



通信系统的性能指标很多,涉及其有效性、可靠性、适应性、标准性、经济性及维修性等,但从信息的传输来说,通信的有效性和可靠性是主要的矛盾点。有效性主要指信息传输的速度问题,可靠性主要指信息传输的质量问题,两者是相互矛盾的,设计通信系统需要在两者之间寻求最佳的平衡点。
在数字通信系统里,主要的性能指标有两个,即通信速率和误码率。
数字通信中常用时间间隔相同的符号来表示一位二进制数字,这个间隔称为码元长度,时间间隔内的信号称为二进制码元。 N 进制的信号也是等长的,称为 N 进制码元。
通信速率用码元传输速率来衡量,码元传输速率又称码元速率或传码率,是每秒传送码元的数目,单位为“波特”,常用符号“B”表示。通信速率还可以用信息传输速率来表征,又称信息速率或传信率,为每秒钟传递的信息量,单位为bit/s。
假设 N 进制码元速率记为 R BN ,对应的信息速率记为 R b ,则有
对于模拟通信系统而言,一般用信噪比(SNR)来表征通信系统的性能。数字通信最小的信息单位为比特,其通信性能通常不直接采用SNR而采用误码率来表征,商业通信系统一般要求误码率小于1×10 -9 。误码率为
其中,
为0错为1的概率,
为1错为0的概率。
是假设数字通信系统中0和1出现的概率相同。
假定总噪声的概率分布为高斯分布,则大大简化了计算。假设在接收机判决点上“1”信号的幅度为 u m ,判决点门限(阈值)为 D , N 1 和 N 0 分别为码元为“1”和“0”时的噪声平均功率。判决点上的噪声电压 u 如图2-6(a)所示,噪声电压 u 幅度分布的概率密度函数如图2-6(b)所示。
式中,σ
0
是噪声电压有效值,
为噪声平均功率。
图2-6 接收机时域信号波形和电压概率分布
对于信息为“0”时,在判决点上电压 u 超过阈值 D 的概率,即信息“0”判决为信息“1”的误码率 P E (0)为
式中,
。
对于信息为“1”时,在判决点上电压 u 小于阈值 D 的概率,即信息“1”判决为信息“0”的误码率 P E (1)为
式中,
。
通信系统的误码率可以写成
且满足, P (0)+ P (1)=1。
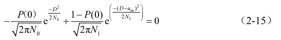
要想使误码率最小,需要满足
将式(2-9)~式(2-11)代入式(2-12),得到
根据积分变限函数求导法则,有
得到
(1)若
=
,式(2-16)写为
,即
因此,当
时,
。
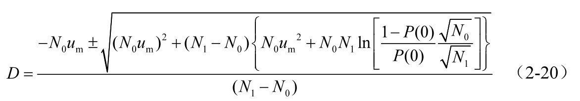
(2)若 N 0 ≠ N 1 ,式(2-16)写为
即
求得
假设 N 1 = βN 0 ,有
因此,当
时
根据式(2-22),得出不同
β
值时的最佳判决电压曲线,如图2-7所示。从图2-7中可以看出,当
β
=0时,最佳判决阈值
D
m
→
u
时的误码率最小;当
β
=1时,最佳判决阈值
时的误码率最小。
图2-7 不同β值时的最佳判决电压曲线
从信息论的观点来看,各种信道可以概括为两大类,即离散信道和连续信道。所谓离散信道就是输入信号与输出信号都是取值离散的时间函数,而连续信道是指输入信号和输出信号都是取值连续的时间函数。
假设信道的带宽为 B (Hz),信道输出的信号功率为 S (W)及输出加性高斯白噪声功率为 N (W),则可以证明该信道的容量(单位为bit/s)为
式(2-23)就是信息论中具有重要意义的香农公式,它给出当信号与作用在信道上的起伏噪声的平均功率给定时,在具有一定频带 B 的信道上,理论上单位时间内可能传输的信息量的极限数值。该式还是扩展频谱技术的理论基础。
由于噪声功率 N 与信道带宽 B 有关,故若噪声单边功率谱密度为 n 0 ,则噪声功率 N 将等于 n 0 B 。因此,香农公式的另一形式为
由式(2-24)可知,一个连续信道的信道容量受“三要素”—— B 、 n 0 、 S 的限制,只要这三要素确定,信道容量也就随之确定。
现在来讨论信道容量 C 与“三要素”之间的关系。从式(2-24)中容易看出,当 n 0 =0或 S →∞时,信道容量 C →∞。这是因为 n 0 =0意味着信道无噪声,而 S →∞意味着发送功率达到无穷大,对应信道容量无穷大,显然是无法实现的。若要使信道容量加大,则通过减小 n 0 或增大 S 在理论上是可行的。
能否通过增大带宽 B ,使 C →∞呢?可以证明,这是不可能的。因为式(2-24)可以改写为
于是,当 B →∞时,则式(2-25)变为
式(2-26)表明,保持
一定,即使信道带宽
B
→∞,信道容量
C
也是有限的。这是因为信道带宽
B
→∞时,噪声功率
N
也趋于无穷大。
通常,把实现了上述极限信息速率的通信系统称为理想通信系统。但是,香农公式只证明了理想系统的“存在性”,却没有指出这种通信系统的实现方法。因此,理想系统通常只能作为实际系统的理论极限。另外,上述讨论都是在信道噪声为高斯白噪声的前提下进行的,对于其他类型的噪声,香农公式需要加以修正。