



多天线技术中,不同用户信道的相关性决定了系统容量提升的能力,相关性越低,用户之间使用相同资源传输数据产生的干扰就越小,容量提升越大。因此,需要通过数学手段分析大规模天线带来的不同用户之间信道的相关性变化情况。
对于任意两个长度为
n
的实数序列
,其相关系数定义为
由于
,所以上述任意两个序列的相关系数为相应
n
维的单位超球面上任意两个点对应序列的相关系数(或者内积)。相关系数是衡量两个序列相似程度的指标,相关系数越高,则两个序列越相似,越不可分辨;反之,则越容易分辨。可以用不相关的序列来表示不同的信息,从而达到传输信息的目的。下面我们将对长度为
n
的序列相关系数的特性进行分析。
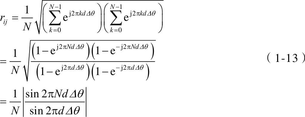
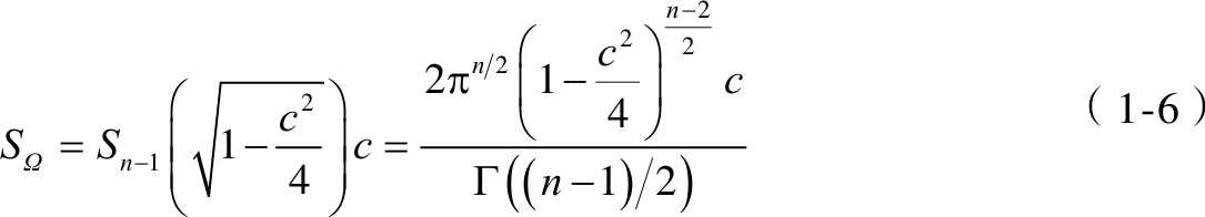
先以三维实数向量为例来说明任意两个单位模值的序列 x 和 y (向量)之间的相关系数。用 p ( r xy ≤ c )来表示任意两个序列之间相关系数不超过 c 的概率。由于三维球面上,任意一个向量可以通过正交矩阵旋转特定向量得到,所以上述问题等价于在任意给定一个向量的情况下,球表面其他向量与之相关系数不超过 c 的概率。在三维坐标系下,不妨设向量 x 为圆上顶点对应向量 v (0,0,1)(其他任意点都可以通过酉矩阵旋转 v 而得到),其他任意向量 y ( y 1 , y 2 , y 3 )与 x 的相关系数表示为
所以 r xy ≤ c 的所有向量,就是球面上所有坐标分量满足 y 3 ≤ c 的向量构成的集合。 p ( r xy ≤ c )就是球表面上所有满足| y 3 |≤ c 的点围成的区域面积与球表面积的比值。由于球的对称性,可只选其上表面作为观察对象(如图1-1所示)。在图1-1中,虚线表示的带状 Ω 区域就是满足相关系数约束的区域,因此
根据圆台侧面积公式和球表面积公式可知, S Ω =2 π c 、 S sphere =2 π ,所以 p ( r xy ≤ c )= c 。这说明任意两个三维单位向量之间的相关系数是概率分布函数为1的均匀分布。
图1-1 三维单位实数向量的相关系数示意图
将三维实数向量推广到任意
n
维向量,有
,
S
Ω
中的区域
Ω
应当为
S n 表示 n 维单位向量构成的超球面的表面积,即
这里,
R
表示
n
维超球面的半径,所以该问题的关键在于计算区域
Ω
的表面积。在三维球面中,该区域具有直观的几何意义,所以很容易计算。当
n
>3时,没有直观的几何图形及相应的表面积计算公式,虽然难以计算其准确值,但可以使用近似的方法来计算区域
Ω
的表面积。利用微积分的思想,任意一个
n
维球面的表面积微元可以近似地写成(
n
-1)维球表面积与一个变量微元Δ
c
的乘积,即
,对于
n
维超球面,当
c
取较小值时,有
从而得到(1-6)
后续的仿真表明,当 c =0.1时,公式(1-7)非常接近理论值。因此,利用该公式能够获得任意序列长度的任意两个序列相关系数 r xy ≤0.1的概率分布。为了推广至更大范围,可以采用分段函数,即
对于复数向量来说,其相关系数应当具有与实数向量类似的特征。对于
,有
,它们均匀地分布在2
n
维的单位超球表面上。设
,则它们的相关系数为
对于均匀球面分布的向量来说,公式(1-9)的实部与虚部的累积概率分布都等价于2
n
维实数向量相关系数的累积概率分布。因此,其相关系数的实部与虚部概率累积分布与2
