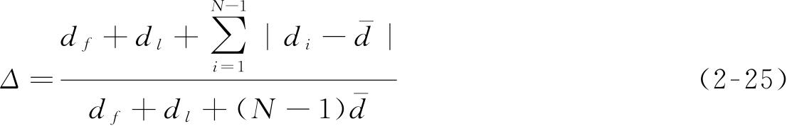
但是上述定义的 Δ 只能用于双目标问题,不适用于目标个数大于或等于3个的多目标问题。根据相关研究 [182-183] ,均匀性被扩展为给定点到其最近邻域点的距离,用于目标个数大于或等于2的情况,具体定义如下所示。

定义2.8: 通用的均匀性 [175]

其中,

Δ 值越小,说明算法获得的近似帕累托前沿的分布更均匀、多样性越好,进而说明优化算法的优化性能越高。 obKxoTbN9V5uM0/1rPuhyPJzT7F0FiMUY2MdCZhTPHxgUinRYr4fCTVxIYAVq7xD

点击中间区域
呼出菜单
上一章
目录
下一章
×