



现在我们把上一节的数学推导的结果以及这些推导所依据的4.4节的各公式再扼要地叙述一下. 并且我们也将把这些结论叙述得更为普遍一些,我们现在不限于只包含两种体系的系集.
考虑一个系集,它包含N
A
个体系A,N
B
个体系B,N
C
个体系C等,其中N
A
,N
B
,N
C
,…都是大数. 设体系A的可能状态为0,1,2,…,这些状态都是非退化的,其能量各为ε
0
,ε
1
,ε
2
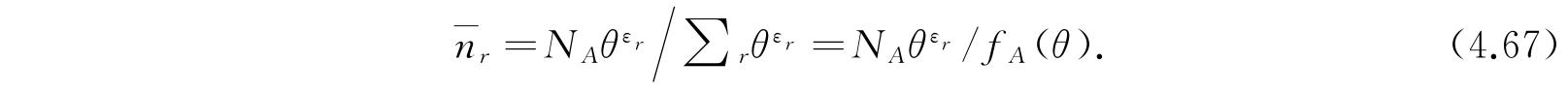
,…,由上节的结果得知,体系A在能量为ε
r
的状态上的平均数目
是
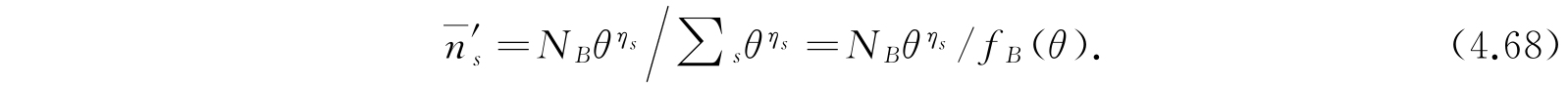
关于参数θ的意义,下面我们将讨论到. 同样,处于能量为η
s
的状态上,体系B的平均数
是
对于其他种体系亦有类似的公式. 由式(4.67)和(4.68)看到,方程
自动地被满足了.
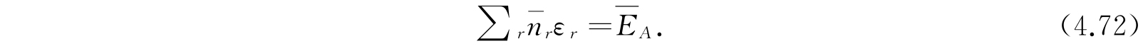
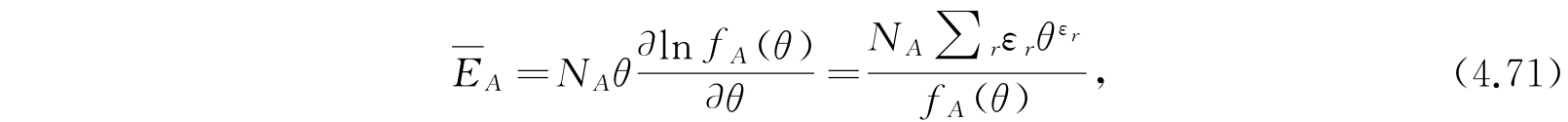
能量在各种体系之间的平均分布如下. 全部体系A的平均能量是
它满足实质方程
对于
等有类似的公式. 最后,我们有必要的等式
如果我们给出了E,则θ就确定了. 反之,若给出了θ,则E就确定了.
余下要讨论的是关于参数θ的意义. 很明显,在数学的本源上,θ是一个描写系集状态的基本参数,而且它应当与系集的某些物理性质有关. 参数θ的一个显著特点是,无论是体系A的平均性质,或是体系B的平均性质,或是体系C的平均性质等,都是由同一个θ决定的. 所以说,θ 是一个帮助我们确定系集状态的参数,它对系集中所有各组体系均有相同的值 . 这恰好是温度不同于其他参数的性质,所以我们必然会得出这样的结论,即θ是一个扮演温度角色的参数. 当然,它绝不会是用普通的温度标尺作度量,因此,我们称θ为统计温度,或称用统计温标测量的温度. 以后我们将推求出温度θ与常用的热力学温度T之间的关系. 我们事先指出,两种温度的关系为
此处T是热力学温度(开尔文温标),k是普适常数.