n
维实数向量的相关系数累积分布函数相同。若将相关系数的实部和虚部看成是两个随机变量,则它们具有一定的相关性,实部越大,它的虚部越小,反之亦成立。设任意两个2
n
维实数向量的相关系数为
,则这两个2
n
维实数向量表示的两个
n
维复数向量相关系数
应当满足
。
从1.3.1节的数学基本原理可知,当单位向量维度增加到一定程度时,任意两个实数向量的相关性有很大的概率趋近于0,对于复数向量也是如此。在实际通信系统中,用
N
维复数向量
来描述用户的信道相应向量(
N
是基站侧的发射天线数量,假定终端只有一个接收天线)。如果该信道向量之间服从独立复高斯分布,则可认为任意两个用户对应的信道大概率趋于正交。
在视距环境下,用户 i 和用户 j 的信道响应向量可以描述为
其中, d 为基站侧相邻天线之间的间距,以波长为单位, θ i 和 θ j 为用户 i 和用户 j 发出的电磁波在基站侧的到达角度。一般来说,只有当两个用户相隔一定的距离时,才能够满足 θ i ≠ θ j 这个条件,此时向量 H i 和 H j 的相关系数可以描述为
令
,将公式(1-12)化简得到
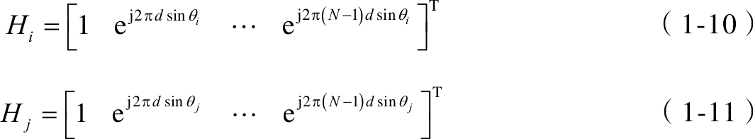
一般来说,相邻天线间距
d
=
λ
/2,此时,公式(1-13)的结果为
,并在Δ
θ
=0时取得最大值1。当Δ
θ
增大时,公式(1-13)的值迅速减小,在
时,会取得第一个0值。图1-2给出了角度差异和相关系数的曲线,可以看出,只要角度差异Δ
θ
大于一个非常小的值,用户
i
和用户
j
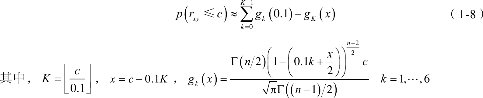
对应信道向量的相关系数就趋近于0。而在实际的系统中,不同用户对应的到达角度一般都能满足这个条件,所以此时两个用户同时向基站传输数据,其相互干扰就非常低。这也说明在视距环境之下,基站侧配置大阵列天线,可使得任意一个用户对应的信道向量具有非常精细的方向性,同时具有非常广阔的零空间,这一方面能够提供非常高的阵列增益,另一方面能够非常高效地抑制干扰,如图1-3所示。
图1-2 角度差异和相关系数的关系
图1-3 视距环境下大规模天线带来的高分辨率和广阔的零空间(128根天线)
以基站配置
N
个天线,终端配置单个天线为例。在强散射环境下,一般认为用户的信道向量
服从独立循环复高斯分布。通过之前的分析可知,当
N
→∞时,任意两个用户对应的信道向量
H
i
和
H
j
之间的相关系数趋近于0,这一性质也可以利用随机变量的期望定义来推导。
设
,其中
为相互独立、零均值单位方差的复高斯随机变量,它们的相关系数可以写成
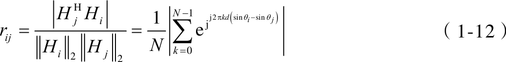
两个独立复高斯分布的随机变量 x 、 y ,其相关系数为0。而公式(1-14)正好是在 x 、 y 的样本数为 N 时的相关系数表达式,所以当 N →∞时, r ij →0。也就是说,随着发射天线数量的增加,目标用户信道矢量和干扰目标用户信道的矢量是渐进正交的[严格地推导需要每个元素 H i 是独立同分布(i.i.d,independently identically distributed)的]。从图1-4中可以看出,无论是视距环境下的强相关信道,还是强散射环境下的i.i.d信道,大规模天线带来的不同用户之间的信道具有非常低的相关性,这为小区内复用多用户及小区间的干扰抑制带来了广阔的应用前景。
