



在下一章,我们将仔细讨论关于一个包含很多个数目的相似体系的系集的所有可能的态和可及态,并且将要推导出平衡态的标准公式. 这里我们只限于讨论一般原理并且仅仅讨论对称性的要求如何限制可及性的问题.
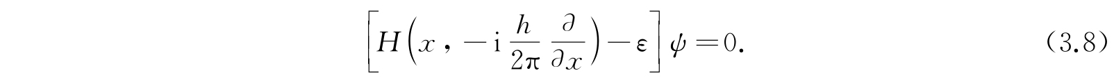
从包含一组相似体系(那就是电子、氢分子、氦原子……)的系集出发. 让我们首先考虑包含一个这样的体系的系集. 在哈密顿的形式下,体系的能量是H(x,p x ). 对于这样的一个体系的薛定谔方程是
我们用ε来代表一个体系的能量以区别于系集的能量E. 体系可能的态相应于这方程可能的解,而ψ是满足正确的边界条件并且在此体系的x空间(
位形空间
)是有界和单值的. 对于一个被包围的体系,ε的允许值可以看出是间断的,然而如果包壳很大时,我们常常可以用一极限过程把它作为一个经典的连续分布来处理. 这些允许值(此方程的本征值)将用下标0,1,2,…表示出来,因此没有两个具有不同的下标的ε值是相等的. 相应于ε的任何一个本征值ε
σ
存在着一个或多个方程(3.8)的本征函数ψ
σ
. 这样一些本征函数的数目用
表示并称为这种态的权重. 有时为了讨论方便起见,如果体系是退化的
,我们可以设想它由于引入适当的保守微扰场而变成非退化的
.
其次,设想我们的系集是由具有十分弱的相互作用的两个这样的相似体系1和2所建立起来的,因此,作为第一级近似这一对体系的哈密顿可以看作是这两个个别的哈密顿之和. 于是关于此系集的完全的薛定谔方程是
由此看出,方程可以分成两部分而且E的允许值是ε σ +ε τ ,相应的解是
这里ε
σ
与ε
τ
是在方程(3.8)中ε的本征值,而ψ
σ
、ψ
τ
是相应的本征函数. 最重要的是看到在无相互作用的极限情形下,即使单个体系不是退化的,除了当σ=τ之外,这一对体系本质上是退化的. 因为,如果σ≠τ,至少有两个本征函数Ψ
στ
=ψ
σ
(x
1
)ψ
τ
(x
2
),Ψ
τσ
=ψ
τ
(x
1
)ψ
σ
(x
2
)可由个别体系的排列得到,它们都相对于同样的本征值E=ε
σ
+ε
τ
. 体系的这样的排列是必需的,因为体系只是通过本征函数ψ表示出来的. 但是ψ不是固定在一处而是布满于x全部范围内. 因此,在任何特别的x,体系可以是1或2. 我们无法在它们之间加以区别. 如果单个体系是退化的
,那么,相应于E=ε
σ
+ε
τ
的不同的本征函数的总数是
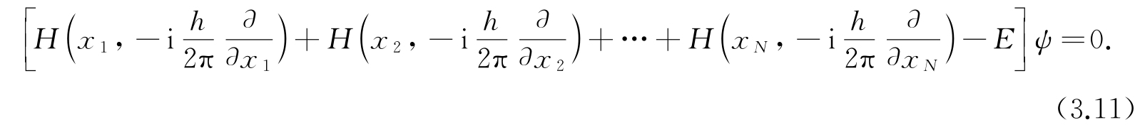
这论证是十分一般的. 如果系集包括N个相互作用很弱的体系,对于系集的完全的薛定谔方程是
它的本征值是
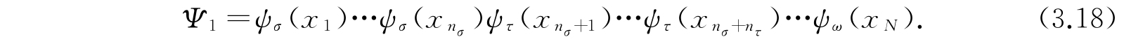
这里没有一对下标σ,τ,…,ω是相等的,和这个本征值相应的是一组N!个体征函数. 这些本征函数可以由对体系1,2,…在本征值σ,τ,…,ω的下标之间进行排列得到. 一个简单的本征函数是
对于退化体系相应于方程(3.12)的本征值的本征函数总数是
最后,如果我们考虑最一般的本征值
这里有n σ ,n τ ,…,n ω 个本征态分别集成群,每群中各态的本征值是相等的. 因此,
于是有
不同的本征函数组可以由排列求得,举出其中之一如下:
在这退化的情形下,不同本征函数的总数是
这些计算的更加仔细的说明在下一章中可以找到.
