



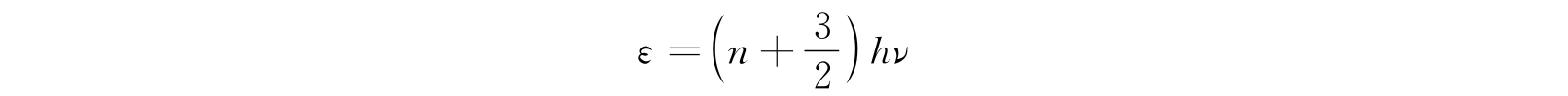
在2.4节中已经指出,一个频率为ν的谐振子的能态为
考虑经典相空间中的任一个可能的轨道,其方程是
这是一个半轴
的椭圆. 它所包围的面积是
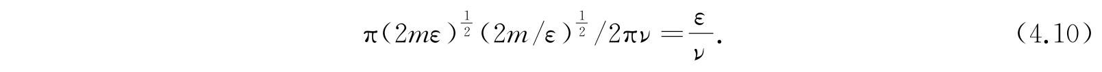
在经典理论中,所有满足方程(4.9)的轨道都是可能的,但在量子理论中,ε/ν的值只能取
,而n只能是正整数或零. 量子理论中相邻轨道之间的面积是h. 因此,当量子数n大时,可能的轨道几乎密合在一起,但仍然是被面积h所隔开的,此时,与每一量子态对应的相空间单元的面积为h. 于是我们对于谐振子验证了极限定理(在3.5节中我们曾经叙述过这个定理).
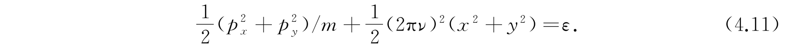
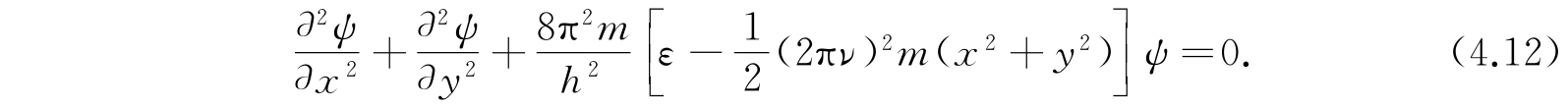
现在讨论二维各向同性谐振子,其经典能量方程为
对应的薛定谔方程为
将此方程分离成变量为x及变量为y的两个方程. 我们看到本征函数的形式为
其中
是具有量子数n
x
和n
y
的谐振子的本征函数. ψ对应的能量为
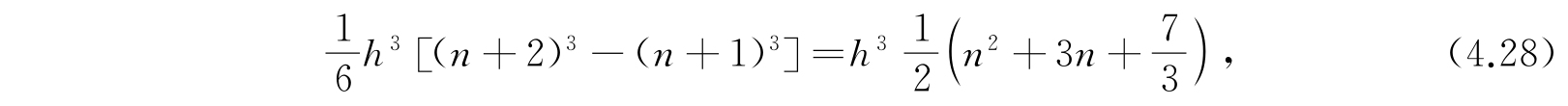
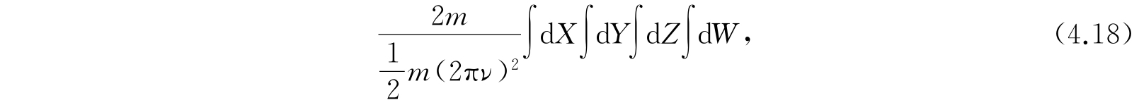
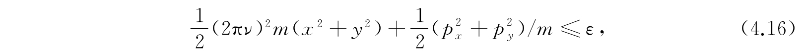
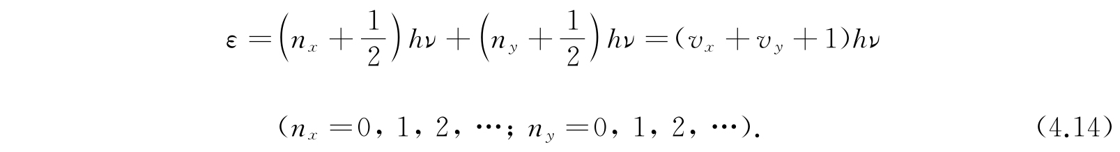
令n x +n y =n,则每一个n对应于一个不同的能值. 但每一个n值可以由n x 和n y 的(n+1)种不同的组合来得到. 因此,ε=(n+1)hν给出的ε值是对应于(n+1)个不同的本征函数. 所以能级ε=(n+1)hν的权重为n+1. 如要验证极限原理,只要我们能够指出:与一个量子能级相关联的经典相空间体积,与量子数n很大时和值(n+1)h 2 没有很大差别. 在相空间(x,y,p x ,p y )中,能量等于常数ε的曲面所包围的体积为
积分区域为
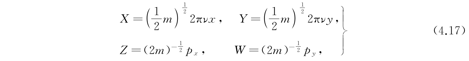
用代换
则积分(4.15)变为
积分区域是半径为
的四维球面所包围的空间,即
按照半径为r的N维球体积的一般公式:
对于我们的情况,应用式(4.20),令其中的N=4,
,则积分(4.18)为
在曲面
之间所包围的相空间体积,即为能量ε=(n+1)hν的量子态所对应的体积,为
这是与极限定理相符的.
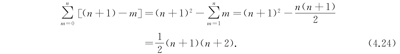
对于三维各向同性谐振子,用同样的方法得知,相应于能量
的本征函数的数目等于使n x +n y +n z =n时n x 、n y 、n z 为正整数或零的解的数目. 现在我们计算这个数目,令n x 取值m,于是n y 可能取的值就有(n+1)-m个. 故本征函数的数目为
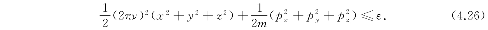
在经典相空间中,能量等于ε的曲面所包围的体积是
积分区域是
利用与式(4.17)类似的变换,可以证明积分(4.25)等于
在曲面
ε=(n+2)hν 与 ε=(n+1)hν
之间的相空间是与量子能级
相对应的,其体积为
当量子数n大时,它与
相差不大,这正与极限定理相符合.
最后一个例子,我们考虑轴对称的但没有绕轴自旋的刚性转子. 令A为横向转动惯量,θ、ϕ为轴的球极坐标,其共轭动量为
其经典能量方程为
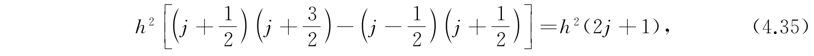
由2.15节我们知道,在量子理论中,能量ε的可能值为
与第j个状态相对应的本征函数有2j+1个. 因此,其权重为2j+1. 能量等于常数ε的曲面所包围的相空间的体积为
其中对p θ 、p ϕ 积分的范围为
对p
θ
、p
ϕ
积分后,得到半轴为
的椭圆,面积是2πAεsin θ. 因此积分(4.32)变成
在两个曲面
之间的相空间体积,亦即与量子态ε=j(j+1)h 2 /8π 2 A相对应的相空间单元是
这是与极限定理相符合的.