图1-4 散射环境下,随着天线数量的增加,不同用户信道相关系数对比
多天线技术可大幅提高通信系统的信道容量和传输可靠性,目前已被LTE、LTE-Advanced(4G)、IEEE 802.11n等大多数新兴的移动通信标准所采用,并被公认为5G移动通信系统中最为核心的传输技术之一。然而,2010年以前,大部分理论研究和实际通信标准主要局限于天线数量较少的小规模MIMO系统,例如,4G标准通常在下行链路上可支持1/2/4/8根发送天线,在上行链路上可支持1/2/4根发送天线,能够获得约10bit/(s·Hz)的频谱效率,而这难以满足未来无线网络中数据业务急剧增加的需求。
2010年年底,美国贝尔实验室科学家T. Marzetta [2-3] 提出的大规模天线技术,该技术利用大规模天线阵列(天线数为几十至上千)带来巨大阵列增益和干扰抑制增益。如图1-5所示,大规模天线技术可以使用相同的时频资源同时向多个用户提供服务,使得小区总频谱效率和边缘用户的频谱效率提高数倍甚至数个量级,大规模天线技术理论也由此形成。Massive MIMO的基本原理是当移动通信系统中基站端天线数远大于用户数时,根据概率统计学原理,基站到各个用户的信道趋于正交,因此用户间干扰很弱。大规模天线技术获得巨大增益的原因有两个方面:一方面,基站侧的大规模天线阵列为每个用户带来了巨大的阵列增益,从而提升了每个用户的信号传输信噪比,使得大规模天线技术可以为多个用户提供同时、同频的高质量服务;另一方面,随着天线阵列规模趋于无限大,基站侧赋形后的波束将变得非常窄,具有极高的方向选择性及赋形增益,这种情况下多个用户之间的干扰将能够得到很好的控制 [1] 。
图1-5 大规模天线系统示意图
图1-6给出了大规模天线阵列系统(基站侧配置256根发射天线)与传统天线阵列系统(基站侧配置8根发射天线)复用4个终端(配置1根接收天线)在不同干扰源数量场景下的链路仿真结果(纵轴为误比特率)。可以看出,相比于传统天线阵列系统,大规模天线阵列系统能很好地通过大规模天线带来的空间分集增益和阵列增益提升移动通信系统的链路接收性能,并且具有极强的干扰抑制能力。
图1-6 大规模天线阵列系统的链路仿真结果
2010—2013年间,贝尔实验室、瑞典的隆德大学(Lund University)、林雪平大学(Linkoping University)、美国的莱斯大学(Rice University)等研究机构对Massive MIMO信道容量、传输、检测与信道状态信息获取等基本理论与技术进行了广泛的探索。在这些研究中,阿朗的贝尔实验室的研究成果起到了很大的推动作用,他们发表了多篇对该技术的理论分析论文,并在2011年2月的Green Touch技术讨论会上演示了Massive MIMO原型机,展示了Massive MIMO在节能、干扰抑制等方面的巨大优势和潜力。考虑到工程实现问题,大规模天线系统在实现时多采用面阵结构。
中国移动通信产业的发展在经历了“2G追赶”“3G突破”之后,4G也取得重大成功,并于2013年12月开始实际部署。中国对大规模天线技术也高度重视,于2013年年底专门成立了大规模天线技术专题组,集中了国内研究院所、运营商、设备商及高等院校中相关技术领域的核心单位,启动了对面向5G的Massive MIMO技术的研究与标准化工作,并取得了大量成果。例如,中兴通讯股份有限公司推出的采用大规模天线技术的Pre5G商用系统、中国移动通信集团有限公司主推的3D-MIMO技术,都极大地提升了LTE商用系统的网络容量和服务质量。