这些本征函数的任何一个线性组合同样是相应于同一能量E的本征函数,而同样数目的任何一种这样的独立的线性组合可以用来代替原有的一组本征函数.
如果在原有的体系以外,我们另外加上和原有体系不同的一组相似体系来组成系集. 对于新加的体系,我们就得到一组类似方程(3.18)的本征函数,其中的每一个乘上方程(3.18)中的每一个都能给出此全部系集的一个独立的本征函数. 我们当然不可以把一对可区分体系进行交换,因为如此得到的并不是系集的薛定谔方程的解. 因此,对两组可以区分的相似体系A和B,相应于本征值
这里有上标撇的符号是指B体系,配容数是
倘若在系集的体系之间或系集与外界之间引入弱的相互作用,允许系集从这些本征函数之一所描写的态过渡到任何其他一个的话,方程(3.19)、方程(3.21)以及类似的推广,可以用来计算我们必须对它进行求平均的可及态,但是也可以并不如此. 已经指出一组相似体系的方程(3.18)的本征函数,在经过适当的线性组合后必然可以根据它们的对称性质分成一些群A,B,…,S. 这些群包括那些属于全部的本征值的所有本征函数,而且它们具有极端重要的性质,即: 在相互作用对相似体系的各个坐标是对称的条件下,在体系之间或在体系与外界之间,无论哪一种类型怎样强的相互作用,都不能使系集从群A的本征函数变到任何另外的一个群B的本征函数 . 因此,如果系集原来是由一个群A的本征函数所代表,那么,它将永远限制于群A的本征函数. 只有这些属于群A的本征函数所代表的态才是可及的.
在各种无联系的群中,有两个在它们的性质和数学形式上简单的最突出的群:一个是对
所有
体系是对称的本征函数群,这种群我们称之为对称群或简称为S群. 任何一个S群的本征函数当我们交换任意两个组成系集的体系的坐标时保持不变. 另外的一个群包括对
所有
体系的本征函数都是反对称的. 这种群我们将称之为反对称群或简称为A群. 当我们交换任意两个体系的坐标时,任何一个A群的本征函数就要变符号. 对于非退化体系,如果相应于任何一个给定的本征值
,最多只有一个本征函数,那么,这两个群是唯一的. 对于S群的本征函数来说,总是刚好只有一个. 但是对于A群来说,如果所有σ都是不同的,也就是说,如果所有的n是0或1,就有一个本征函数;如果不是这样,σ是相同的,那就一个也没有. 如果我们看到反对称本征函数,必须取下面的N列的行列式:
这一点很容易验算,而对称的本征函数是同样的表示式,不过展开式的所有符号却是正号罢了. 从式(3.22)我们知道,如果函数ψ下标中有两个是相同的,那么,行列中的两行就完全相同,因而行列式就恒等于零,也就是本征函数不存在.
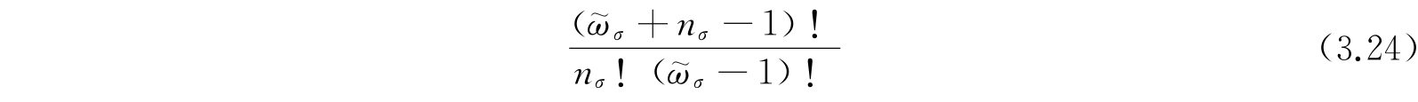
这些对于非退化体系的系集的计算能够直接推广到退化的情形. 例如,如果
;其他的
和前面一样等于1,则有
个不同的ψ
σ
可以用来构成Ψ. 因此可以看出,只要
,就有
个A群的本征函数,否则就为零. 在S群中,我们可以看到对所有的n σ 有
个本征函数. 但是并不必须要建立或利用这些一般公式,因为在后面可以看出,很容易就从非退化体系过渡到退化体系去;因此,我们首先将注意力集中于非退化体系上.