



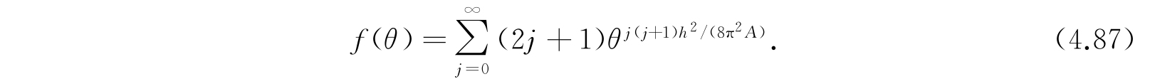
在4.2节以及在第2章中曾经指出,没有轴自旋的刚性转子的能级
其中A是横向转动惯量. 状态j的权重是(2j+1). 因此配分函数
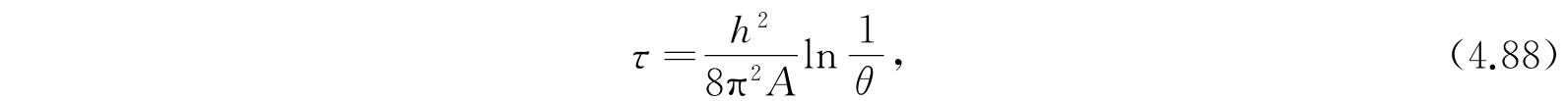
作代换,
则
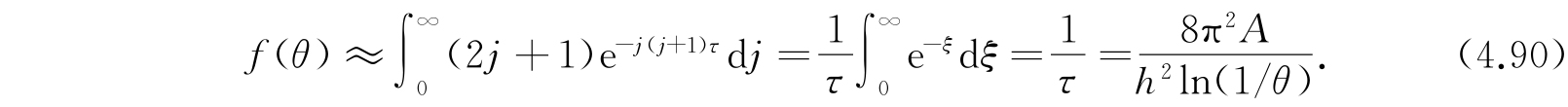
首先,我们对于τ≪1的情形作近似计算(这是常遇到的情形). 由于τ≪1,故指数因子随j值的变化很慢,因而求和可以用积分近似. 利用变换
j(j+1)τ=ξ,(2j+1)τdj=dξ,
我们得
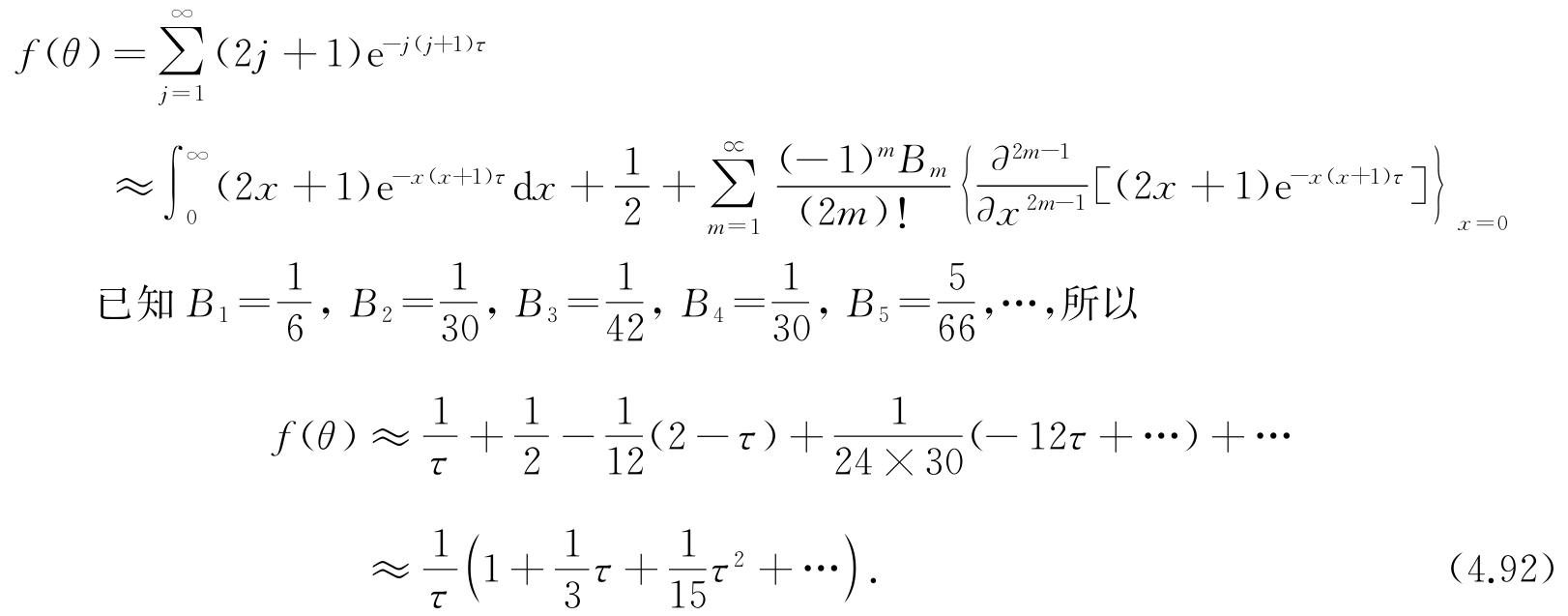
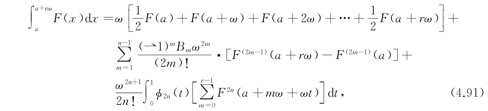
如果要得到更准确的配分函数的计算,我们可以用欧拉-麦克劳林展开式. 欧拉-麦克劳林展开式表述如下:设F(x)对a≤x≤rω中所有的x值是解析的,于是
其中B m 是第m个伯努利(Bernoulli)数,ϕ 2n (t)是2n级的伯努利多项式. 将这个展开式应用于式(4.89),现在
那么,
这个结果首先由缪尔霍兰(Mulholland)
用了很复杂的分析而得到的;他的辛勤计算确立了这个展开式的渐近性质,我们的计算虽然简单,但没有证明这一点. 在第5章中讨论双原子分子时还要用到这一公式.