



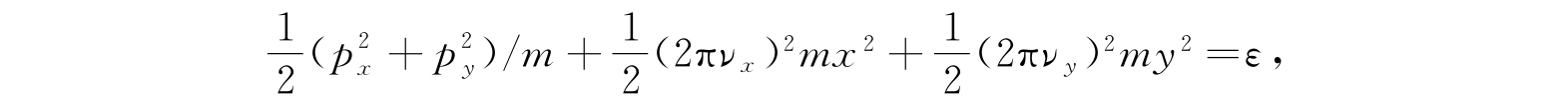
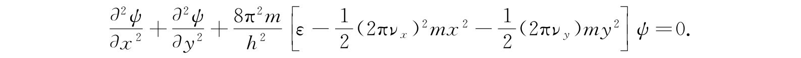
我们先考虑一个二维各向异性谐振子,这就是说,在两相互垂直的方向上振子振动的自然频率不同. 取势能的极小点为原点及振子的主轴x和y,这样,经典能量方程为
其中p x 、p y 是沿x、y轴的动量,ν x 、ν y 是各与沿两个主轴的回复力常数有关的频率,ε是能量,它以原点能量为零. 对应的薛定谔方程为
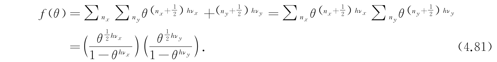
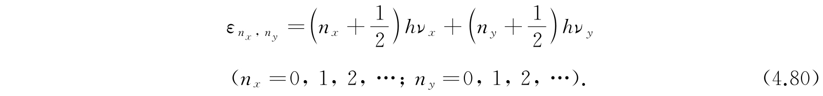
分离方程的自变量,得到自变量为x及y的方程,这两个方程恰好是具有频率为ν x 及ν y 的线性谐振子方程. 因此,能级的形式为
所以配分函数
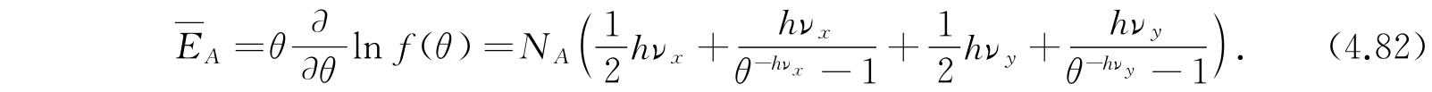
分布于N A 个这样体系上的平均能量
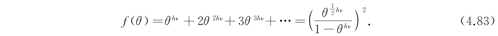
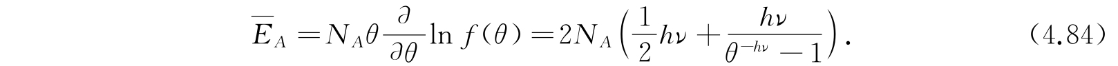
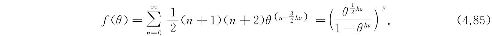
现在考虑二维各向同性谐振子,在4.2节中我们已经指出,它的能态是(n+1)hν,n=0,1,2,…,其权重为n+1. 因此,配分函数为
分布在N A 个体系的能量为
这些公式可以由式(4.81)及(4.82)中令ν x =ν y =ν而得到.
同样,对于三维各向同性谐振子可以证明能级是
,n=0,1,2,…,其权重为
. 所以配分函数为
N A 个体系的平均能量
正如我们所想象的,它恰好是线性谐振子平均能量的三倍.